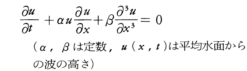
波の荒い日に遠浅の海岸で,単独の高い波の山が沖のほうからかなりの距離にわたってほぼ一定の形で押し寄せてくるのを見ることがある。このようにただ一つの山だけが伝わっていく波を孤立波という。水面を伝わる孤立波に初めて注目して研究したのは,スコットランドの造船技術者ラッセルJohn Scott Russel(1808-82)で(1834),孤立波の研究はそれ以来,多くの人によって続けられてきた。1895年にはオランダのD.J.コルテベークとド・フリースが浅い水の表面を伝わる波の方程式として,
を提案し,このコルテベーク=ド・フリース方程式(KVD方程式ともいう)が孤立波の解をもつことを示した。この方程式は非線形である。多くの場合に波は線形の波動方程式,
を満たすものとしてその性質を説明し予測することができる。しかし,この方程式では近似が不十分で説明のできない現象も少なくない。そのため,コルテベーク=ド・フリースの方程式をはじめいくつかの非線形の波動方程式が考え出された。しかし非線形の方程式は一般に解を求めることが困難な場合が多く,これらの方程式に従う非線形波動の研究が著しく発展したのは,20世紀の後半,電子計算機で非線形方程式を数値的に解くことが容易にできるようになってからのことである。
1966年にN.J.ザブスキーとM.D.クラスカルは計算機による数値実験の結果,コルテベーグ=ド・フリース方程式を満たす波の中にいくつかの鋭い孤立波が現れ,それらが互いにほぼ独立に運動することや,衝突すると互いに相手の中を通り抜けてそのまま進行を続けることなどを見いだし,このような孤立波をソリトンsolitonと名付けた。その後,他の非線形波動方程式においてもソリトンが発生することがわかった。ソリトンは,波が高いほど速い,二つのソリトンが衝突すると重なり合ったのちおのおの完全に元の形に戻って進行を続ける,ソリトンに伴ってエネルギーが一つのかたまりとなって媒質中を伝わるなどの特徴をもっている。ソリトンは流体力学のみならず,固体物理,プラズマ物理,場の理論,電気回路など,さまざまな領域で重要な役割をもつことが明らかになっている。
→波動
執筆者:有山 正孝
出典 株式会社平凡社「改訂新版 世界大百科事典」改訂新版 世界大百科事典について 情報
出典 (財)日本水路協会 海洋情報研究センター海の事典について 情報
出典 株式会社平凡社百科事典マイペディアについて 情報
1 食肉目クマ科の哺乳類の総称。全般に大形で、がっしりした体格をし、足の裏をかかとまで地面につけて歩く。ヨーロッパ・アジア・北アメリカおよび南アメリカ北部に分布し、ホッキョクグマ・マレーグマなど7種が...