化学辞典 第2版 「トムソンの法則」の解説
トムソンの法則
トムソンノホウソク
Thomson's law
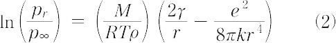
液体の小滴が小さくなるにつれて,その蒸気圧pr が平滑な液面の示す蒸気圧 p∞ より大きくなることや,気相に対して,毛管のなかで凹面をなす液面の蒸気圧が上と逆に普通の蒸気圧より低くなることを示す法則で,W. Thomson(Lord Kelvin:1871年)によって次の関係が与えられた.

ここに,γは液体の表面張力,Mは分子量,ρは密度,rは液体粒子の半径,Rは気体定数,Tは絶対温度である.毛管中の水などで液面が凹面になるときには,上式の左辺の分子と分母は逆になり,毛管凝縮の原因となる.上式によると蒸気相の蒸気圧が飽和状態に達しても,液相(霧)の出現は不可能となる.これは過冷却あるいは過飽和現象である.しかし,このとき,気相中にイオンが存在すると霧が発生することから,上式はThomsonによって,

と修正された.ウィルソンの霧箱(1899年)は,この原理にもとづくものである.このときにはイオンが凝結核となり,霧が発生する.その後,H. Freundlich(1909年)は微小粒子の溶解度Sr とその半径rとの関係について,上と同様の考え方を用いて,

を導いた.(1)や(3)の関係が成立することは,V.K. La Mer(1952年)が単分散系の霧やコロイドをつくることに成功したときはじめて実証された.
出典 森北出版「化学辞典(第2版)」化学辞典 第2版について 情報



