翻訳|quadrature
古くは,図形の面積や体積を求めることをいい,アルキメデスの研究などがある。17世紀になって微積分学ができてから以後は,微分方程式の解を,代数的演算,変数変換,積分を有限回用いることによって求める方法を求積法というようになった。一般の微分方程式は求積法で解を求めることができない。求積法で解ける微分方程式はむしろ例外といってよい。以下,常微分方程式を使って求積法で解ける形をいくつかあげておこう。
(1)変数分離形dy/dx=p(x)q(y) これは,
の形に解くことができる。
(2)同次形dy/dx=f(y/x) これはy=xuとおいて変数をyからuに変換することにより,変数分離形du/dx=(f(u)-u)/xに帰着できる。
(3)線形dy/dx=p(x)y+q(x) これの一般解は,次式によって与えられる。
(4)ベルヌーイの方程式dy/dx=p(x)y+q(x)yn n=0,1のときは線形である。n≠1のときは,y1⁻n=uとおくとuに関する線形方程式に帰着される。
(5)完全微分形 微分方程式をf(x,y)dx+g(x,y)dy=0の形に書いたとき,条件fy(x,y)=gx(x,y)が成り立つものをいう。このときは関数F(x,y)でFx=f,Fy=gとなるものが存在し,解はF(x,y)=C(Cは定数)の形で与えられる。
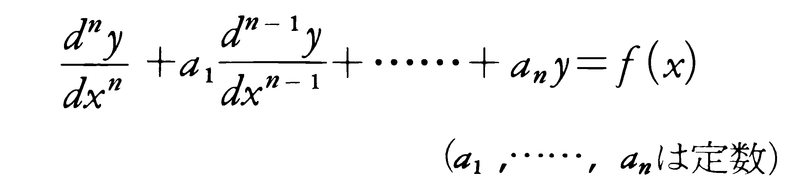
高階の常微分方程式を使って求積法で解けるものはほとんどないが,定数係数の線形方程式,
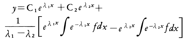
は求積法で解くことができる。n=2,すなわち,
の場合には次のようになる。
二次方程式λ2+a1λ+a2=0の根をλ1,λ2とすると,λ1≠λ2のときは,
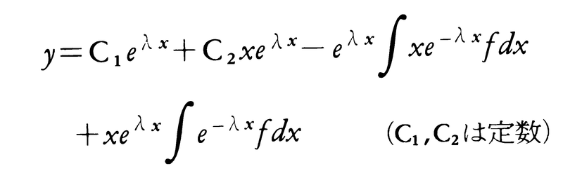
λ1=λ2のときはλ1=λ2=λとおくと,
執筆者:斎藤 利弥
出典 株式会社平凡社「改訂新版 世界大百科事典」改訂新版 世界大百科事典について 情報
出典 株式会社平凡社百科事典マイペディアについて 情報
出典 ブリタニカ国際大百科事典 小項目事典ブリタニカ国際大百科事典 小項目事典について 情報
新暦の 4月後半から 5月の,梅雨前に日本列島が大きな移動性高気圧に覆われたときの晴天。発現期間は短い。もともとは旧暦 5月が梅雨にあたることから,梅雨の晴れ間の意味で,梅雨晴れ(つゆばれ)とも呼ばれ...