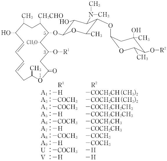
ロイコマイシン(leucomycin)ともいう.Streptomyces kitasatoensisの生産する十六員環マクロライド抗生物質.アシル側鎖の異なる A1,A3~A9,UおよびVなどの混合物が得られる.主成分は A3.いずれの成分も脂溶性かつ塩基性で,白色ないし淡黄色の粉末.無臭,味は苦い.エタノール,アセトン,エーテル,クロロホルムに易溶,四塩化炭素に可溶,水に難溶,石油エーテルに不溶.グラム陽性菌,リケッチア,クラミジア,マイコプラズマに有効.細菌リボソームの50Sサブユニットに結合し,ペプチド転移反応を阻止することによりタンパク質合成を阻害する.注射,内服または外用薬として使用される.[CAS 1392-21-8]


出典 森北出版「化学辞典(第2版)」化学辞典 第2版について 情報
…内服で与えても吸収がよく,組織移行性が高く,副作用も少ないので,よく用いられる。秦藤樹らによって発見されたロイコマイシン(キタサマイシン),梅沢浜夫らのジョサマイシンもマクロライド系に属し,スピラマイシンもこの系に属する。生物活性,耐性などもエリスロマイシンに類似しており,治療薬として用いられている。…
※「キタサマイシン」について言及している用語解説の一部を掲載しています。
出典|株式会社平凡社「世界大百科事典(旧版)」
1 食肉目クマ科の哺乳類の総称。全般に大形で、がっしりした体格をし、足の裏をかかとまで地面につけて歩く。ヨーロッパ・アジア・北アメリカおよび南アメリカ北部に分布し、ホッキョクグマ・マレーグマなど7種が...