改訂新版 世界大百科事典 「仮想変位の原理」の意味・わかりやすい解説
仮想変位の原理 (かそうへんいのげんり)
principle of virtual displacement
力学の原理の一つ。ニュートンの3法則が一般的な形式に書き直され解析力学として完成する過渡的な段階に現れたもので,それ自体としては質点系あるいは剛体系の平衡の条件を簡潔に述べるものである。番号iで指定される質点の系に対し,それらが互いに力を及ぼしつつ外力の影響下にあるとき,各質点iに働く力をFi,その力のもとで可能な各質点の変位をδxiとすると,これらの力が質点系になす仕事の総和δWがつねに0となる,すなわち,
の条件に合致する各質点の位置xiがこの質点系の平衡位置である。ここで各質点の変位δxiは運動法則とは無関係に与えられた束縛条件に合致する範囲でまったく任意に取り得るものとしており,これを仮想変位と呼んでいる。またそれに対応して(1)のδWは仮想仕事といい,仮想変位の原理は仮想仕事の原理とも呼ばれる。仮想変位すべての成分が互いに独立にとれる,すなわち束縛条件なしの場合,(1)はFi=0,すなわち質点に働く力の各成分が0ということである。とくにFiがポテンシャルから導かれる保存力
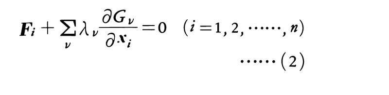
である場合,平衡点はポテンシャル関数U(x1,……,xn)の停留点ということになる。仮想変位の原理が有効なのは束縛条件のある場合にも(1)が一般に正しいことであり,もしある束縛力が仮想変位に対し仕事をしないことがわかっていれば,(1)の条件で考慮の外に置くことができる。束縛条件がGν(x1,……,xn)=0の場合(ホロノームの条件),
によって平衡点と未定係数λνが求められる。その結果,質点iに働く束縛力は
で定まる。
執筆者:長谷川 洋
出典 株式会社平凡社「改訂新版 世界大百科事典」改訂新版 世界大百科事典について 情報

