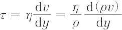
動粘度,運動粘度ともいう.流体の内部抵抗を示す物性で,粘度(粘性率)ηを密度ρで割った値.記号はη/ρまたはν.τをずり応力,dv/dyを速度勾配(vは壁面からy離れた点の流速)とすると,流体の粘性に関するニュートンの法則は,次式で表される.

ρvは単位体積当たりの運動量であるから,η/ρは運動量移動の拡散係数である.動粘度の単位はストークSt(cm2 s-1=10-4 m s-1)で,ストークの1/100をセンチストーク cSt という.
出典 森北出版「化学辞典(第2版)」化学辞典 第2版について 情報
出典 株式会社平凡社百科事典マイペディアについて 情報
出典 ブリタニカ国際大百科事典 小項目事典ブリタニカ国際大百科事典 小項目事典について 情報
coefficient of kinematic viscosity
⇒ 動粘性
出典 平凡社「最新 地学事典」最新 地学事典について 情報
…動粘度(動粘性率)の単位で,記号はSt。1St=1cm2/s=10-4m2/s。…
…
[運動と粘性]
粘性が流体中を運動する物体や管内の流れなどに及ぼす効果は,流体の慣性による力(流体の密度をρ,代表速度をUとするとき,単位面積当りρU2の程度)と,粘性力τ(物体の代表長さをLとするときμU/Lの程度)の比であるレーノルズ数Re=UL/νで定まる。ここでνは粘性率μを密度ρで割ったもので,動粘性率(動粘度)coefficient of kinematic viscosityと呼ばれ,単位はCGS単位系ではストークスSt(1St=1cm2/s),SI単位系ではm2/sである。したがって運動に対してはふつうの粘性率よりも動粘性率のほうが問題になることが多い。…
※「動粘性率」について言及している用語解説の一部を掲載しています。
出典|株式会社平凡社「世界大百科事典(旧版)」
二十四節気の一つで,二至 (夏至,冬至) ,二分 (春分,秋分) として四季の中央におかれた中気。元来,春分は太陰太陽暦の2月中 (2月後半) のことで,太陽の黄経が0°に達した日 (太陽暦の3月 2...