堆積作用(読み)タイセキサヨウ(その他表記)sedimentation

翻訳|sedimentation

精選版 日本国語大辞典 「堆積作用」の意味・読み・例文・類語

たいせき‐さよう【堆積作用】

  1. 〘 名詞 〙 水・風・重力・氷河などによって運搬される岩石の破片や生物の遺骸(いがい)が運搬力の弱まった所に集積すること。特に水中に集積する場合を沈積という。

出典 精選版 日本国語大辞典精選版 日本国語大辞典について 情報 | 凡例

改訂新版 世界大百科事典 「堆積作用」の意味・わかりやすい解説

堆積作用 (たいせきさよう)
sedimentation

地球の表面付近の地殻は風,雨,河川,氷河,波浪,気温変化,生物などの作用によって一部が削剝され,それが運搬され,ある場所に集積して岩石になっていく。この全過程が堆積作用である。すなわち,地殻を構成する物質はまず物理的または化学的に分解される風化作用を受ける。分解された物質は化学的または物理的に運ばれ,ある場所に沈積する。このような過程はそれぞれ運搬作用,沈積作用と呼ばれる。沈積した堆積物はしだいに固結して堆積岩になる。この過程を続成作用という。このような堆積作用の性格や進行の度合は地殻表層部の地形や地質構造の変化,すなわち地殻の構造運動または地殻活動と密接な関係をもっている。地殻活動が活発な地域である造山帯または変動帯と,構造運動が緩慢な地域すなわち安定地域とでは,堆積作用の性格が著しく異なり,対照的な堆積物が形成される。堆積作用はまた生物の作用を大きく受ける。例えば,生物はその生理作用によって水素イオン濃度(pH)や酸化還元電位などの化学的環境を変えて堆積作用に影響を与えたり,生物の活動によって岩石を破壊,浸食し,また堆積粒子を捕捉したり凝集したりする。こうして,堆積作用には物理的・化学的・生物的要因が関連しあって多種多様な性質をもつ堆積物が作られる。

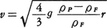
固体粒子が流体中を移動,沈積して静止するまでの過程,または水中に溶けている物質が蒸発作用,バクテリアの作用,化学的環境の変化,温度変化などにより沈殿する現象をいう。流動粒子の沈積と停止(堆積)を示す粒径と流速の関係についてはユルストレームF.HjulströmとスンドボルグÅ. Sundborgのグラフで一般に示される(図)。静水中での粒子の沈降は,ストークスの法則Stokes' lawまたはインパクト則impact law(ニュートンの法則ともいう)に従う。ストークスの法則は粒径0.1~0.001mmの小粒子によく適合し,沈降速度vは次式で表される。ただしgは重力加速度,ηは流体の粘性係数,ρpは粒子の密度,ρfは流体の密度,rは粒子の半径。この場合の粒子の沈降速度は流体の粘性抵抗の影響を受ける。粒径が1mm以上の粒子はインパクト則,すなわちで表される沈降速度に従う。この場合,流体が運動する粒子に与える抵抗は粒子の背後に生じる渦の牽引力によるものである。ただ,これらの法則が成立するのは粒子が完全球の場合で,自然界では千差万別の形状を示す粒子の沈降形式は複雑な軌跡を描き,沈降速度も微妙な影響を被る。粘土やコロイドのように粒径が0.001mm以下の微粒子は,それ自体はブラウン運動を行い沈降しないけれども,電気的に凝集すると大粒子になり,上記法則に従って沈降することになる。こうして,粒径,比重,形状などが不均一な砕屑物は運搬される過程で,おもに粒径によってふるい分けられる分級作用を被ることになる。化学的ならびに生物的沈積作用とは,水中の溶存物質が化学的にまたは生物によって固定されることである。溶存物質は過飽和になれば化学的に沈殿するが,温泉水や地下水にあっては温度降下やpHの変化でも沈殿を生ずる。また,生物が溶存物質を摂取して,その骨格や外殻としてケイ酸,炭酸塩,リン酸塩などを固定する。

乾燥した平坦な地表では毎秒5m以上の風が吹くと砂は移動を始める。浮遊,跳躍,表面匍行(ほこう)などで運搬された砂粒は運搬力が不足すると落下して堆積する。また,跳躍によって移動する粒子が地表面に衝突するとき,表面匍行が少ないと除去量よりも堆積量が増し,付加堆積が進む。こうして砂丘やレスloessが形成される。砂丘では山形地形の風下側斜面において落下堆積となだれを繰り返す侵入堆積によって砂丘は前進する。シルト粒以下の細粒物質は強風によって空中に舞い上がりダストストームをつくる。また,気流によって長距離を運搬され,静穏時に重力によって沈降したり,雨や氷晶とともに地表に落下する。春先に日本でよくみられる黄砂や西アフリカでサハラ砂漠から南西へ吹くハルマッタンharmattanはよい例である。

流動する氷河中に取り込まれて運搬された岩屑は氷がとけることにより,そこに残留する。その堆積物は無分級,無層理で特徴づけられ,ティルtillと呼ばれる。しかし,融氷河流によってこれらの岩屑がさらに運搬されると成層した堆積物がつくられる。

河川の堆積は山麓部と平野部で性格が異なる。山麓部ではひんぱんに流路が変わる網状水路に洪水のたびに砂礫が堆積するとともに,土石流による分級の悪い堆積物の堆積が行われる。平野部では,蛇行河川によって自然堤防とはんらん原が発達し,蛇行流路の移動によって蛇行州または突州が発達する。突州には粗粒な砂が堆積し,洪水によるはんらんで自然堤防には砂やシルトが,はんらん原にははんらん時の浮流によって運搬されたシルトや粘土が堆積する。また,はんらん原である後背湿地には洪水時に自然堤防の一部が決壊し,堤防をつくっていた物質が流入して堤防決壊堆積物が堆積する。

三角州またはデルタとは,河川によって搬出された砂泥が河口付近に堆積してつくられた低平な堆積地形であり,その構成層は前置層,底置層,頂置層の三つの基本的な単位に区分される。河川によって掃流運搬された礫や砂などの粗粒物質は湖水や海水のような静水中に入ると,まず粗い粒子からその安息角(粒状固体物質の塊が,自然につくる斜面の傾斜と水平面のなす最大の角)を保ちながら堆積し,三角州の前置層を形成する。細粒の粒子ほど遠方へ浮流運搬されて,前置斜面の沖合の深い所に沈積し,三角州前面の底部すなわち底置層をつくる。こうして河川からもたらされる掃流・浮流物質は前置斜面を沖合へ前進・成長させ,三角州の成長が進む。同時に,三角州の上面では河川が延長し,そのはんらんにより三角州平野が拡大して頂置層が発達する。したがって三角州の頂置層は河川堆積作用によって特徴づけられる。

波浪作用限界深度である200m以深の深海域の堆積作用は,大陸縁辺域における比較的粗粒な陸源砕屑物質の堆積と,海洋底における大洋性堆積物の堆積に分けることができる。大陸縁辺域の陸源物質は乱泥流によって運び込まれたものである。さらにそれは底層流によって掃流運搬され,よく分級される。大洋性堆積物はさらに軟泥と遠洋性粘土に分けられる。軟泥は動物プランクトンおよび植物プランクトンの遺骸からなり,海洋水中における生物殻の生産量が高い海域に発達する。プランクトンの殻はケイ酸または炭酸カルシウムからなるが,殻の沈降過程で水深の増加に伴い,海水中のケイ酸または炭酸カルシウムの飽和度の低下,温度,圧力などの影響で生物殻は溶ける。とくに炭酸カルシウムではこの傾向が顕著で,水深4000~4500mで完全に溶けてしまい,これより深い海底には炭酸カルシウム殻からなる軟泥は堆積しない。この深度を炭酸カルシウム補償深度という。ケイ質軟泥はこれより深い所でも安定であるが,おもにケイ藻プランクトンの生産量が高い高緯度海域に発達する。遠洋性粘土は大洋中央部の水深4500m以深の海域を特徴づける。このように,深海堆積作用は主としてプランクトンの生産量,水深,緯度,大陸からの距離に規制される。
海底堆積物

宇宙探査の発展で月面や火星面で堆積物の存在が実証された。アポロ計画による月面探査によると,粒径80~250μmの土壌や角礫の発達が知られているが,それらの生成,堆積のエネルギーは隕石の衝突による衝撃エネルギーに求められている。マリナー計画で明らかになった火星面の堆積作用は遠い過去に起きた風や流水の働きが大きかったことが示唆されている。
執筆者:


出典 株式会社平凡社「改訂新版 世界大百科事典」改訂新版 世界大百科事典について 情報

百科事典マイペディア 「堆積作用」の意味・わかりやすい解説

堆積作用【たいせきさよう】

堆積岩の形成にあずかる作用。母岩の風化に始まり,浸食,運搬,ふるい分けされた物質が,最後にある地域に沈積して堆積岩になるが,沈積後の固結・岩石化の過程を続成作用といい,これも含めての全過程をさす。堆積岩の形成には堆積物の母材,風化や浸食の性質,運搬の様式,沈積地域の環境などが複雑に関与し,より根本的要因としては大気,海水の組成,生物界の状態,気候,地殻運動などが考えられる。

出典 株式会社平凡社百科事典マイペディアについて 情報

ブリタニカ国際大百科事典 小項目事典 「堆積作用」の意味・わかりやすい解説

堆積作用
たいせきさよう
sedimentation

流水,風,潮流,氷河などによって運搬された粒子や岩石片が,流速が衰えるなどして運搬しきれなくなった場所に沈んで積ること。また,岩石から地表水あるいは地下水に溶け出した物質が,蒸発,温度変化,バクテリアの作用等によって再び固相として沈殿する現象も含まれる。こうした作用によって堆積物が重なり,続成作用によって堆積岩ができる。

出典 ブリタニカ国際大百科事典 小項目事典ブリタニカ国際大百科事典 小項目事典について 情報

岩石学辞典 「堆積作用」の解説

堆積作用

水,風,氷などによって移動した砕屑物が,最終的に水底または地上に静止する現象.水による物質の溶解析出や生物の作用によって物質が沈澱堆積する現象も堆積作用に含まれる.

出典 朝倉書店岩石学辞典について 情報

世界大百科事典(旧版)内の堆積作用の言及

【沈降】より

…大量の液体中に微小粒子を混合してよくかきまぜ,粒子を液体中に均一に分散させたのち,混合液を容器中で静置すると,粒子の密度が液体の密度より大きければ粒子は重力により底に沈み,容器上方には粒子を含まない上澄み液ができてくる。この現象を沈降といい,気体中の粒子や液滴の場合でも同様である。沈降現象を起こす推進力は重力,粒子と液体との密度差,粒子の大きさなどであるが,このほかに遠心力,静電力を受けた粒子が流体中を移動するのも広い意味で沈降と呼ばれる。…

【川】より


[堆積]
 山間部から盆地や平野に出ると,流水のエネルギー量が減少するため,運搬されてきた物質は粒径の大きい順に河床に沈積していく。これを堆積作用という。粒径の大きい順に沈積していくので,多くの場合,まず砂礫からなる扇状地が形成され,下流側に砂礫質の排水の良い自然堤防と粘土質の低湿な氾濫原とが交互する平野,さらに砂泥質の三角州が形成される。…

※「堆積作用」について言及している用語解説の一部を掲載しています。

出典|株式会社平凡社「世界大百科事典(旧版)」

目次 飼養文化  北アメリカ  北方ユーラシア偶蹄目シカ科の哺乳類。北アメリカでは野生種はカリブーcaribouと呼ばれる。角が雄だけでなく雌にもふつうある。体長130~220cm,尾長7~20cm,...

トナカイの用語解説を読む