翻訳|anode
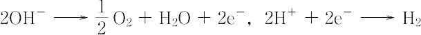
電池あるいは電解操作では,一方の電極では電子を放出する反応が,他方の電極では電子を受けとる反応が起こっている.たとえば,水の電解では,

となり,前者をアノード反応(anodic reaction)といい,この反応の起こっている電極をアノードとよぶ.また,後者の反応をカソード反応(cathodic reaction)といい,電極をカソードという.電池の場合はアノードは陰極,カソードが陽極となり,電解の場合はこの逆となるので,混乱をまねきやすい.したがって,電極をアノード,カソード以外の陰陽,正負に結びついた表現でよぶのは好ましくない.
出典 森北出版「化学辞典(第2版)」化学辞典 第2版について 情報
→電極
出典 株式会社平凡社「改訂新版 世界大百科事典」改訂新版 世界大百科事典について 情報
出典 株式会社平凡社百科事典マイペディアについて 情報
…ある系の中に電場をつくったり,電流を流したり,系から電流をとりだしたりする役目を果たす電子伝導体や半導体のこと。電池のような電気化学系は,少なくとも1対の電極から構成されているが,そのうちで,電極から溶液相に向かって正電荷が流れだすほうをアノードanode,逆に溶液相から電極に向かって正電荷が流れこむほうをカソードcathodeと定義する。電気化学系のアノードでは電極反応が酸化の方向に,カソードでは還元の方向に進行する。…
※「アノード」について言及している用語解説の一部を掲載しています。
出典|株式会社平凡社「世界大百科事典(旧版)」
1 食肉目クマ科の哺乳類の総称。全般に大形で、がっしりした体格をし、足の裏をかかとまで地面につけて歩く。ヨーロッパ・アジア・北アメリカおよび南アメリカ北部に分布し、ホッキョクグマ・マレーグマなど7種が...