化学辞典 第2版 「沈降速度」の解説
沈降速度
チンコウソクド
sedimentation velocity
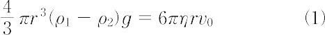
粘性率ηの気体あるいは液体中で,半径r,質量mの球形粒子が沈降するとき,速度vが増大するとともに媒質による抵抗力fはストークスの法則
( f = 6πηrv)
に従い,しだいに増大して重力mgと釣り合うようになる.このときの速度(終速度)を v0 とすれば,

となる.ρ1 および ρ2 はそれぞれ粒子および媒質の密度で,gは重力の加速度である.この関係から,v0 とηを知ればrが求められ,rと v0 とがわかればηが求められる.ρ1 と ρ2 との差が小さい場合や,rが小さいときには v0 は小となり測定困難となるが,この場合でも遠心力によって強制的に沈降させることができる.遠心機の回転軸から粒子までの距離をx,回転の角速度をωとすると,遠心力による加速度は ω2xで与えられるから,式(1)のgのかわりにこれを用い,
v0 = dx/dt
とおけば次の関係が導かれる.

ここで,Mは粒子を1個の分子とみなしたときの分子量でM = mNA,NA はアボガドロ定数,x1,x2 は時刻 t1,t2 における粒子の位置,Vは粒子の部分比体積である.Dは拡散係数で
D = 4πηrNA
で与えられる.また,沈降定数
S = v0/(ω2x)
を用いて,

出典 森北出版「化学辞典(第2版)」化学辞典 第2版について 情報

