アミノ樹脂(アミノ基-NH2を含む化合物とアルデヒドとの縮合によって得られる樹脂の総称)の一種で、メラミンとホルムアルデヒドからつくられた熱硬化性樹脂である。
[垣内 弘]
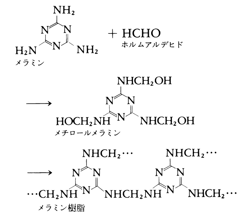
メラミンはアミノ基を3個、したがってホルムアルデヒドと反応する官能基を6個もっている。配合比と反応条件によって多くのメチロール基HOCH2-または(CH2OCH2)nOH-の入ったポリメチロールメラミンの混合物になる。これが初期反応物である。一般的な製造法は、メラミン1モルとホルムアルデヒド3.3モルを混合し、炭酸ナトリウムまたはアンモニアを用いて弱アルカリ性で80℃ぐらいで反応させる。水溶液がシロップ状になる。このシロップを水‐アルコールに溶解しパルプなどの充填(じゅうてん)剤に混合したのち、乾燥し粉砕して微粒にする。同時に着色材料、離型剤を加えて、加圧・加熱して成形物をつくる。
[垣内 弘]
成形品の特徴は、尿素とホルムアルデヒドを原料とし、同じく熱硬化性樹脂であるユリア樹脂(尿素樹脂)に比べて耐熱、耐水、耐酸・耐アルカリ性に優れ、また耐アーク性も優れている。主として電気器具、配線器具、食器に使われている。メラミン樹脂の代表的な製品である化粧板は、表面がメラミン樹脂層で、下側はフェノール樹脂層になっている。車両用はアルミニウム板を用いる。これらはメラミン樹脂そのもののもろさに原因するひび割れ破損をなくすためである。また木綿やレーヨン、スフ織物のしわを防止し、洗濯による収縮率を小さくして羊毛に近い風合(ふうあい)を与える。これにはジまたはトリメチロールメラミンのブチルエーテルが使われる。塗料としてはメチロールメラミンのブチルエーテルが使われ、堅牢(けんろう)な皮膜を与える。またこのエーテルをシンナーに溶かしたものはワニス(メラミン樹脂ワニスmelamine resin varnish)である。塗膜の硬さは高く、淡色で光沢がよく、美術工芸品や家具などに広く用いられる。日本の年間生産量は15.9万トン(2002)である。
[垣内 弘]
『布山五雄著『尿素樹脂工業・メラミン樹脂工業』(1950・誠文堂新光社)』▽『安倍通夫著『プラスチック材料講座 メラミン樹脂』(1961・日刊工業新聞社)』▽『三輪一郎著『プラスチック材料講座 ユリア・メラミン樹脂』(1978・日刊工業新聞社)』▽『本山卓彦・永田宏二著『接着剤』(1988・工業調査会)』
出典 株式会社平凡社百科事典マイペディアについて 情報
メラミンとホルムアルデヒドの重縮合でつくられる熱硬化性樹脂。アミノ樹脂の一種。
メラミンとホルムアルデヒドをアルカリ性で縮合させ,溶剤可溶の状態で充てん(塡)剤(α-セルロース,亜硫酸パルプなど)や紙にしみこませ,積層または圧縮成形によって加熱硬化させ,成形品にする。尿素樹脂にくらべ,耐熱性,耐衝撃性がよく,美しい表面を有する成形品が得られる。電気的性質,とくに耐アークトラッキング性が良好である。家具,机の天板などの化粧板,食器,日用品,コネクター,スイッチなどの電気部品に用いられる。おもな物性を表に表す。
執筆者:森川 正信
出典 株式会社平凡社「改訂新版 世界大百科事典」改訂新版 世界大百科事典について 情報
メラミン-ホルムアルデヒド樹脂ともいう.メラミンとホルムアルデヒドの付加縮合反応によって得られる熱硬化性アミノ樹脂.ホルマリンとメラミンをアンモニア,水酸化ナトリウムの存在下,約80 ℃ で付加縮合させる.このシロップ状生成物にセルロース粉末,アスベスト,ガラス繊維を加えて乾燥し,成形用コンパウンドにするか,紙に含浸させて化粧板表面材などにする.硬化は加圧,加熱によって行う.メラミン樹脂を用いた装飾用積層シートは,メラミン樹脂化粧板とよばれる.通常,メラミン樹脂含浸オーバーレイ紙(表面保護層),メラミン樹脂含浸化粧模様紙(着色模様層),心材(支持層)および裏打層の4層構造からなる.透明性,光択性,耐摩耗性などの点ですぐれている.[CAS 108-78-1]
出典 森北出版「化学辞典(第2版)」化学辞典 第2版について 情報
出典 ブリタニカ国際大百科事典 小項目事典ブリタニカ国際大百科事典 小項目事典について 情報
1 食肉目クマ科の哺乳類の総称。全般に大形で、がっしりした体格をし、足の裏をかかとまで地面につけて歩く。ヨーロッパ・アジア・北アメリカおよび南アメリカ北部に分布し、ホッキョクグマ・マレーグマなど7種が...