k個の文字a1,a2,……,akの和のn乗の展開には次式,
が成立し,これを多項定理といい,
を多項係数と呼ぶ。ただし,Σによる和は,nを負でない整数p1,……,pnの和n=p1+p2+……+pkに分解するすべての場合にわたるものとする。k=2のとき二項定理という。多項定理の応用例を二つあげる。
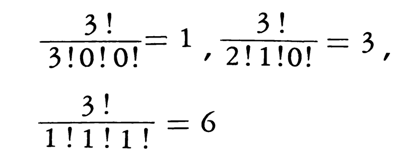
例1 n=3,k=3のとき,
であるから,
(a+b+c)3=a3+b3+c3+3(a2b+a2c+b2a+b2c+c2a+c2b)+6abc
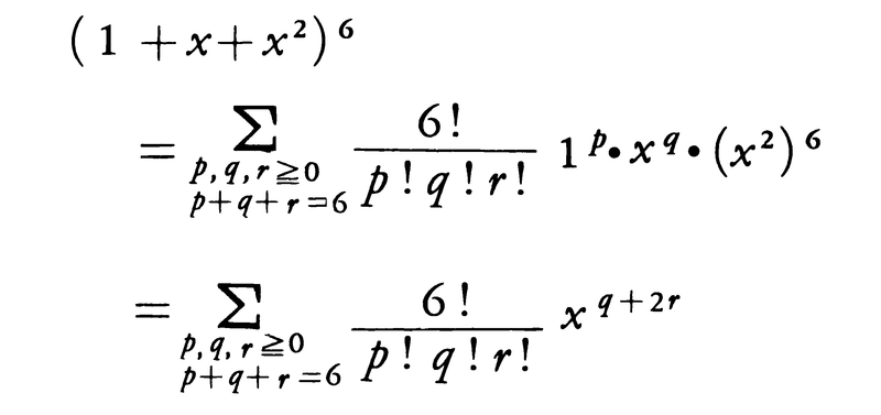
例2 (1+x+x2)6のx4の係数を求める場合には多項定理より,
であるから,
を満たすすべての負でない整数p,q,rについての
の総和が求める係数である。(2)によりq=0,2,4。それぞれの場合(r,p)=(2,4),(1,3),(0,2)ゆえ,よって求める係数は,
すなわち,x4の係数は90である。
執筆者:杉江 徹
出典 株式会社平凡社「改訂新版 世界大百科事典」改訂新版 世界大百科事典について 情報
ここで Σ は,p1 ,p2 ,…,pm が正の整数で,p1+p2+…+pm=n という条件を満足するすべての値についての和をつくることを示す。
出典 ブリタニカ国際大百科事典 小項目事典ブリタニカ国際大百科事典 小項目事典について 情報
出典 株式会社平凡社百科事典マイペディアについて 情報
1 食肉目クマ科の哺乳類の総称。全般に大形で、がっしりした体格をし、足の裏をかかとまで地面につけて歩く。ヨーロッパ・アジア・北アメリカおよび南アメリカ北部に分布し、ホッキョクグマ・マレーグマなど7種が...