翻訳|cimetidine
1975年に開発された消化性潰瘍(かいよう)治療剤で、胃潰瘍、十二指腸潰瘍の治療に用いられる。胃液の分泌を促進するヒスタミンのH2受容体に特異的に拮抗(きっこう)して、胃液の分泌を抑制する。ペプシンの分泌抑制作用もみられる。上部消化管出血にも有効で、消化性潰瘍治療剤のイメージを一変させた。世界各国でもっとも多く用いられている医薬品の一つで、ヒスタミンH2受容体抑制剤の最初の市販品であり、以後この方面の開発が活発となった。内服用の錠剤(200ミリグラム含有)、細粒剤(20%含有)、注射液(2ミリリットル中200ミリグラム含有)がある。ワルファリン、ジアゼパム、クロルジアゼポキシド、プロプラノロール、テオフィリン、フェニトインとの併用では、これらの薬物の代謝、排泄(はいせつ)を抑制し、血中濃度を高めることが報告されている。
[幸保文治]
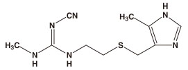
N-cyano-N′-methyl-N″-[2-[(5-methylimidazol-4-yl)methylthio]ethyl]guanidine.C10H16N6S(252.34).5-メチル-4-[(2-アミノエチル)チオメチル]イミダゾールと1-シアノ-2,3-ジメチルイソチオ尿素から得られる.
白色の結晶性粉末.融点140~144 ℃.メタノール,酢酸に易溶,エタノールに可溶,水,ジエチルエーテルに難溶.ヒスタミン H2-受容体きっ抗作用を有する消化性潰瘍治療剤として用いられる.LD50 2600 mg/kg(マウス,経口).[CAS 51481-61-9]
出典 森北出版「化学辞典(第2版)」化学辞典 第2版について 情報
出典 ブリタニカ国際大百科事典 小項目事典ブリタニカ国際大百科事典 小項目事典について 情報

…H2遮断薬は,フランスの製薬会社スミス・クライン・アンド・フレンチ社のブラックBlackらが約700種の化合物の中からブリママイドbrimamide,次いでメチアマイドmetiamideという化合物が従来の抗ヒスタミン薬で拮抗されないヒスタミンの作用に拮抗することを見いだし(1972),これがH1作用,H2作用という概念を生む端緒となった。これらは実用化には至らなかったが,次いで開発されたシメチジンは,ヒスタミンの胃酸分泌を抑制することから,胃潰瘍治療薬として実用化されるに至った。
[化学構造]
唯一の共通点はエチルアミンの構造(-CH2-CH2-N=)を有するということで,他の部分は多様である(表,表(つづき)参照)。…
※「シメチジン」について言及している用語解説の一部を掲載しています。
出典|株式会社平凡社「世界大百科事典(旧版)」
1 食肉目クマ科の哺乳類の総称。全般に大形で、がっしりした体格をし、足の裏をかかとまで地面につけて歩く。ヨーロッパ・アジア・北アメリカおよび南アメリカ北部に分布し、ホッキョクグマ・マレーグマなど7種が...