慣性力(読み)カンセイリョク(その他表記)force of inertia

デジタル大辞泉 「慣性力」の意味・読み・例文・類語

かんせい‐りょく〔クワンセイ‐〕【慣性力】

慣性系に対して加速度運動をしている座標系の中で、物体運動に現れる見かけ上の力。例えば、カーブを曲がる車の中にいる人を外側に傾けさせる力など。慣性抵抗
ある電力系統において、電力の消費量と発電量の需給バランスが一時的に崩れても、一定時間、もと周波数電圧を維持しようとする性質

出典 小学館デジタル大辞泉について 情報 | 凡例

ブリタニカ国際大百科事典 小項目事典 「慣性力」の意味・わかりやすい解説

慣性力
かんせいりょく
force of inertia

非慣性系での物体の運動方程式を,慣性系でのニュートンの運動方程式と同形に書いたときに,方程式の力の項に含まれる真の力 (他の系との相互作用による力) 以外の力。すなわち,力 f が働いたときに質量 m の物体が得る加速度が慣性系では a ,非慣性系では a' であるとすれば,物体の運動を決める運動方程式は慣性系ではニュートンの運動方程式 maf である。しかし非慣性系では ma'=fma0 となる。ただし a0aa' で,これは慣性系に対する非慣性系の相対加速度を表わす。物体の質量 m に比例する項 -ma0 が見かけの力であって,相対加速度 a0 の種々の場合に応じて以下の名で呼ばれる。慣性系に対し並進加速度 a1 で動く並進加速度系では a0a1 であって,見かけの力 -ma1 を並進慣性力という。慣性系に対し角速度 ω で回転する回転座標系では,見かけの力は3種に分類される。角速度 ω が一定な回転系では,回転軸上にない物体に働く遠心力と回転系に対し動いている物体にだけ働くコリオリの力とがある。角速度の大きさ ω または回転軸の方向が変る回転系では,これら以外の見かけの力として横慣性力がある。

出典 ブリタニカ国際大百科事典 小項目事典ブリタニカ国際大百科事典 小項目事典について 情報

世界大百科事典(旧版)内の慣性力の言及

【運動】より

…このように古典力学の運動方程式はすべて(1)~(3)式から導かれるものといってさしつかえない。回転運動
【相対運動】
 ニュートンの運動方程式(1)~(3)式は慣性系でなりたつと考えているので,これに対して加速運動をしている座標系で運動方程式を同様の形に表した場合,右辺に見かけの力すなわち慣性力が現れる。例えばある慣性系Kに対しξの加速度をもって運動している座標系K′での物体の加速度a′はKではa′+ξになるからm(a′+ξ)=Fがなりたち(右辺の力Fの方は絶対的な意味をもち,座標系の運動によって変わるものでないと考える),これをニュートンの運動方程式の形に書くと,ma′=Fmξとなるから,K′では加速度と逆向きの力-mξが余分に働いていることになる。…

【遠心力】より

…この力を遠心力といい,物体といっしょに同じ角速度で回転している場合のみに感じられる力である。このように遠心力は,回転を静止のようにみなそうとするために感ずる見かけの力で,発車や停車のときに電車内で感ずる見かけの力と同じく,物体の慣性に起因する仮想的な力(慣性力という)の一種である。慣性抵抗【小出 昭一郎】。…

【慣性】より

…これに対してゆれたり回転している場合は,力が作用しなくても加速度を生ずるように見える。この見かけの加速度を生じさせる見かけの力(座標系の加速度をaとすると-ma)のことを慣性力といい,遠心力はその一例である。【小出 昭一郎】。…

【慣性抵抗】より

…この力は加速度系でのみ観測される見かけの力であり,実際に質量mの人が電車に静止し続けるためには力maが必要であるが,これを見かけの力-maとつり合わせるためと考える場合がある。この見かけの力を慣性抵抗ということもあるが,ふつうこちらは慣性力force of inertialということが多い。遠心力も慣性力の一種である。…

【ダランベールの原理】より

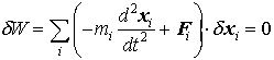
…このことに着目すると,仮想変位δxi(運動方程式に従って生ずる変位とは無関係で束縛条件の許す範囲でまったく任意)に対し仕事をなす力を,とすることにより,運動方程式(1)そのものが導かれることになる。この場合,を質点iに働く力の一種とみなし慣性力または慣性抵抗と呼ぶ。その結果,質点系の運動は各質点に働く慣性力まで含めた力のなす仮想仕事δWの総和が各時刻でつねに0,すなわち,という条件に従うように定まる。…

【力】より

…したがって運動する(厳密には加速運動する)座標系での記述をやはり(1)の形に書き表そうとすると,たとえ力が働いていずF=0であっても,右辺には系の運動に起因する見かけの力が現れる。このような力を慣性力といい,発進する電車の中で乗客の感ずる力,回転系での遠心力,地球上で運動する物体に働くコリオリの力などはこの例である。 古典力学に現れる力で最も重要なのは,すべて質量をもつ物体に働く万有引力であろう。…

※「慣性力」について言及している用語解説の一部を掲載しています。

出典|株式会社平凡社「世界大百科事典(旧版)」

目次 飼養文化  北アメリカ  北方ユーラシア偶蹄目シカ科の哺乳類。北アメリカでは野生種はカリブーcaribouと呼ばれる。角が雄だけでなく雌にもふつうある。体長130~220cm,尾長7~20cm,...

トナカイの用語解説を読む