翻訳|lens
ガラス,結晶,プラスチックなどの透明物体の両面を凸または凹の球面に研磨したものをレンズという。特別な場合1面が平面のものもある。中央部が縁よりも厚いものを凸レンズ,その反対に中央部が縁よりも薄いものを凹レンズという。前者には光を集める性質,後者には発散させる性質がある。
レンズの語源は人類最古の栽培植物の一つであるヒラマメ(レンズマメともいう。ラテン名lens)に由来する。これは直径5mm前後の,両側が膨らんだ丸く平たい形をしていて,凸レンズの形がこれに似ているためである。英語のレンズのほか,ドイツ語のリンゼLinse,フランス語のランティーユlentilleとも共通のラテン語から派生している。
レンズの最初の用途は,太陽の光を集めて火をつける火とりガラスと拡大鏡であったと推測されている。前者についてはギリシアのアリストファネスの喜劇《雲》にその記述がある。一方,後者については,拡大鏡に使われたらしい出土品は多いが,その決め手になる記述は見いだされていない。凸レンズの拡大作用に関する最初の記述は11世紀のアラビアのイブン・アルハイサム(アルハーゼン)の光学書においてであり,これが中世のヨーロッパに伝えられて拡大鏡や老眼鏡の発明を触発したとされている。1280年ころにイタリアにおいて老眼鏡が作られ始め,その後1430年から40年にかけて近視眼用に凹レンズが使われるようになった。当時の眼鏡レンズはほとんどすべて透明な鉱石,とくに水晶や緑柱石(ドイツ語でBeryll)を材料にした高価なもので,ドイツ語で眼鏡をブリレBrilleと呼ぶのはそのなごりである。
その後,顕微鏡(ヤンセン父子,H. リッペルヘイ,1590-1609ころ),望遠鏡(リッペルヘイ,1608ころ),色消しレンズ(J. ドロンド,1758ころ)などの発明を経て,さらに19世紀以降の各種光学ガラスの製造,レンズ設計法の確立とあいまって,現代の複雑で高性能のレンズの出現へと発展してきた。
→光学
もっとも単純なレンズは,初めに述べた1枚のレンズで単レンズと呼ばれ,眼鏡や虫眼鏡に用いられる。その両球面の曲率中心を結ぶ線は光軸と呼ばれる。顕微鏡,望遠鏡,カメラなどのように,収差が少なく,明るくかつ広い視野にわたって良質の像を必要とする場合には,何枚かの単レンズを光軸を一致させて配置した複雑な構成のレンズ(共軸球面系という)を用い,これを複合レンズとか組合せレンズという。構成要素の一部に反射鏡を含んだ場合(カタディオプトリック系)や球面以外の曲面を用いる場合もある。レンズの個数の多少や反射性,屈折性の違い,非球面の導入といった細部にこだわらず,広くレンズと同じ働きをするものを光学系と総称する。
レンズによる像は,レンズの収差によるぼけ,色づき,歪みなど,および光の波動性(回折)によるぼけなどのために,物体の忠実な再現ではない。しかし,光軸のまわりのきわめて狭い空間の内部では,回折の影響を無視すると,その中にある光線に対しては,球面への入射角の正弦が入射角に等しいとして屈折の法則を近似式に置き代えて適用できるため,物空間の1点(物点)を発しレンズを通過したすべての光線は再び1点で交わる。この点を像点という。つまり像点は鮮鋭でぼけることがない。このような空間の領域を近軸域,その中にある光線を近軸光線という。近軸光線による結像の理論を以下に述べる。
厚さを無視できる薄い単レンズを考え,光軸に平行な平行光線を物体側から入射させると,レンズを通過した光線,あるいはその逆向きの延長線が光軸上の1点を通る。この点をレンズの後側焦点といい,レンズの中心から後側焦点までの距離f′を後側焦点距離という(図1)。平行光線を逆向きに入射させれば,後側焦点の反対側に前側焦点を定義できる。レンズから前側焦点までの距離fは前側焦点距離である。レンズをはさんで,物体側と像側の媒質の屈折率が等しい場合にはf=-f′が成り立ち,単に焦点といった場合は後側焦点を指すのがふつうである。凸レンズはf′>0で正のレンズとか収束レンズと呼ばれ,レンズの光軸に平行に入射した光線は後側焦点を通る。一方,凹レンズはf′<0で負のレンズとか発散レンズと呼ばれ,レンズ通過後の光線と逆向きに延長させると焦点を通る。
レンズから有限の位置にある物点の像は,上の事実を用いて作図によって求めることができる。すなわち,物点を発して,(1)前側焦点を通る光線はレンズを通過後光軸に平行に進む,(2)光軸に平行な光線はレンズを通過後後側焦点を通る,(3)レンズの中心に向かう光線はレンズによっても方向を曲げられずまっすぐに進むという三つの性質を利用すればよい。レンズ通過後の光線が収束して1点に集まる場合は実像,光線が発散してその逆向きの延長が1点を通る場合は虚像である。実像の位置にフィルムを置けば像が記録されるが,虚像の位置では何も記録されない。光線逆進の原理により物点と像点を交換することができる。これを物点と像点とが共役であるといい,このような点を共役点と呼ぶ。また,物体と像の上下が同じ場合を正立,逆の場合を倒立という。
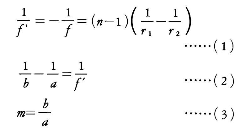
薄い単レンズの両面の曲率半径をr1とr2,両側の媒質に対するレンズの屈折率をnとし,レンズから光軸に沿って測った物体および像までの距離をそれぞれaとb,物体と像の光軸からの高さをyとy′,横倍率m=y′/yとすると,結像の公式は(1)~(3)で与えられる(図1)。
ただし,距離はいずれもレンズの中心から測り,光線の向きを正とする。またmの正負はそれぞれ像の正立と倒立に対応している。物点が無限遠にある場合には,レンズに入射する平行光線が光軸となす傾角をθとして,像の高さy′は,
y′=-f′tanθ ……(4)
で与えられる。
このように同じレンズでも物点の位置により実像と虚像,正立と倒立などいろいろの像ができることがわかる。また,光軸に垂直な平面は同じく光軸に垂直な平面に結像し,像面上の図形は物体面の図形と相似になるが,この相似性は像の虚実,正立・倒立の区別なく成り立つ。ただし,ガラスをはじめすべての光学材料の屈折率は光の波長によって異なる値をもつ(光分散)ため,以上の議論は同一波長の単色光を用いた場合に限って成り立つ。
厚いレンズや複数個の単レンズを組み合わせた複合レンズの場合にも,軸上無限遠物点に対する像点を焦点という。その焦点距離は,無限遠にある物体に対してこのレンズが作る像と同じ大きさの像を生ずる薄い単レンズを考え,その単レンズの焦点距離をもって定義する。前側焦点と後側焦点からレンズに向かって,それぞれ前側および後側焦点距離だけ離れた点を前側主点および後側主点といい,物点と像点の位置を前側および後側主点から測れば,式(1)~(4)は厚いレンズや複合レンズに対しても成り立つ。前側主点と後側主点とは互いに共役で横倍率は1である。主点を通って光軸に垂直な平面を主平面という。薄い単レンズの場合にならって作図によって像を求める場合には,(1)光軸に平行な入射光線は二つの主平面において高さを変えることなく後側焦点F′を通るように屈折する,(2)前側焦点Fを通る入射光線は二つの主平面において高さを変えることなく光軸に平行な射出光線となるとすればよい(図2)。
共役点の一方に入射し他方から射出する光線の,光軸に対する傾き角uとu′の比u′/uをその共役点の角倍率という。角倍率が+1である共役点の組を節点,節点を通り光軸に垂直な平面を節平面という。前側節点に入射した光線はレンズを通過後,後側節点から入射光線に平行に射出する。この性質は像を求める作図に利用されるが,物体側と像側の媒質の屈折率が等しい場合には,主点と節点とは一致する。焦点,主点および節点をレンズの主要点といい,物体側と像側を合計して主要点は6個あることになる。6定点の位置はレンズの形や配置から計算によって求められる。なお,以上の取扱いは無焦点系(平行平面ガラスや度なしの眼鏡レンズ,複雑なものでは望遠鏡),には適用できない。
物体側と像側とでレンズの媒質に対する屈折率が異なる場合は,それをnとn′として,f=-(n/n′)f′およびHN=H′N′=(1-n/n′)f′が成り立つ。ここにHとH′およびNとN′はそれぞれ前側および後側の主点と節点の位置を表す。このとき無限遠物体に対する像の大きさy′は(4)式と同じようにy′=-fEtanθで与えられる。ここにfEは後側節点と後側焦点の間の距離である。
屈折率の波長依存性すなわち分散により,近軸像点の位置や横倍率に波長による差を生じ,像がぼけたり色づいたりする。これを色収差という。焦点の位置による色収差を縦の色収差,焦点距離の差による倍率の色収差を横の色収差という。少なくとも二つの波長の光に対して焦点距離を等しくして横の色収差を補正したものを色消しレンズといい,これを実現するには分散の異なる,少なくとも2種類のガラスから作った2枚のレンズを組み合わせることが必要である。色消しレンズのうち,二つの波長の光に対して色収差を補正したものをアクロマート,三つの波長の光に対して補正したものをアポクロマートという。
光線が大傾角でレンズに入射する場合には,近軸の近似が成り立たず,1点から出てレンズに入射した光線は,レンズを射出後再び1点に収束せず,ある広がりをもって像面に散らばる。この現象を(単色)収差という。共軸球面系にあっては,光軸のまわりの対称性から,収差は球面収差,コマ収差,非点収差,像面の湾曲および歪曲の五つに分類できる。球面収差とコマ収差を実用上十分に補正したレンズをアプラナート,さらに非点収差,像面湾曲を含めた四つの収差を実用上十分に補正したレンズをアナスティグマートという。
有限の直径をもった単レンズには収差が必ず残存する。レンズの枚数を増してその形や間隔,光学材料などを適当に選ぶことにより,与えられた明るさと画角の中で収差を減らしたりバランスさせて,実用に支障のないレンズを作るのがレンズ設計である。そのために光線追跡を行う。これは,屈折面ごとに屈折の法則を厳密に適用することによって,光線の光路を克明にたどり,1点を出て種々の経路をとった光線の像面における到達点を求めて収差を算出する方法である。こうして求める収差が許容できる限り小さくなるように,電子計算機を用いて最適化を図るのがレンズ設計の実際である。
→収差
レンズの多くは実像を作る配置で用いられる。顕微鏡や望遠鏡の対物レンズによる拡大または縮小した空中像,投影レンズによるスクリーン面への投影,写真レンズによるフィルム面への記録などである。しかし一部には拡大鏡や接眼レンズのように拡大した虚像を作ってその像を目の網膜に結ばせるものもある。レンズの結像性能を表す量に解像力や分解能がある。前者は等間隔白黒縞のテストチャートの実像を作り,その明暗を識別できる限界を,1mm当りに含まれる白と黒の組の数(空間周波数という)で表示する。写真レンズや写真感光材料の細部再現能力の表示に用いられる。分解能は等しい明るさの2本の線を分離して観察できる限界のことで,その限界距離や角度で表される。回折による理論値との比較が容易なため,望遠鏡や顕微鏡のような,収差がよく補正された光学系の評価に利用されることが多い。解像力や分解能は,目によって識別できる最小の明暗差から求められる。そのため個人差や再現性に不確かさがあり,また解像限界よりも粗い明暗構造の物体に対する再現能力を表現していない。この欠点を補うものとして,光学的伝達関数が用いられる。これは横軸に正弦波チャートの空間周波数,縦軸に光電的に測ったその像のコントラストをとったもので,レンズの結像性能を表示する客観的な量であるばかりでなく,多くのプロセスからなる結像系,例えばテレビの場合,撮影用テレビカメラのレンズから受像機でスクリーン面を観察する目の特性にいたるまでを記述したり評価するのに有用である。なお,光学伝達関数が0になる空間周波数が解像力,または分解能の逆数を与える。
→分解能
レンズの直径(厳密には無限遠に対する入射瞳の直径)と焦点距離の比を口径比といい,その逆数をF数という。レンズによる,有限な広がりをもつ物体の実像の照度はF数の2乗に逆比例する。一方,点光源の回折像の中心強度は,無収差レンズの場合,レンズの直径の4乗に比例し,大口径天体望遠鏡のように大気の揺動によって星像の広がりが制限される場合には直径の2乗に比例する。天体観測用に大口径レンズが必要な理由はここにある。
レンズを使用できる波長範囲は光学材料が透明である波長域できまる。水晶で0.18~5μm,蛍石で0.125~9.5μm,ガラスは組成によるがおよそ0.35~2.5μm,赤外域用では岩塩で0.2~20μm,ガラス中の酸素イオンを硫黄,セレン,テルルなどに置換したカルコーゲンガラスでは,赤外透過域はそれぞれ10μm,20μm,30μmまで延びている。これらの波長域を外れた紫外および赤外域における結像には,反射鏡やゾーンプレートなどが用いられる。
レンズ枚数の多い複雑な光学系では,表面からの光の反射(ガラスの場合垂直入射光に対し1面につき約4%の反射率)により透過光が減少したり,偶数回反射した光が像面をほぼ一様に覆って本来の像のコントラストを低下させたり(フレア),明るい光源によるゴーストが像面に現れたりする。これを防止するために,レンズ表面にフッ化マグネシウムなどの透明な誘電体薄膜を真空中で蒸着することが行われる。薄膜の空気に接する面とガラスに接する面とから反射する光(可視域のほぼ中央波長の光)どうしが干渉して打ち消し合うように薄膜の厚さを選んだ単層反射防止膜のほか,屈折率の異なる薄膜を交互に蒸着した多層膜も用いられ,後者では広い波長域で反射防止効果をもたせることができる。可視の全域で平均して,単層膜による反射率は1.0~1.4%,多層膜ではその1/3以下と考えてよい。これにより,ズームレンズのように,10枚以上の単レンズを用いた複合レンズでも,十分に鮮鋭な画像を得ることができる。
レンズ作用の強さを表す量に屈折力がある。これは焦点距離をメートル単位で表してその逆数をとったもので,単位はジオプトリーである。薄い単レンズを2枚重ねたときの屈折力は両者の屈折力の和である。眼鏡レンズの場合は頂点屈折力を使う。これはレンズの後面(後側頂点)から焦点までの距離の逆数である。
焦点距離の短い凸レンズによって小物体の拡大した虚像を作り目で観察する。これを拡大鏡またはルーペという。拡大率は1+250/f′で与えられる(f′の単位はmm)。拡大率5以下の場合は単レンズ,5~10倍では色消しダブレットを用いる。望遠鏡や顕微鏡において,対物レンズによる空中像を拡大して観察するレンズを接眼レンズといい,空中像の近くにあって光線をルーペに導き広い視野をうる凸レンズ(視野レンズ)とルーペの合成系である。
遠視や老視用に正のメニスカスレンズ,近視用に負のメニスカスレンズが用いられる。いずれも,視線を動かしても良質の像が得られるように,非点収差を重点的に除去してある。乱視矯正用には1面がトーリック面のメニスカスレンズを用いる。
→眼鏡
望遠鏡対物レンズと顕微鏡対物レンズがある。前者は2枚ないし3枚の分散の異なる単レンズを組み合わせて,色収差と球面収差を補正し,部分的にコマ収差も補正したレンズ。2枚のレンズを組み合わせて色収差と球面収差を補正したものを色消しダブレットという。これと接眼レンズを組み合わせて望遠鏡を構成する。
顕微鏡対物レンズは微小な物体の4~100倍の拡大像を作るレンズで,接眼レンズと組み合わせて顕微鏡を構成する。色収差,球面収差およびコマ収差がよく補正され,光軸上およびその近傍で実用的には無収差となっている。
カメラと組み合わせて被写体の実像を写真フィルムに記録するレンズ。明るく(小さいF数)画角が大きいのが特徴である。ここに画角とはレンズ(厳密にはその前側節点)から光軸を中心にして物体を見込む角度である。暗い被写体を手ごろなシャッター速度で撮影する必要から明るいレンズが求められ,しかも全画面にわたり平均的に鮮鋭な実像を作る必要から,色収差はいうまでもなく前述の5収差が十分に除去されねばならない。そのため現代の写真レンズにおいては,単焦点レンズでは特殊用途のものを除き4~10枚の単レンズを組み合わせた複合レンズが用いられ,ズームレンズでは10枚から20枚にも達する。
写真レンズの解像力はフィルムの解像力や引伸し倍率,テレビ用の場合は走査線の数などを考慮して決められ,一般に絞り開放時よりもいくぶん絞り込んだほうが解像力が向上する。フィルム画面の対角線の長さを画角に換算した値がほぼ50度のレンズを標準レンズといい,35ミリカメラではその焦点距離が約50mmである。これより焦点距離が長いレンズを望遠レンズ,短いレンズを広角レンズという。
特殊用途の写真レンズとして,航空写真用レンズ(広角レンズで歪曲収差が少ないレンズ),シュミットレンズ(非球面を用い明るく広視野),印刷用レンズ(三色分解の必要からアポクロマート),引伸し用レンズ,ICや超LSI製作用レンズ(単色光に対し,画面上ですべての収差が実用的に0),アナモフィックレンズ(円筒レンズを用い,縦と横の倍率が異なるレンズ,シネマスコープ用)などがある。
→カメラ
顕微鏡やスライドプロジェクターなどに光源からの光を導くレンズでコンデンサーとも呼ばれる。結像に用いるレンズと比較して構成が簡単で加工精度が多少悪くてもよい。物体を一様に照明すると同時に,光源の像が結像レンズの開口全面を覆うような,リレーコンデンサー系やケーラー照明が広く行われている。
特殊なものに灯台の投光器に使うフレネルレンズがある。大きな凸レンズの重量と体積を節約するために,それをいくつかの輪帯状のレンズに分割して図3の色の濃い部分のようにしたもので,もとの凸レンズとほぼ同等の作用をもつ。また,一眼レフカメラのファインダー部のコンデンサーレンズとしてもプラスチックで成形したフレネルレンズが用いられる。
光学系の一部に球面でも平面でもない曲面をもつレンズを非球面レンズという。製作がむずかしいため,反射望遠鏡用回転放物面やシュミットカメラ用補正板のような,高価なものを除けば,精度を要しない眼鏡レンズやコンデンサーなどに使用される場合が多いが,最近では,レンズの小型化と高性能化,それに伴う収差補正上の必要から,写真レンズ用に高精度の非球面が量産されるようになってきている。
結像作用をもつ光ファイバーで,その断面が中心対称の屈折率分布をもち,その値が縁に近づくに従って連続的に減少するもの。レンズとしても用いられる。ファイバーの全長を変えることにより焦点距離を変えることができる。また近年微小レンズが脚光を浴びているが,これは直径が0.1~数mm程度の小さなレンズで,光通信用として半導体レーザーと光ファイバーとの結合をはじめ,分岐,分波などに用いられる。複写機,ファクシミリ,内視鏡などにも用いられる。
まず屈折率が一様で複屈折性をもたない光学ガラスを,レンズの取れる大きさに成形し,次にカーブジェネレーターでダイヤモンド工具を用いてガラス表面を所定の曲率半径に粗ずりする。その表面はすりガラスのようになっていて光を拡散反射するが,これを研磨機によって透明なレンズに仕上げる。研磨は水にといたべんがらや酸化セリウムの微粒子を用いて行われる。表面の形状は,レンズを球面原器に重ねてその隙間に生ずる干渉縞(ニュートンリング)によって光の波長以下の精度で測定される。次に光軸が外径の中心にくるように周囲を削り落とす。この工程を芯取りという。完成した単レンズの表面に反射防止膜をつける。必要に応じて2枚のレンズの凹凸面を同じ曲率半径に仕上げたものを接着して使用する。これらの単レンズは別に作られたレンズの鏡筒に組み込まれて完成レンズとなる。
執筆者:鶴田 匡夫
出典 株式会社平凡社「改訂新版 世界大百科事典」改訂新版 世界大百科事典について 情報
ガラス、プラスチックのような透明体の前後の面を球面に磨いたもの(これを単レンズという)で、球面のかわりに非球面または一方の面を平面にしたものもある。周りの媒質との屈折率の差を利用して光を収束したり発散させたりする性質がある。高級な光学器械では、単レンズを2枚以上組み合わせた複合レンズが用いられる。単レンズ、複合レンズの両者を総称して単にレンズとよぶこともある。以下においては主として単レンズの性質について述べるが、その大部分は複合レンズにも成り立つ。単レンズの前後の面の曲率中心を結ぶ直線のことを、単レンズの光軸または単に軸という。レンズの軸と前後の面との二つの交点の間隔を、レンズの厚さという。
[三宅和夫]
レンズの軸に平行に入射した光線は、レンズを通過したのち直接にまたは逆に延長したとき、軸上の1点で交わる。これを像側焦点(ぞうそくしょうてん)または後側焦点(こうそくしょうてん)という。像側焦点がレンズの後方にあるものを凸レンズ(とつれんず)または正のレンズ、前方にあるものを凹レンズ(おうれんず)または負のレンズという。反対にその点から発散またはその点に収束するようにレンズに入射した光線が、レンズを通過したのち軸に平行に進むとき、この点を物側焦点または前側焦点という。レンズの厚さが十分に薄いレンズのことを薄いレンズまたは薄肉レンズという。厚さが無視できないレンズのことを厚いレンズまたは厚肉レンズという。
薄いレンズの中心から焦点までの距離を焦点距離という。
レンズに関して物体と像の関係にある点は互いに共役であるといい、それらの点の組合せを共役点という。
[三宅和夫]
薄いレンズの中心から、物体および像までの距離をs、s'、像側焦点までの距離をf'とする。このときs、s'、f'はレンズの中心から右方向に測ったときを正とする。

これをレンズの公式という。軸に垂直な物体とその像の長さをy、y'(軸から上方を正、下方を負)とすると、それらの比
を横倍率または単に倍率という()。mの値が負になるとき、像は物体と上下が逆になり倒立像という。横倍率が+1となる物体と像の位置を表す軸上の共役点を主点という。厚肉レンズの場合には、s、s'、f'をレンズの中心からではなく、主点から測れば、(1)および(2)式はそのまま成立する。
[三宅和夫]
前出のレンズの公式が厳密に成立するのは、像をつくるのに使われる光線が光軸と小さな傾きをしていて、物体および像が小さい場合に限られる。このような制限下にある光線のことを近軸光線という。すなわちレンズの公式は、近軸光線を使用して像が生ずる場合にのみ成立する。このような像の生じ方を理想結像という。
[三宅和夫]
使用される光線が近軸光線でなくなると、理想結像からのずれ、すなわち収差が現れる。そのうちもっともよく知られているのが球面収差である。この収差は、軸上の物点から出て軸と種々の傾きをなす光線がレンズを通過後軸上の1点に完全に集まらないことによって生ずる。すなわち1点の像が点とならず、いわゆるボケを生ずる。このほか、軸からすこし外れた物点の像が点とならず、彗星(すいせい)のような光の分布(ボケ)を生ずるコマ収差がある。また、さらに軸から離れた物点に対して、光の収束する位置が1か所でなく前後に離れた2か所になる非点収差、および平らな平面状の物体の像が曲がった曲面となる湾曲収差(像面の曲がり)がある。さらに像面の縁のほうに行くにしたがって顕著となる歪曲(わいきょく)がある。これは像が物体に正確に比例せず歪(ゆが)みを生ずるものである。以上五つの収差は、これを研究した研究者の名を冠して、ザイデルの五収差といわれる。
このほかに、使用するガラスの屈折率が光の波長によって異なるため、像の生ずる位置および倍率が光の波長によって変化する色収差がある。色収差を取り除くことは1枚の単レンズでは不可能であり、複合レンズが用いられる。たとえば、二つの波長の光に対して色収差を除去する(色消しする)には、屈折率の波長に対する変化率(分散)の異なる2種類のガラスを正・負のレンズとして組み合わせる。これをアクロマートという。三つ以上の波長の光に対して色消しされたレンズのことをアポクロマートという。
ザイデルの五収差を全部完全に補正することは不可能であり、実際にはそのレンズの使用目的に応じて必要な程度にまで収差補正が行われる。レンズを設計するとき収差補正は重要な作業であり、最近は電子計算機を使用してレンズの自動設計が行われている。
[三宅和夫]
単レンズは眼鏡レンズとして用いられる。遠視および老眼の人は凸レンズ、近視の人は凹レンズを使用する。乱視は肉眼の非点収差によって生ずるので、これを補正するため円柱レンズ(シリンドリカルレンズ)、または直交する2方向の焦点距離が違っているレンズを用いる。最近はプラスチックでつくったレンズを眼球に密着して装着し、眼鏡として使用するようになった(コンタクトレンズ)。単レンズは虫めがねとしても用いられる。
複合レンズとしては、望遠鏡や顕微鏡の対物レンズおよび接眼レンズがある。望遠鏡の対物レンズは、2枚のレンズを接近してアクロマートにしたものが用いられる。天体望遠鏡のように大型のものは高価となるので、レンズのかわりに反射鏡が用いられる。顕微鏡の対物レンズは小型であるが、高倍率用のものは複雑な構成をしている。接眼レンズは望遠鏡のものも顕微鏡のものもほぼ同様で、2枚の単レンズを離しておいて色消しレンズになっている。
写真レンズは、すべての収差を使用目的に差し支えない程度にまで互いにバランスして補正されている。そのため数枚、場合によっては10枚を超えるレンズからなっている。最近はズームレンズとよばれるレンズの一部分を動かすと、像の大きさは変化するが像の位置は変わらないレンズが用いられるようになった。
[三宅和夫]
レンズの性能を示す量としては、焦点距離、明るさ、解像力などが用いられる。焦点距離のかわりに、その逆数の屈折力という量が用いられることがある。屈折力の単位は、焦点距離をメートルで表した数値の逆数をとり、ジオプターとよぶ。掛け眼鏡レンズの屈折力を表すのに用いられる。
明るさを表すには、望遠鏡の対物レンズでは、レンズの直径を表す数値が用いられることもあるが、写真レンズと同様に、焦点距離とレンズの有効径との比Fナンバーが用いられる。Fナンバーが小さいほど明るくなる。顕微鏡対物レンズでは、軸上物点から出て対物レンズの縁に入射する光線が光軸となす角をθ、レンズの前方の媒質の屈折率をnとすると、nsinθなる量が用いられ、開口数とよばれる。
レンズはただ倍率が高ければよいというものでなく、倍率に見合った解像力を有しなければならない。レンズがどのくらい微細な点まで分解するかという能力を表す解像力は、Fナンバーや開口数に関係する。
[三宅和夫]
『中川治平著『レンズ設計工学』(1986・東海大学出版会)』▽『小倉敏布著『写真レンズの基礎と発展』(1995・朝日ソノラマ)』▽『永田信一著『図解 レンズがわかる本』(2002・日本実業出版社)』▽『桑嶋幹著『図解入門 よくわかる最新レンズの基本と仕組み――身近な現象と機器に学ぶ』(2005・秀和システム)』
出典 株式会社平凡社百科事典マイペディアについて 情報
出典 ブリタニカ国際大百科事典 小項目事典ブリタニカ国際大百科事典 小項目事典について 情報
lens ,lenticle ,lentil
岩石中に挟まれる周囲と異なった性質の両凸レンズ状岩体。大きさには制限がない。これが多数平行に並ぶと一種の縞状構造となる。地層(レンズ状層とも),変成岩層,火成岩体,変成岩中の斑状変晶またはその集合体,鉱石,化石密集部などいろいろな場合に用いる。
執筆者:端山 好和
出典 平凡社「最新 地学事典」最新 地学事典について 情報
…回転工具の使用は前2千年紀から確認されており,それによって彫られた形像の末端には小さな球状のくぼみを認めることができる。1cm3にも満たない石の細工にはレンズが必要とされるが,クノッソスに近い墓(前2千年紀前半)から水晶のレンズが出土しており,その使用を例証している。
[メソポタミア]
彫玉の発祥地であるメソポタミアでは前4千年紀後半から円筒印章が作られた。…
※「レンズ」について言及している用語解説の一部を掲載しています。
出典|株式会社平凡社「世界大百科事典(旧版)」
二十四節気の一つで,二至 (夏至,冬至) ,二分 (春分,秋分) として四季の中央におかれた中気。元来,春分は太陰太陽暦の2月中 (2月後半) のことで,太陽の黄経が0°に達した日 (太陽暦の3月 2...