デジタル大辞泉 「フィルター」の意味・読み・例文・類語
フィルター(filter)
2 色ガラスなどを用いて、ある波長の光だけを透過させる装置。写真撮影に用いる。
3 電気通信機器で、ある周波数のものだけを通過させる装置。
4 コンピューターで、ある特定の条件に合致したデータだけを出力するプログラムやサービス。→フィルタリングソフト →フィルタリングサービス
翻訳|filter
元来は,濾紙(ろし)などの流体中に含まれる固形物を取り除くための多孔性の装置(濾過器)のことであるが,各種の振動現象を対象にして,波長を異にする多くの部分振動成分の中から,特定の波長領域内の成分だけを取り出す装置もフィルターと呼ばれる。光については,サングラスなどの色ガラスや,干渉を利用して狭い波長領域だけを通過させる光学フィルターがあり,電気工学分野では濾波器と呼ばれている。
→濾過(ろか)
光を一様に吸収してその強さを弱めたり,特定の波長領域の光のみを選択的に吸収して分光分布を変えたり,あるいは特定の波長のみを取り出す目的で用いられるものを光学フィルターという。目的によって種々のものがあるが,もっともポピュラーなものは写真用フィルターである。紫外線吸収フィルターはUV(ultravioletの略)フィルターともいい,紫外線をカットしコントラストのよい写真が得られる。種類の多いシャープカットフィルターは特定の波長より短波長側を急峻に遮断し長波長側のみを通すものだが,JIS規格では色相の記号と透過限界波長を10nm単位で表した2桁の数字の組合せでY-46というように呼ばれる。色相記号L,Y,O,Rは,それぞれ色相として無色,黄,黄赤および赤を表す。色温度変換フィルターは,本来カラーフィルムのタイプにより指定されている色温度の光源と異なる色温度の光源下で撮影する場合,この色温度の違いを補正するものである。整正フィルターはパンクロフィルムの緑色部分の感度の相対的不足を補正する。偏光フィルターはいわゆるポラロイドの一種で,設定した方位の偏光成分を通し,これと直交する方位の偏光成分を遮断する。水面あるいは窓ガラスを通した写真撮影では,これらの面からの反射光がしばしば妨害となるが,これらの反射光は,一般に特定方向の偏光成分が大きいという性質があり,偏光フィルターの方位を選ぶことにより反射光のみを遮断したり弱めたりすることができる。写真用フィルターは着色ガラスを用いるものが多く,一部ゼラチンフィルターも用いられる。
写真用ではないが,干渉フィルターはガラス基盤上に真空蒸着で作られた光学薄膜の干渉作用を利用するもので,特定の波長だけを選択的に通すもの,特定の波長帯域のみを通すもの,あるいは反射するものなど多くの品種がある。また一般の理化学用フィルターは可視域に限らず紫外から赤外まで広い波長範囲を対象としている。
執筆者:小倉 磐夫
電気通信などの情報伝送においても,電気振動を対象にした濾波器が多数用いられている。ラジオやテレビジョンなどの放送を例にとると,受信者の周辺の大気という,いわば一つの媒体に,多くの放送局から放射された電波が周波数を異にして共存している。この中から希望する特定の局の電波を選択して受信するためには,各局に固有の搬送周波数の付近の比較的狭い周波数帯域に存在する振動成分のみを通過させ,その他の周波数をもつ振動成分を抑圧するようなフィルターが必要となる。
このように,電気フィルターには,通過させたい周波数帯域と,阻止すべき周波数帯域およびその境目の遮断周波数などが指定されることになるが,この形状によって次の(1)~(5)のような形式がある(図1)。(1)低域通過型 通過域が直流から遮断周波数faまででfaより高い周波数帯域を阻止域とするもの。(2)高域通過型 遮断周波数fb以上の帯域を通過域とし,直流からfbまでを阻止域とするもの。(3)帯域通過型 ある周波数fc1から別のある周波数fc2までの帯域を通過域とし,これ以外の周波数帯域を阻止域とするもの。(4)帯域阻止型 ある周波数fd1から別のある周波数fd2までの帯域を阻止域とし,これ以外の周波数帯域を通過域とするもの。(5)櫛(くし)型 通過域がfe1からfe2まで,およびfe3からfe4までというようにいくつかの周波数帯域からなり,その他の周波数帯域を阻止域とするもの。帯域阻止型は櫛型の一例と考えることもできる。
フィルターの主要部分は,入力端子対と出力端子対とをもった2端子対回路として構成されることが多い。構成素子の種類はいろいろで,たとえばコイルを用いずトランジスターなどを用いた能動フィルター,電気-機械変換を用いて力学的振動系を利用したメカニカルフィルターなども広く用いられているが,コイル,コンデンサー,抵抗などの集中定数素子を用いたフィルターがもっとも基本的である。集中定数回路でフィルターを構成する場合には,通過域におけるフィルターの電力消費を少なくするため,コイルとコンデンサーのみを用いたL,C2端子対回路を抵抗で終端した回路が用いられることが多い(図2)。
インダクタンスLをもつコイルに角周波数ωをもつ正弦波状の電流i(t)=Acosωtが流れているとき,その両端の電圧は,
vl(t)=-ωL・A・sinωt
となっている。角周波数ωは周波数fに比例し,ω=2πfであるから,i(t)とvl(t)の振幅比は1:(2πfL)である。このことから低い周波数をもつ電流を流しても小さい振幅の電圧しか現れず,高い周波数をもつ電圧を印加すると,小さい振幅の電流しか流れないことがわかる。概括的にいえば,高い周波数の振動に対しては開放,低い周波数の振動に対しては短絡に近い状態になると考えることができる。すなわち取り扱う振動成分の周波数の大小によって開放から短絡まで状態をかえるスイッチの役割を果たしている。
容量がCであるコンデンサーに電流i(t)=Acosωtが流れているとき,その両端の電圧は,
となっている。したがってコイルの場合とまったく逆に,低い周波数の振動に対しては開放,高い周波数の振動に対しては短絡に近い状態になると考えることができる。
低域通過型のフィルターに対して,コイルの性質を利用するため,たとえば図3のような回路を作ってみよう。送端電圧v0に含まれる低い周波数の成分に対してはコイルは短絡に近いから,この成分は受端抵抗R2の両端に比較的大きな電圧となって現れる。しかしv0中の高い周波数の成分は,コイルが開放に近いから,R2の両端に低い電圧となって現れる。つまり高い周波数の成分ほど受端に現れにくいという高域遮断の性質をもつことになる。この性質をより強調するためには,コイルのみでなく,コンデンサーによるスイッチ作用を併用し,しかも素子数を増して,図4のような回路を用いればよい。
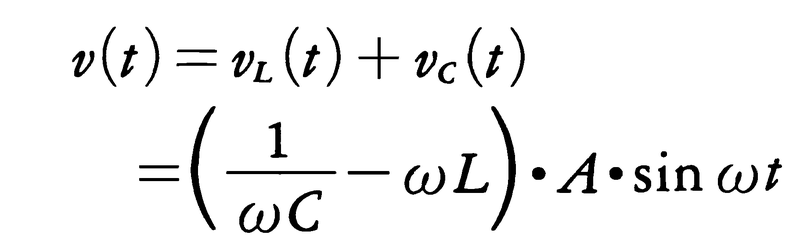
帯域通過型のフィルターを構成するためには,コイルとコンデンサーによる共振現象が利用される。図5-aのようにLとCとを直列に接続した直列共振回路に電流i(t)=Acosωtが流れているとき,両端の電圧は,
したがって周波数が
となったとき直列共振し,v(t)=0となり,短絡と同じような状態になる。もちろん電流の周波数が非常に低いときと高いときには,それぞれCとLとによって開放に近い状態になる。
同様に図5-bのようなLとCからなる並列共振回路では,電圧v(t)=Bcosωtを加えたとき,
で並列共振してi(t)=0となり,開放と同じような状態になる。もちろん電圧の周波数が非常に低いときと高いときには,それぞれLとCとによって短絡に近い状態になる。したがって図6に示すような回路を用い,すべての共振周波数を等しくf0とし,f0を遮断周波数fc1とfc2の中間に選ぶことによって,f0に近い周波数をもつ振動のみを選択して送端から受端へ伝送し,他の振動成分の抑圧が可能になる。
通過帯域における損失を許容値以下にし,阻止域の減衰を大きくするようにLやCの値を決定するためにはフィルターの設計理論が用いられる。
執筆者:岸 源也
一般に物理量を測定するとき,ランダムな変動量が加わることがある。測定データからこの不必要な雑音成分を除き,本来の信号成分である物理量をできるだけ忠実に復元する装置を最適フィルターという。
このような最適フィルターの考え方を初めて数学的に定式化したのはN.ウィーナーであった。ウィーナーは,図7に示すように,本来の信号x(t)は測定できないが,それに雑音n(t)が加わったy(t)=x(t)+n(t)が測定できるものと考えた。そして,x(t)とn(t)とをそれぞれ定常なガウス性確率過程と仮定し,信号x(t)のスペクトル関数表現の存在を仮定し,また,ランダムな成分n(t)は白色雑音とした。最適フィルターは,測定データy(t)を入力とし,これを処理してx(t)の推定量x^(t)を出力する一種の演算装置であるが,ウィーナーは誤差e(t)=x^(t)-x(t)の2乗の平均値が最小になるような演算を見いだすことを考えた。言い換えると,過去に得られた測定データy(t)(τ≦t)からの線形でかつ因果的な作用素として積分,
を考えるのだが,誤差の2乗平均e2(t)=(x^(t)-x(t))2の平均値を最小にするような核関数K(t,τ)を決めることを考えた。このように,誤差の2乗平均を最小にすることをr.m.s.規範あるいはウィーナー規範ともいい,このこととx(t)とn(t)の定常ガウス性を仮定することにより,この最適フィルターの問題が周波数領域できれいに解けることを示した。すなわち,定常性から核関数はK(t,τ)=K(t-τ)のように1個のパラメーターで表現でき,これを利用して,(1)式のスペクトル表現を導き,最適フィルターの核関数のラプラス変換,
がx(t)とn(t)のスペクトル関数表現から求められることを示した。制御工学では,この核関数K(t)はフィルターのインパルス応答と呼ばれており,またK(s)は伝達関数と呼ばれる。上で述べたことは,最適フィルターの伝達関数がr.m.s.規範のもとで一意的に決まり,これより最適フィルターが信号処理装置として工学的な手段で実現できることを示しており,ウィーナーの理論は制御工学や通信工学の分野で注目されることとなった。なお,ウィーナーの最適フィルター(ウィーナーフィルター)を図8に示す。
同じr.m.s.規範を使ってはいるが,アメリカのカルマンR.E.Kalmanは1960年,違った立場で最適フィルターが設計できることを示した。カルマンは,信号x(t)の定常性を仮定しないで,それを別の白色雑音を入力するような線形微分方程式で記述されるガウス=マルコフ過程で表現することにより,最適フィルターの核関数K(t,τ)が満足すべき方程式を時間領域で求めた。そして,最適フィルターを線形ダイナミカルシステムと呼ばれる表現形式で構成する道を開いた。この場合,定常性を仮定しないので,カルマンフィルターはウィーナーフィルターの一般化となっており,また,多入力かつ多出力の信号も取り扱うことができるので,その拡張にもなっている。つまり,カルマンフィルターの特別な場合としてウィーナーフィルターを導くことができるのである。
カルマンフィルターの構成は,図8の方式とは異なったダイナミカルシステム表現に基づくので,過去の測定データのすべてを記憶する必要はなく,x^(t)は現在値のy(t)を入力とする線形フィルターの出力として構成される。したがって,カルマンフィルターは,現在のプロセッサー技術によると,ディジタル形式で容易にオンライン計算できるので,今では計測制御の分野のみならず,予測に関したいろいろな分野で応用されている。
他方,カルマンフィルターは線形システムの状態推定法を与えるものであることが認識されるとともに,最適制御の一つである最適レギュレーターの問題と双対の関係があることも示された。このことから,カルマンフィルターの発見は線形システム理論の発展に大きなインパクトを与えるとともに,今では現代制御理論の体系の中心をなすに至っている。また,カルマンフィルター流の状態推定の考え方はディジタル伝送のための等化器や適応フィルターの設計,システム同定などの根幹であり,システム制御の現代的方法の一つとなっている。
執筆者:有本 卓
出典 株式会社平凡社「改訂新版 世界大百科事典」改訂新版 世界大百科事典について 情報
写真撮影用器材の一つ。写真撮影に利用している光(太陽光、人工光など)を、波長によって選択吸収する働きをする。
着色ガラス製のソリッドフィルターが一般的。これをねじ付きの金属枠に固定したものが多用されている。そのほか、厚さ80~200マイクロメートルのトリアセテートや、0.1ミリメートル程度のゼラチンの薄膜に着色したもの、これらの薄膜をガラスで挟んだサンドイッチフィルターなどもある。いずれも光学的平行平面をもち、一般撮影の場合は、撮影の際レンズの前面に取り付ける。
[伊藤詩唱]
かつては、フィルターはモノクロームフィルムの感色性の欠点を補う目的でつくられたが、今日この目的に使用されることはまれである。モノクローム用では、ある波長より短い波長の光を吸収し、より長い波長の光を透過する性質のものをシャープカットフィルターとよぶ。たとえば、SC-Y44とある場合、SCはシャープカットの略、Yはフィルターの色(yellow filter)、44は440ナノメートルより短い波長の光をカットし、より長い波長の光を透過することを意味する。
カラー用には、色温度変換用のLBフィルターlight balancing filter(色温度上昇用はブルー、降下用はアンバー、変換力はデカミレッドで表示)、カラーフィルムの発色を微妙にコントロールするCCフィルターcolor compensation filter(シアン、マゼンタ、イエロー、ブルー、グリーン、レッドの6色で、補正力は濃度の100倍で表示)、蛍光灯の色を補正するものなどがある。
なお特殊フィルターに、非金属または水面の反射光や空中光などの偏光をカットする偏光フィルター、選択吸収をせずにすべての光を一様に吸収して透過光量を減少させるND(中性濃度)フィルターneutral density filterなどがある。
[伊藤詩唱]
光のある波長帯だけを透過またはしゃ断したり,あるいはある波長以上または以下の波長だけを通したい場合に用いる.フィルターは選択吸収,選択透過,選択反射,光の干渉,散乱などの現象を利用する.ガラスフィルター,ゼラチンフィルター,プラスチックフィルターなどは一般の吸光光度計に用いられる吸収フィルターである.ニュートラルフィルター(NDフィルター)は選択透過に属し,一般に,必要波長域全体を一様に減光する目的で使用される.反射フィルターとしては残留線フィルターがある.とくに赤外領域において不必要な高次回折を除くときは,塩化カリウム,あるいは臭化カリウムのフィルターを用いる.狭い波長領域の分離には,干渉フィルター,および散乱フィルターがよい.前者は光を部分的に反射するものであり,後者はクリスチャンゼン-ワイゲルトのフィルターとよばれ,本質的には透明な粉末を懸濁した透明液体,あるいは空気である.たとえば,シクロヘキサンとデカヒドロナフタレンとの混合物中に石英粉末を懸濁させたものは,250~280 nm で幅約10 nm の波長帯を与える.
出典 森北出版「化学辞典(第2版)」化学辞典 第2版について 情報
出典 株式会社平凡社百科事典マイペディアについて 情報
出典 カメラマンWebカメラマン写真用語辞典について 情報
…またコロイド状物質を含むような難ろ過性物質に対しては,ケイ藻土,セルロース,酸性白土などのいわゆるろ過助剤が用いられる。
[ろ過機]
フィルターfilterともいう。ろ過操作を行うろ過機は大きく分けてケーキろ過機,清澄ろ過機,スラリー濃縮用ろ過機に分類されるが,それぞれの機種は次のとおりである。…
…またコロイド状物質を含むような難ろ過性物質に対しては,ケイ藻土,セルロース,酸性白土などのいわゆるろ過助剤が用いられる。
[ろ過機]
フィルターfilterともいう。ろ過操作を行うろ過機は大きく分けてケーキろ過機,清澄ろ過機,スラリー濃縮用ろ過機に分類されるが,それぞれの機種は次のとおりである。…
※「フィルター」について言及している用語解説の一部を掲載しています。
出典|株式会社平凡社「世界大百科事典(旧版)」
ドンド焼き,サイト焼き,ホッケンギョウなどともいう。正月に行われる火祭の行事で,道祖神の祭りとしている土地が多い。一般に小正月を中心に 14日夜ないし 15日朝に行われている。日本では正月は盆と同様魂...
1/16 デジタル大辞泉プラスを更新
1/16 デジタル大辞泉を更新
12/10 小学館の図鑑NEO[新版]魚を追加
10/17 ブリタニカ国際大百科事典 小項目事典を更新
8/22 日本大百科全書(ニッポニカ)を更新