カルタミン
カルタミン
carthamin
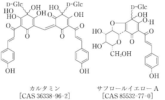
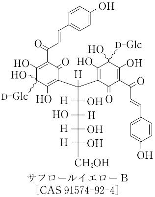
C43H42O22(910.77).キク科ベニバナCarthamus tinctorius の花びらには,フラボノイド系色素カルタミン(赤色)とサフロールイエロー(safflor yellow)A,B(黄色)が含まれている.水溶性のサフロールイエローを水で溶出した後,炭酸ナトリウム水溶液でフェノール性のカルタミンを溶出する.赤色の針状晶(ピリジン).融点228~230 ℃.紅染の染料として用いるほか,食品,化粧品の着色に用いられる.【Ⅰ】サフロールイエローA:C27H30O15(594.51).λmax 400,335.226 nm(ε 10200,6200,7800.メタノール).【Ⅱ】サフロールイエローB:C48H54O27(1062.94).λmax 408,330,240 nm(ε 22600,14600,10900.メタノール).


出典 森北出版「化学辞典(第2版)」化学辞典 第2版について 情報
Sponserd by 
カルタミン
carthamin
化学式 C21H22O11 。緑色光沢をもつ暗紅色顆粒状粉末。ベニバナから抽出された紅色色素。水にごくわずかに溶け,アルコールに可溶,エーテルに不溶。薄い炭酸アルカリ溶液には橙黄色を呈して溶解し,酸を加えると紅色沈殿になる。古くは,ベニバナから灰汁 (あく) を使って色素を抽出した溶液に布を浸し,これに酢 (梅酢,米酢など) を加えて紅色に染めるのに用いられた。現在でも口紅などの原料になる。
出典 ブリタニカ国際大百科事典 小項目事典ブリタニカ国際大百科事典 小項目事典について 情報
Sponserd by 
世界大百科事典(旧版)内のカルタミンの言及
【カルコン】より
…ベンザルアセトフェノン自身は天然には存在しないが,カルコン類は多数天然に存在する。たとえばブテイン(ダリアの黄色品種やキバナコスモスなどの花に配糖体として含まれる黄色色素)やカルタミン(ベニバナの花冠に含まれる紅色色素,日本では食紅としても用いられる)などの植物色素がある。その閉環異性体がフラバノンflavanoneで,フラボン,アントシアニンなどとともに,これら黄色色素化合物の総称としてフラボノイドflavonoidと呼ばれ,アセチルCoAを出発物質にして生ずるポリケチドpolyketideの一種である。…
【食紅】より
…しかし,最近になって,タール系色素が安全性の問題から消費者に好まれなくなり,再び生産されるようになり,製法も近代化された。ベニバナの赤色色素の本体はカルタミンcarthaminと呼ばれる一種の配糖体である。
[食用色素]【田島 真】。…
【ベニバナ(紅花)】より
…紅の製法は夏季に花冠から紅色の色素を抽出する。紅花にはカルタミンcarthaminという紅色素とサフロールイェローsafflor yellowが含まれ,紅染にはこの水溶性のサフロールイェローを水を加えてできるだけ溶かし,アルカリで紅色素を抽出する。古代エジプトでは地中海沿岸の海藻の灰や天然ソーダで紅色素を抽出した。…
※「カルタミン」について言及している用語解説の一部を掲載しています。
出典|株式会社平凡社「世界大百科事典(旧版)」
Sponserd by 