翻訳|amine
アンモニアNH3の水素原子を炭化水素残基R(アルキル基あるいはアリール基)で置換した化合物の総称。置換した基の数によって第一級アミンR-NH2、第二級アミンRR'-NH、第三級アミンRR'R"Nに分類される。一般にベンゼン環に直接アミノ基が結合しているものを芳香族アミンといい、アルキル基のみのアンモニア置換体を脂肪族アミンといって、区別している。
分子内のアミン窒素原子が1個のものをモノアミン、2個のものをジアミン、3個、4個のものをそれぞれトリアミン、テトラアミンといい、2個以上のアミン窒素原子をもつものを一括してポリアミンという。
[山本 学]
アミンの名称は一般に、窒素に結合した基を列記したあとに「アミン」を付記して表す。たとえば、メチルアミン、ジフェニルアミン、エチレンジアミンなどである。芳香族アミンや環状アミンでは、アニリン、トルイジン、ピペリジン、アジリジン、ピリジンなどのように慣用名をもつものが多いが、語尾が-ine(イン)でアミンであることを表す。
[山本 学]
低位の脂肪族アミンはタンパク質が腐敗分解するときに生ずる。たとえば、古くなった魚の臭気は主としてアミンに起因する。芳香族アミンや複素環式アミンのなかには、ピリジンやピコリンのようにコールタール中に含まれているものもある。植物中に存在し、著しい生理活性をもつ複雑な構造のアミンは、アルカロイドとよばれ、医薬、農薬として重要なものが多い。
[山本 学]
第一級アミンの製法には次のようなものがある。
(1)ニトリル、アミドなどの還元

ニトリルの還元は、白金やニッケルを触媒とした水素化などの方法により行われる。アミドの還元は、水素化アルミニウムリチウムなどの還元剤を用いて行われる。
(2)ニトロ化合物の還元
RNO2+6H―→RNH2+2H2O
芳香族第一級アミンは主としてこの方法でつくられ、実験室ではスズ(または塩化スズ(Ⅱ))と塩酸を用いて還元する方法がとられる。ニトロ化合物から第一級アミンへの還元の中間体であるニトロソ化合物、アゾ化合物などの還元によっても第一級アミンが得られる。
(3)ハロゲン化アルキルにアンモニアを作用させる。

この方法では上の式でみるように第一級、第二級、第三級アミンおよび第四級アンモニウム塩の混合物となるため、第一級アミンを選択的に合成する方法としては適当ではない。
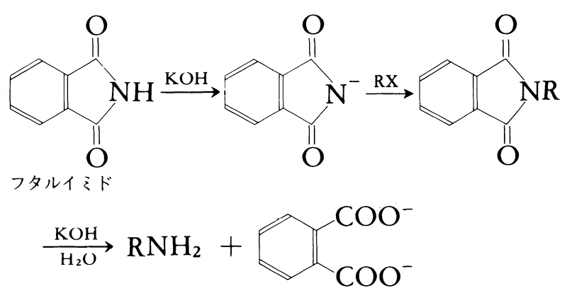
(4)フタルイミドカリウムにハロゲン化アルキルを作用させ、生成物を加水分解する(ガブリエル反応)。

(5)酸アミドに臭素と水酸化アルカリを作用させる(ホフマン反応)。この反応は次の式に示すようにイソシアナート(イソシアン酸エステル)を経由する転位反応である。

酸塩化物(酸ハロゲン化物)にアジ化ナトリウムを作用させてできる酸アジドを熱分解する方法や、カルボン酸にアジ化水素酸を作用させる方法によっても第一級アミンが得られ、いずれもイソシアナートを経由する。
このほかに、ケトン、アルデヒドにアンモニアとギ酸を作用させて、還元とアミノ化を同時に行って第一級アミンを得る方法も知られている。
[山本 学]
第二級アミン、第三級アミンは、シッフ塩基、N-アルキルアミドの還元や、第一級、第二級アミンのアルキル化などの方法により調製される。後者では目的とするアルキル化生成物だけを選択的に合成することが困難な場合もある(第一級アミンの製法(3)参照)。
[山本 学]
脂肪族アミンは、低位のものはアンモニア臭のある気体ないし液体であるが、高位のものはほぼ無臭の固体である。芳香族アミンは一般に水に不溶で特有のにおいをもつ。
[山本 学]
アミンは塩基性を示し、次式の例のように酸と反応して塩をつくる。

脂肪族アミンは一般にアンモニアよりやや強い塩基性を示すが、芳香族アミンの塩基性は低い。塩酸、硫酸などの強い無機酸との塩は一般に水溶性で、水酸化アルカリを加えるとアミンを遊離する。亜硝酸との反応は第一級、第二級、第三級アミンで異なる挙動を示す。芳香族第一級アミンは低温でジアゾニウム塩を生成する。高温ではこれが分解してフェノールとなる。脂肪族第一級アミンではアルコールを生ずる。


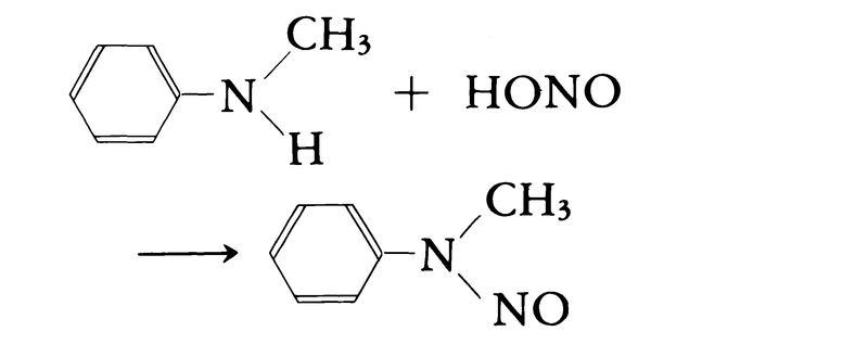
第二級アミンはニトロソアミンを生成する。この反応で生成するニトロソアミンは発癌(はつがん)性をもつので、食品添加物として用いられている亜硝酸塩が有害であるとの考えがある。

第三級アミンは常温では亜硝酸と反応しない。
第一級、第二級アミンは無水酢酸あるいは塩化アセチルによりアセチル化されアミドを生成するが、第三級アミンは反応しない。塩化ベンゼンスルホニルとの反応でも第一級および第二級アミンの場合はベンゼンスルホンアミドを生成するが、第三級アミンは反応しない。第一級アミンからのスルホンアミドはアルカリに溶けるのに対し、第二級アミンからのものはアルカリに不溶であるので区別できる。
第一級アミンにクロロホルムおよびアルカリを反応させると、悪臭のあるイソニトリルを生成する。イソニトリルの別名をカルビルアミンというので、この反応はカルビルアミン反応とよばれ、第一級アミンの検出法として用いられる。

第三級アミンはハロゲン化アルキルと反応して第四級アンモニウム塩を生じる。

[山本 学]
アミンの窒素原子は平面構造ではなく三角錐(さんかくすい)構造をとっている。言い換えると、正四面体の中心に位置する窒素原子から3本の結合が3個の頂点に向かい、残りの頂点には孤立電子対が位置を占めている。アミンの塩基性はこの孤立電子対に由来している。三角錐構造は速やかに反転しているので、すべての置換基が異なる種類である第三級アミンでも、炭素の四面体の場合のように光学対掌体に分割することは一般に不可能である。
[山本 学]
『小林啓二著『有機化学』改訂第10版(1997・裳華房)』▽『山川浩司・星野修・久保陽徳編著、久留正雄・北原嘉泰・西谷潔・原博著『有機化学』改訂第3版(1999・南江堂)』▽『大嶌幸一郎著『基礎有機化学』(2000・東京化学同人)』▽『大木道則著『入門 有機化学』(2001・朝倉書店)』▽『J・マクマリー著、菅原二三男監訳『マクマリー・生物有機化学1 有機化学編』(2002・丸善)』▽『R・J・ウーレット著、高橋知義・堀内昭・橋元親夫・須田憲男訳『ウーレット 有機化学』(2002・化学同人)』▽『伊与田正彦編著、山村公明・森田昇・吉田正人著『基礎からの有機化学』(2003・朝倉書店)』
ウガンダの軍人、政治家。北西部の西ナイル・アルアに生まれる。生年については諸説あり明確ではない。1946年キングス・アフリカン・ライフルズ第四部隊に入隊、1961年陸軍中尉に昇進した。ウガンダ独立(1962)後、大佐(1964)、総司令官(1968)に昇進したが、コンゴ反乱軍への援助に連座し左遷された。1971年1月大統領オボテの外遊中にクーデターを起こし成功。経済面でのウガンダ化政策をとり、同国経済を支配する5万人のインド人を追放した(1972)。また、反対派の大量殺戮(さつりく)を行うなど独裁者となった。1976年終身大統領に就任。1978年10月隣国タンザニアに侵攻したが、タンザニア軍と国内の反対派「ウガンダ国民解放戦線」の反抗によって敗れ、1979年サウジアラビアに亡命した。1998年北部ウガンダに武器を密輸しようとし発覚、サウジアラビア政府はアミンをメッカに軟禁した。2003年サウジアラビアのジッダにて死去。
[林 晃史]
『ヘンリー・キエンバ著、青木栄一訳『大虐殺――アミンの恐るべき素顔』(1977・二見書房)』▽『エーリッヒ・ヴィーデマン著、芳仲和夫訳『アミン大統領』(1977・朝日イブニングニュース社)』▽『ダン・ウッディング、レイ・バーネット著、島田礼子訳『独裁者アミン――ウガンダの大虐殺』(1981・いのちのことば社)』▽『Martin JamisonIdi Amin and Uganda ; an annotated bibliography(1992, Greenwood Press, Westport,Conn.)』
エジプト出身の経済学者。A・G・フランクとともに新従属学派の代表的理論家として知られている。パリで経済学を学んだのち、1957年よりエジプト政府の開発経済機関に勤務したが、1960年ナセル政権によりエジプトを追われ、マリ共和国政府の経済顧問、フランス、セネガルの諸大学教授を経て、1970年からセネガルのダカールにある国連アフリカ経済開発・経済計画研究所所長。1980年以降同研究所を離れ、同じくダカールにあるNGO(非政府組織)「第三世界フォーラム」の代表となり、1996年からは世界を代表する政・官・財界のトップたちによるグローバル化、IT(情報技術)化の潮流に沿った国際協調を目ざす「世界経済フォーラム」(スイス・ダボス)の対抗会議である「オルターナティブ世界フォーラム」(「第三世界フォーラム」主催)の議長も務めている。問題関心の重点を、第三世界(とくにアラブとアフリカ)の具体的分析から、世界的規模での資本蓄積の理論へ、さらに唯物史観の再解釈や民族問題に移してきているが、その間、一貫して伝統的社会科学、経済学の西欧中心主義を批判し、自らは、第三世界に主軸を置いた政治経済理論の再構築を図っている。主著の『世界的規模における資本蓄積』(1970)のほか、『不均等発展』(1973)、『帝国主義と不均等発展』(1976)、『価値法則と史的唯物論』(1977)、『デリンキング――多中心的世界に向けて』(1985)などがよく知られている。
[本多健吉]
『野口祐他訳『世界的規模における資本蓄積』全3冊(1979~1981・柘植書房)』▽『北沢正雄訳『帝国主義と不均等発展』(1981・第三書館)』▽『西川潤訳『不均等発展――周辺資本主義の社会構成体に関する試論』(1983・東洋経済新報社)』▽『北沢正雄訳『価値法則と史的唯物論』(1983・亜紀書房)』▽『渡辺政治経済研究所編、脇浜義明監訳『オルタナティブな社会主義へ――スイージーとアミン、未来を語る』(1990・新泉社)』
アフガニスタンの政治家。1978年4月の社会主義革命の立役者の一人。カブール県パグマーン、パシュトゥン人ギルザイ部族の中流家庭出身。元高等学校長。革命後、外相、首相、革命評議会議長(大統領)を歴任。政敵に対する大規模な粛清を行い、革命を急進的に推進しようとした。民族主義者でもあり、1979年12月ソ連の支援を受けたカールマルによるクーデターで殺害された。
[深町宏樹]
アンモニアNH3の水素原子を炭化水素基Rで置換した化合物の総称。炭化水素基の数が1個,2個,3個のものをそれぞれ第一アミン,第二アミン,第三アミンという(図1)。なお,アンモニウム塩NH4Xの4個の水素原子をすべて炭化水素基で置換した化合物(一般式R4NX)は第四アンモニウム化合物と呼ばれる。アミンの炭化水素基が脂肪族のものだけであれば脂肪族アミン,一つでも芳香族のものを含めば芳香族アミンという。構造の簡単なアミンは,窒素原子に結合している炭化水素基名の後に接尾語amine(アミン)をつけて命名する(表参照)が,芳香族第一アミンの基本的なものについては,慣用名(アニリン,トルイジンなど)が認められている。また,窒素原子が環構造の中に組み込まれているアミンは,複素環式アミンまたは環式アミンと総称され,複素環式アミンは慣用名で呼ばれることが多い(ピリジン,ピペリジン,ピロリジンなど)。
脂肪族アミンの窒素原子はほぼsp3混成をとる。4個のsp3混成軌道のうち3個は窒素原子と結合している原子とのσ結合に使われ,残りの1個には結合に関与しない1対の電子(非共有電子対)が入る。たとえばトリメチルアミンでは,結合角CNCは108度,C-N結合の長さは1.47Åであり,正四面体の中心に窒素原子を置いた場合に,正四面体の4個の頂点のうちの3個に炭素原子が位置し,残りの1個の頂点に向かって非共有電子対がのびた形をしている(図2)。このようにアミンの窒素原子がピラミッド形をとるため,窒素原子に結合している3個の基が互いに異なる場合には,窒素原子は不斉中心になり鏡像体が生ずる。しかし,ふつうはこの鏡像体の分離はできない。それは,窒素原子の反転による鏡像体間の相互変換が高速(103~105回/秒)で起こっているからである。窒素原子の反転は,ピラミッド形の窒素原子がだんだんつぶれて平面形になり,さらに反対の方向にピラミッドが形成される過程を経て行われる。遷移状態は非共有電子対がpz軌道を占める平面形と考えられている(図3)。
第四アンモニウム化合物では,窒素原子の反転は不可能なので,実際に鏡像体が分離されている。
脂肪族アミンの低級のものは常温で気体,中級のものは液体,高級のものは固体である。低級アミンはアンモニアに似たにおいをもち,中級アミンは魚臭をもつ。低級および中級アミンの多くはよく水に溶けて塩基性を示す。芳香族アミンは,液体または固体で,水にほとんど溶けない。
アミンはアンモニアと同様に塩基であるが,これは窒素原子の非共有電子対が陽子を受け入れるからである。たとえば水溶液中では次のような平衡が成り立つ。
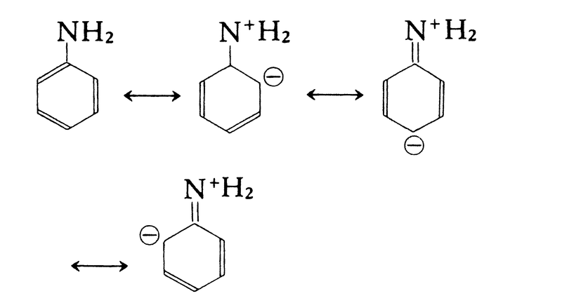
アミンは水よりも強い塩基なので水溶液中で塩基性を示す。一般にアミンは弱塩基であるが,その塩基性の強さは構造によってかなり異なり,pKb=-log Kb=-log[RN⁺H3][OH⁻]/[RNH2](Kbは式(1)の平衡定数)により定義される。pKb値が小さいほど塩基として強い。脂肪族アミンはアンモニアよりやや強い塩基である。これは,アルキル基が電子供与性なので共役酸(式(1)におけるRN⁺H3)を安定化するためである。アニリンはアンモニアよりかなり弱い塩基である。これは,アニリンが次のような共鳴によって安定化されているのに対し,共役酸C6H5N⁺H3ではこのような共鳴がないからである。
アミンの合成法は,(1)ハロゲン化アルキルの置換反応,(2)含窒素有機化合物の還元,(3)カルボン酸誘導体の転位反応による方法,の三つに大別される。
(1)-(a)ハロゲン化アルキルとアンモニアまたはアミンとの反応 ハロゲン化アルキルとアンモニアを反応させると,次のようにして第一,第二,第三アミンおよび第四アンモニウム塩の混合物ができる(アンモニアを大過剰に用いれば第一アミンが主として得られる)。
(1)-(b)ガブリエルGabriel反応 フタルイミドに水酸化カリウムを作用させてからハロゲン化アルキルを作用させ,生成物を加水分解する。第一アミンのすぐれた合成法である。
(2)-(a)ニトロ化合物の還元 芳香族第一アミンは主としてこの方法で作られる。
RNO2─→RNH2
(2)-(b)ニトリルの還元
RC≡N─→RCH2NH2
(2)-(c)オキシムの還元
RCH=N-OH─→RCH2NH2
(2)-(d)イミンの還元(還元的アミノ化) 水素と水素化触媒の存在下にカルボニル化合物とアンモニアか第一アミンを反応させると,中間に生ずるイミンが還元されて第一アミンか第二アミンが生成する。
(2)-(e)アミドの還元
R1CONR22─→RCH2NR22
(3)-(a)ホフマンHofmann転位 カルボン酸アミドにアルカリと臭素を作用させると炭素数の一つ少ない第一アミンが生成する。
RCONH2+Br2+OH⁻─→RNH2
(3)-(b)クルティウスCurtius転位 カルボン酸アジドを熱分解して生ずるイソシアン酸エステルを加水分解すると第一アミンが生成する。
(3)-(c)シュミットSchmidt転位 カルボン酸に濃硫酸とアジ化ナトリウムを作用させると第一アミンが生成する。
(1)アミンの塩基としての反応,(2)求核試剤としての反応,(3)亜硝酸との反応,(4)酸化反応,および(5)酸としての反応に分けて概略を説明する。
(1)アミンはいろいろな酸と塩を作る。
R3N+HCl─→R3N⁺HCl⁻
R3N+B(CH3)3─→R3N⁺-B⁻(CH3)3
R13N+R2COOH─→R2COO⁻HN⁺R13
有機酸との塩の生成反応は,有機酸の光学分割に利用される。
(2)-(a)ハロゲン化アルキルとの反応 合成法のところですでに述べた。
(2)-(b)アシル化 第一アミンおよび第二アミンは,酸塩化物や酸無水物によってアシル化されて酸アミドになる。第三アミンはアシル化されない。
RNH2+(CH3CO)2O─→RNHCOCH3+CH3CO2H
R2NH+CH3COCl─→R2NCOCH3+HCl
(2)-(c)シッフ塩基,エナミンの生成 第一アミンはアルデヒドまたはケトンと反応してシッフ塩基を生成する。
第二アミンとカルボニル基の隣にC-H結合をもつアルデヒドまたはケトンからはエナミンが生ずる。
(3)亜硝酸との反応 亜硝酸に対する反応は第一,第二,第三アミンで,また脂肪族アミンと芳香族アミンでそれぞれ異なる。亜硝酸は不安定なので,ふつうは必要時に亜硝酸ナトリウムNaNO2水溶液に0℃で強酸を加えて溶液中にHNO2を発生させる。
(a)脂肪族第一アミンは窒素を発生してアルコールになる。
RNH2+HO-N=O─→R-OH+N2+H2O
(b)脂肪族第二アミンはニトロソアミンを生ずる。
R2NH+HONO─→R2N-NO+H2O
(c)脂肪族第三アミンは亜硝酸と反応しない。
(d)芳香族第一アミンは低温で亜硝酸と反応してジアゾニウム塩を生成する。
C6H5NH2+HONO─→C6H5-N⁺≡N
(e)芳香族第二アミンはニトロソアミンを生成する。
(f)芳香族第三アミンでは芳香核のニトロソ化が起こる。
(4)アミンの酸化反応 アミンは一般に酸化されやすく,第一アミンや第二アミンを酸化すると,生成物は複雑な混合物になることが多い。芳香族第一アミンを酸化するといろいろな着色物質が得られ,それらは染料として使われている。脂肪族第三アミンを過酸化水素や有機過酸RCOOOHで酸化すると,アミンオキシドが収率よく得られる。
アミンオキシドを強熱すると脱離反応が起こってオレフィンが生ずる。この反応はコープCope反応と呼ばれ,炭素-炭素二重結合を生成させる重要な方法の一つである。
(5)酸としてのアミン 第一および第二アミンは非常に弱い酸でもある(pKa≅40)。アルキルリチウムのような強い塩基を作用させると,アミンは脱プロトンして共役塩基である陰イオンを生成する。これは非常に強力な塩基であって,とくにリチウムジイソプロピルアミドはカルボニル化合物のエノラートイオン発生によく用いられる重要な試剤である。
われわれの身のまわりには多種多様なアミンが存在し,利用されている。アミンには人体に対して著しい生理作用を及ぼすものが多い。植物体中にはアルカロイドと総称される膨大な種類のアミンが存在する。また,タンパク質が腐敗してアミノ酸の脱炭酸が起こると,種々のアミンが生じ,これが人体に毒作用を及ぼすことがある。ビタミンB群,ホルモンの一つであるアドレナリン,アレルギー発現に関係するヒスタミン,核酸の構成成分である核酸塩基などもアミンである。合成医薬品や抗生物質の多くのものにもアミン類がある。芳香族アミンは染料や色素の原料・中間体として重要であるが,近年,芳香族アミンには強い発癌性を示すもの(ベンジジン,ジメチルアミノアゾベンゼンなど)のあることが明らかになった。工業原料,中間体,あるいは製品としてのアミンの用途は非常に広い。
執筆者:小川 桂一郎
出典 株式会社平凡社「改訂新版 世界大百科事典」改訂新版 世界大百科事典について 情報
アンモニアNH3の水素原子を1~3個の炭化水素基またはこれに準じる基で置換したRNH2(第一級アミン),R2NH(第二級アミン),およびR3N(第三級アミン)の総称.基Rの名称または母体化合物RHの名称にアミンをつけて命名するか,母体化合物に接頭辞アミノをつけて命名する.たとえば,C2H5NH2はエチルアミン,エタンアミン,またはアミノエタンという.アミンの一般的合成法には,次のようなものがある.
(1)ハロゲン化アルキルとアンモニアとの反応.

この方法では,第一級,第二級,第三級アミンおよび第四級アンモニウム塩(第四級アンモニウム化合物)R4N+ X-を生じるので,それぞれを分離しなくてはならない.
(2)ニトリル,オキシム,ニトロ化合物,酸アミドなどの還元.


(3)カルボニル化合物の還元アミノ化.

(4)酸アミドのホフマン反応(ホフマン転位).

(5)酸アジドのクルチウス反応(クルチウス転位)によって生じるカルバミン酸エステルの加水分解.

(6)フタルイミドカリウムとハロゲン化アルキルとの反応によって生じる生成物の加水分解(ガブリエル合成).

炭素原子数の少ない低級のアミンは,アンモニア臭をもつ水に易溶な気体,中級のアミンは魚臭をもつ液体,高級のアミンは水に難溶の固体で,ほとんど無臭である.アミンは,一般に弱塩基で,酸と反応してアンモニウム塩をつくる.第一級,第二級アミンは,酸塩化物または酸無水物と反応して酸アミドを生じるが,第三級アミンは変化しない.
RNH2 + R′COCl → RNHCOR′ + HCl
脂肪族第一級アミンは亜硝酸と反応して窒素を発生し,アルコールやアルケンなどを生じるが,芳香族第一級アミンはジアゾニウム塩になる.



第二級アミンはN-ニトロソ化合物を与える.

芳香族第三級アミンは一般に核置換によってC-ニトロソ化合物になる.

出典 森北出版「化学辞典(第2版)」化学辞典 第2版について 情報
出典 ブリタニカ国際大百科事典 小項目事典ブリタニカ国際大百科事典 小項目事典について 情報
出典 株式会社平凡社百科事典マイペディアについて 情報
1925?~2003
ウガンダの軍人,政治家。軍事クーデタで大統領に就任(在任1971~79),1972年経済界を支配するインド系移民を国外追放。76年終身大統領に就任し,反西欧を唱え,人権抑圧を伴う独裁を行う。79年タンザニアとの交戦中に政権が倒され亡命。
出典 山川出版社「山川 世界史小辞典 改訂新版」山川 世界史小辞典 改訂新版について 情報
…第一アミンに含まれている1価の基-NH2。語尾として用いられる場合はアミンamineとなる。たとえばCH3NH2はアミノメタンまたはメチルアミンと呼ぶ。…
…第一アミンに含まれている1価の基-NH2。語尾として用いられる場合はアミンamineとなる。…
※「アミン」について言及している用語解説の一部を掲載しています。
出典|株式会社平凡社「世界大百科事典(旧版)」
目次 飼養文化 北アメリカ 北方ユーラシア偶蹄目シカ科の哺乳類。北アメリカでは野生種はカリブーcaribouと呼ばれる。角が雄だけでなく雌にもふつうある。体長130~220cm,尾長7~20cm,...