翻訳|terpene
精油の主要成分となっている化合物のなかで、イソプレンC5H8が先端と末端で結合(頭尾結合head to tail)した基本骨格(C5H8)nをもつ化合物を総称してテルペンとよぶ。テルペノイドterpenoid、イソプレノイドisoprenoidともよばれる。テルペンは精油の主要成分であり、精油中のテルペンは、植物の生体内で酢酸が酵素の作用によってスクアレンを経てコレステリン(コレステロール)となる生合成の初期段階で生成する。
[佐藤菊正]
テルペンは枝鎖C5単位(以下イソプレン単位という)が基礎となる。鎖状および環状テルペン系炭化水素は、イソプレン単位の数によって、モノテルペン(n=2)、セスキテルペン(n=3)、ジテルペン(n=4)およびトリテルペン(n=6)に分類され、さらに環状テルペン系炭化水素については単環性、双環性、三環性テルペン系炭化水素に分類される。そして、これらのテルペン系炭化水素と同じ炭素骨格をもつアルコール、アルデヒド、ケトンおよびカルボン酸が含まれる。
[佐藤菊正]
テルペンは広く植物界に分布しており、その生合成機構はメバロン酸の発見によって著しい進展をした。メバロン酸はすべてのテルペン(モノ、セスキおよびジテルペン系化合物)の生合成における前駆物質である。現在では植物生体内でテルペンがメバロン酸経路によって生合成される全段階は確立されている。
[佐藤菊正]
テルペンは天然香料の主体となる植物精油の主成分である。商業生産される精油のうちで、とくに生産量も多く重要なものとその主成分を以下に示す。
〔シトロネラ油〕 ゲラニオール、シトロネラール、d-シトロネロール
〔レモングラス油〕 シトラール
〔針葉油〕 α-ピネン
〔ローズ油〕 ロジノール、ゲラニオール、ネロール
〔ラベンダー油〕 リナロール、酢酸リナリル
〔びゃくだん油〕 αおよびβ-サンタロール
〔オレンジ油〕 リモネン
〔はっか油〕 l-メントール
以上でわかるように、テルペン類は天然香料として高い価値をもっている。
[佐藤菊正]
モノおよびセスキテルペン系化合物は植物精油から水蒸気蒸留などによって留出される。モノテルペン系化合物は芳香を有するが、セスキテルペン系化合物以上は無臭である。植物を資源とするモノテルペン系化合物は香料および医薬品の合成原料として多量に必要となり、植物から得られるテルペンのみでは需要に応じきれない状況となった。そこで天然の未利用資源、たとえばα(アルファ)-ピネンあるいは石油化学製品、たとえばアセチレン、アセトン、イソプレンなどを出発原料としてテルペン系化合物は大量生産されている。
現在、テルペン化合物を工業的に製造するには、(1)ピネン法、(2)アセトン・アセチレン法、(3)イソブテン・アセトン・ホルマリン法、(4)イソプレン法がおもに行われている。これらのうちで(1)以外の合成法はすべてメチルヘプテノンを中間体とする方法であり、このメチルヘプテノンをどのように製造するかが各製法の焦点となっている。(1)によるカンファー(樟脳(しょうのう))、ボルネオール、リナロールの合成、(2)によるリナロールの合成、(4)によるリナロールの合成が工業化されている。
香料として多く使用されているゲラニオールやパチュリアルコールなどはモノおよびセスキテルペン系化合物であり、ビタミンEの合成原料であるフィトール、イソフィトールやビタミンAなどはジテルペン系化合物である。またトリテルペン系化合物であるスクアランおよびスクアレンは重要な化粧品基材としてともに生産されている。ニンジンの色素であるカロチン(カロチノイドのうちのある一群)はテトラテルペン系化合物である。さらに、ポリテルペン系化合物は補酵素Q10の合成原料であるタバコの葉から得られるソラネソールが重要である。このように、テルペンは古くから香料および医薬品の原料として用いられ、天然有機化合物の一つの重要な位置を占めている。
[佐藤菊正]
『奥田治著『香料化学総覧Ⅰ・Ⅱ』(1967、68・広川書店)』▽『立岡末雄・石井象二郎・市来崎厳ほか著『近代工業化学15 低分子工業化学Ⅱ』(1968・朝倉書店)』▽『須賀恭一・渡辺昭次著『香料の化学』(1972・講談社)』▽『園田昇・亀岡弘編『有機工業化学』(1993・化学同人)』▽『伏谷伸宏・広田洋ほか著『天然有機化合物の構造解析――機器分析による構造決定法』(1994・シュプリンガー・フェアラーク東京)』
イソプレンC5H8を構成単位とする重合体(C5H8)nからなる炭化水素およびその誘導体の総称。テルペノイドterpenoid,イソプレノイドisoprenoidとも呼ばれる。代表的なものは植物の香気成分の精油であり,多くの色素,樹脂,ゴム質もすべて形式的にはテルペンに含める。
n=2にあたる炭化水素C10H16はモノテルペンmonoterpeneと呼ばれ,精油の主成分はこのモノテルペンおよびその含水素誘導体であるため,狭義のテルペンといえばモノテルペンをさす。天然にはnが3以上のテルペンも知られており,n=3をセスキテルペンsesquiterpene,n=4をジテルペンditerpene,n=5をセスタテルペンsesterterpene,n=6をトリテルペンtriterpeneなどと呼ぶ。n≧8の場合をポリテルペンpolyterpeneと呼ぶことがあり,またイソプレン自身はn=1のヘミテルペンhemiterpeneに属すると考えられる。高次のテルペンも香気成分,色素,樹脂成分等として重要なものが多い。広義には,(C5H8)nの形の化合物群のみでなく,そのアルコール,アルデヒド,ケトン等や,その含水素誘導体を含めてテルペン類ということもある。
テルペンは天然には多くの混合物として産出する。そのおのおのの化合物の分離,確認はきわめて困難であったが,O.ワルラハが精油成分の解明に顕著な業績をあげ,テルペンの基本骨格がイソプレンの頭部・尾部結合であるというイソプレン則を提出して(1887)以来,テルペン類の研究が大いに発展した。テルペン炭化水素はその構造上,鎖状,単環状,双環状の3種類に分類される。その代表的なものを図1に示す。鎖状部分はトランス型の配置を示すのが普通であるが,カロチンなどにはシス型の配置も見いだされる。
生体中でテルペン類がどのように合成されるかについては,多くの研究がなされ,その前駆物質としても数種の化合物があげられているが,そのうち,メバロン酸を経由するものが最も有効とされている。すなわち炭酸同化によってつくられたアセチルCoAが2分子縮合してアセトアセチルCoAを生じ,これがさらに図2のように還元されて,C6のメバロン酸が生成する。ついでリン酸化して生じたメバロン酸-5-ピロリン酸が脱炭酸して,図3に示す(1)(2)となり,これが縮合してC10の骨格ができる。以後同様の反応で,C5単位が縮合してC5nのプレニルピロリン酸を生じ,これが酸化,還元,脱炭酸などの反応を経て各種のイソプレノイドを生成している。こうした縮合反応はプレニルトランスフェラーゼ(ジメチルアリルトランスフェラーゼ)と呼ばれる酵素の働きによるもので,この酵素は細菌から高等動植物までに広く分布,特有の鎖長と構造をもつプレニルピロリン酸を生合成している。
植物から抽出されるテルペンの多くは特有のにおいや芳香をもつ。メントール(ハッカ脳),ショウノウ(樟脳),リモネン(レモン油),ピネン(テレビン油),ゲラニオン(ゲラニオール)などはモノテルペンに属する。ファルネソールはセスキテルペンの例である。ジテルペンでは鎖状テルペンアルコールであるフィトールが葉緑素の構成成分として重要である。
トリテルペンであるスクアレンはサメ肝油に見いだされているが,コレステリンの生合成の前駆体である。テトラテルペンとしてはカロチノイドがある。イソプレンが対称的に重合しているのがこの一群の化合物の特徴である。天然ゴムはポリテルペンであり,規則正しく線状に配列した何百というイソプレン単位を含んでいる。動物にとって重要なテルペンとして脂溶性ビタミンA,E,Kがある。さらにユビキノンubiquinoneまたはコエンザイムQ(CoQ)と呼ばれる一連の化合物はキノン環と長いイソプレン側鎖からなり,ミトコンドリアに存在して,電子伝達系の構成成分となっている。ポリプレノールは末端に一級アルコール基をもつ誘導体で,その一つドリコールdolicholはリン酸エステルとして細胞壁や糖タンパク質の生合成過程で重要な役割を担っている。
テルペン類は古来,精油成分として,香料,食品香料,化粧品,医薬品に重用されている。そのため天然物からの採取では需要に応じきれず,工業的合成法が試みられている。
(1)β-ピネンからの半合成 天然の精油から安価に得られるモノテルペンのβ-ピネンから出発し,ミルセンを経て図4に示すように各種のテルペンを合成するのが一般法であるが,反応段階の数が多いことや,手法の古さや選択性に問題がある。天然にはα-ピネンのほうがβ-ピネンより多いので,α-ピネンから合成する方法や,β-ピネンに異性化する方法が試みられている。
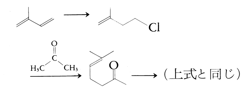
(2)アセチレン-アセトン法(全合成法) アセチレンとアセトンから出発し,メチルヘプテノンを経て各種テルペンアルコール,テルペンアルデヒドを合成するもので,次式に示すロッシュRoche法で代表される。選択性はよいが,1段階ずつ合成するため多段のステップを必要とする。

(3)プレニルクロライドを用いる方法(全合成法) 次式に示すローディアRhodia法が代表的なものである。
この方法は石油化学工業の発展によってイソプレンが安価に供給されるようになって盛んになった。近年,イソプレンから直接テルペン類を合成する方法も発表されている。
執筆者:内田 安三+大隅 良典
出典 株式会社平凡社「改訂新版 世界大百科事典」改訂新版 世界大百科事典について 情報
テルペノイド,イソプレノイドともいう.イソプレンが頭と尾で順次連結した基本骨格 (C5H8)n をもつ物質の総称.天然にもっとも広く分布する有機化合物で,6000種類以上が知られている.生合成的には,メバロン酸からつくられる.テルペンは連結するイソプレン単位の数により,次のように分類される.
(1)n = 2のモノテルペン,
(2)n = 3のセスキテルペン(セスキは1.5倍の意),
(3)n = 4のジテルペン,
(4)n = 5のセスタテルペン(セスタは2.5倍の意),
(5)n = 6のトリテルペン,
(6)n = 8のテトラテルペン(カロテノイド),
(7)n ≧ 9のポリテルペン,
などがある.n = 1のものは,ヘミテルペンとよばれる.生物界におけるテルペンの役割りは多様である.モノテルペンやセスキテルペンは植物の香気成分として存在するものが多く,香料として使われてきた.植物ホルモンであるアブシシン酸や昆虫幼若ホルモンはセスキテルペンである.ジテルペンには植物成長ホルモンの一つであるジベレリン類,甘味物質であるステビオシド,樹脂酸などがある.ステロイドはトリテルペンと考えられ,天然ゴム,グタペルカなどはいずれも多数のイソプレンが連結した,ポリテルペンとみなすことができる.このほかテルペンには,抗菌作用,植物成長阻害,昆虫摂食阻害,殺虫性,抗腫瘍性など,さまざまな生物活性を示すものが多数知られている.
出典 森北出版「化学辞典(第2版)」化学辞典 第2版について 情報
出典 株式会社平凡社百科事典マイペディアについて 情報
出典 ブリタニカ国際大百科事典 小項目事典ブリタニカ国際大百科事典 小項目事典について 情報
… 精油,樹脂,弾性ゴム,カロチノイド色素,ビタミンAなど,天然にはイソプレンの重合体,誘導体とみなすことができるものが多い。これらをテルペンと総称するが,その炭素骨格がイソプレンの炭素骨格から成ることをイソプレン則という。表におもなものと重合様式の一例を示す。…
…各種ステロール,胆汁酸,ステロイドホルモンとしておのおの重要な生理的役割を担っている。ステロイド
[テルペン]
イソプレンの重合体とその誘導体をテルペンまたはテルペノイドと総称する。植物の芳香油成分やカロチノイド(植物の緑葉や根および動物の卵黄や黄体の色素)はこれにあたる。…
※「テルペン」について言及している用語解説の一部を掲載しています。
出典|株式会社平凡社「世界大百科事典(旧版)」
二十四節気の一つ。元来,太陰太陽暦の 12月節 (12月前半) のことで,太陽の黄経が 285°に達した日 (太陽暦の1月5日か6日) に始り大寒 (1月 20日か 21日) の前日までの約 15日間...