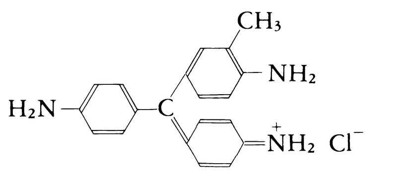
赤色系塩基性染料の一つ。トリフェニルメタン系マゼンタ系列に属す。1856年イギリスのW・H・パーキンによるモーベイン(モーブ)の合成直後にポーランドのナタンソンJacob Natanson(1832―1884)によって発見された。アニリン38部、o(オルト)-トルイジン35部、p(パラ)-トルイジン27部を縮合剤を用いて反応させたあと、酸化して合成する。いくつかの成分の混合物である。類似の構造で、成分組成の異なるものに、マゼンタ、ローザニリンがある。
[飛田満彦]
フクシン
分子式 C20H20ClN3
分子量 337.9

マゼンタmagentaともいう。古くから知られた代表的な塩基性染料で,ローズアニリン,パラローズアニリンの別称をもつが,実際にはこれらの混合物である。赤紫色の塩基性染料で,アニリン,o-トルイジン,p-トルイジンおよびそれらの塩酸塩の混合物をニトロベンゼン,鉄,塩化亜鉛の存在で加熱して合成する。現在は繊維染色よりも,顕微鏡用生体染色,苗鑑別などに用いられる。緑色の金属光沢をもつ結晶で,水,エチルアルコールに溶け赤紫色を呈する。
執筆者:新井 吉衞
出典 株式会社平凡社「改訂新版 世界大百科事典」改訂新版 世界大百科事典について 情報
C20H20ClN3(337.85).マゼンタ,ローザニリン,C.I.Basic Violet 14ともいう.トリフェニルメタン染料の一種.鉄粉と塩化亜鉛の存在下,アニリン,o-およびp-トルイジンの混合物をニトロベンゼン中で加熱すると得られる.
緑色の結晶.分解点 > 200 ℃,λmax 543 nm(ε 93000).温水に可溶(紫赤色),アルコール類に可溶,エーテルに不溶.溶液は緑色の蛍光を発する.アルデヒドの検出試薬(シッフ試薬),繊維類(木綿,羊毛,絹,アクリル繊維),皮革,紙,生体などの染色に用いられる.[CAS 632-99-5]
出典 森北出版「化学辞典(第2版)」化学辞典 第2版について 情報
神】ふくしん
、木心のある
。字通「
」の項目を見る。
出典 平凡社「普及版 字通」普及版 字通について 情報
出典 ブリタニカ国際大百科事典 小項目事典ブリタニカ国際大百科事典 小項目事典について 情報
出典 株式会社平凡社百科事典マイペディアについて 情報
一月五日ごろから二月二、三日ごろの、小寒、大寒合わせた約三〇日間。寒中(かんちゅう)。《 季語・冬 》[初出の実例]「寒(カン)の中 薬喰 声つかふ 酒作 紅粉(べに) 門垢離(かどごり)」(出典:俳...