地図投影の一種。正角円筒図法。経線は平行直線で、その間隔は標準緯線弧長と等しい正距にする。緯線はそれと直交する平行直線で、間隔は緯度が高くなるほど広がり、極は無限遠になり表されない。地図上の任意の直線は地球上の航程線(地球上で方位が一定の線)を表し、すべての経線との交角が等しく、その交角は地球上の方位角を正しく表す。この性質から航海用の海図に用いるように国際的に指定されている。これとよく混同される心射円筒図法は、正角図法でなく航程線も直線に表されない。オランダのメルカトルが1569年に刊行した世界全図の名声が高かったためメルカトル図法と命名されているが、1511年にドイツのエッラーブErhard Etzlaub(1460―1532)作成の地方図に同じ図法の経緯線目盛があった。メルカトルは図解的に作図したが、その理論は1599年にイギリスのライトEdward Wright(1558―1615)が発表した。
[金澤 敬]
出典 ブリタニカ国際大百科事典 小項目事典ブリタニカ国際大百科事典 小項目事典について 情報
Mercatorʼs projection
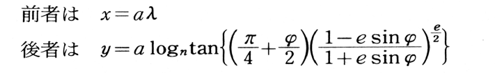
1569年G.Mercatorの考案による正角円筒図法。経線は等間隔の平行直線,緯線は赤道から両極にいくほど間隔の広がる平行直線からなる。いま地球半径をR, 経度差をλとすると,2経線の間隔はx=Rλ,また緯度ϕの緯線が赤道から隔たる距離はy=R logntan(π/4+ϕ/2)で表される。さらに地球を回転楕円体(赤道半径a, 子午線楕円の離心率e)として扱う場合,
となる。この図法は正角であるだけでなく,等角航路(航程線)が図上常に直線で表されるため,海図の図法として欠くことができない。
執筆者:羽田野 正隆
出典 平凡社「最新 地学事典」最新 地学事典について 情報
出典 株式会社平凡社百科事典マイペディアについて 情報
…また,面積,角度,距離のいずれかの条件を正しく表示するため,古来,数々の投影法がくふうされており,それぞれ正積図法,正角図法,正距図法などと呼ばれている。またその図法を考案した人の名前を冠して,たとえばランベルト(ランバート)正角円錐図法,メルカトル図法(正角円筒図法)などと呼ぶことも多い。 正積図法の地図は,国や大陸などの面積を比較するのに都合がよく,分布図や密度図などを作成する場合の基図となる。…
…本名はクレメルGerhard Kremer,メルカトルはラテン名。1569年に出版した世界地図に用いた正角円筒図法が羅針盤航海に好都合なことから,メルカトル図法Mercator’s projectionとして今日に至るまで世界的に高い評価を得ている。ルーバン大学を1530年に卒業後,34年ルーバンに店を開き,パレスティナの地図やフランドルの地図を作成した。…
※「メルカトル図法」について言及している用語解説の一部を掲載しています。
出典|株式会社平凡社「世界大百科事典(旧版)」
弾力。復元力。また、病気などからの回復力。強靱きょうじんさ。リジリエンス。...