翻訳|carbon fiber
炭化繊維carbonized fiberの一種。有機系の繊維を不活性ガス中で炭化した繊維状物質の総称が炭化繊維であり、そのうちで炭化度が90~98%以上という高いものを一般に炭素繊維とよんでいる。
炭素繊維の歴史は、1879年にアメリカのエジソンによって、彼の発明した白熱電球用のフィラメントに用いられたのが最初であるが、その後発明されたタングステン線に追われて姿を消した。新しい材料としての炭素繊維は1960年にアメリカのユニオン・カーバイド社がビスコースレーヨンからの製造方法を開発した。しかし、これは構造材料としてではなく、耐熱材料として用いられた。その後、宇宙開発などのために軽量、超剛性の材質が要求されるようになり、1970年代以降、ポリアクリロニトリル(PAN(パン))繊維を原料とする方法が主流となっている。このPAN系炭素繊維を発明したのは、通商産業省(現、経済産業省)大阪工業技術試験所(現、産業技術総合研究所の前身の一つ)の進藤昭男(しんどうあきお)(1926―2016)らで、1959年(昭和34)であったが、日本でよりもむしろ海外で高く評価された。さらに、石油またはコールタールピッチを原料とするピッチ系の炭素繊維の研究も進んでいる。
[垣内 弘]
まず原料繊維を製造し、これを200ないし300℃の空気中でゆっくり加熱する。PAN系繊維ではこれを前処理、ピッチ系では不融化処理とよぶ。ともに空気による軽い酸化処理であり、酸化によって分子間架橋がおこり耐熱性が向上し、次の焼成工程の際の溶融防止などの役割を果たす。焼成処理で炭化に続いて黒鉛化がおこる。
黒鉛化が十分に進んだ高性能炭素繊維は比重が小さく(PAN系で1.76~1.91、ピッチ系では2.0~2.2)、引張り強さや弾性率が大きい。これらの値をその比重で割り算した比強度や比弾性率が金属に比べて著しく高いことが炭素繊維の特徴である。実際の使用にあたっては、連続繊維はPAN系で直径約7マイクロメートル(μm。1ミリメートルの1000分の1)、ピッチ系で約10マイクロメートルの単繊維(フィラメント)を数千本束ねたヤーン(単糸)の形で供給される。
PAN系は炭素化の収率が40~50%と低いのに対し、ピッチ系は85~90%と高いのが特徴である。また繊維自体についてはピッチ系がPAN系に比べて圧縮強度がすこし低いといわれている。価格は収率の相違などからピッチ系のほうがすこし安価である。
[垣内 弘]
炭素繊維は、その比強度と比弾性率の大きなことが利用されて構造材料用の複合材料の強化材として用いられている。おもにプラスチックとしてエポキシ樹脂との複合化が行われ、各種用途に用いられ、また将来の需要が期待されている。外国では軍用機や航空宇宙機器用器材などに用いられており、日本ではゴルフクラブのカーボンシャフト、テニスラケット、釣り竿(ざお)などに用いられている。日本の炭素繊維は世界一の品質と生産量を誇り、高品質のものを世界各国に提供している。いまのところ価格がやや高いこと、また電気を通すという特徴が欠点となることもある。
[垣内 弘]
『奥田謙介著、高分子学会編『炭素繊維と複合材料』(1988・共立出版)』▽『新機能繊維活用ハンドブック編集委員会編『新機能繊維活用ハンドブック』(1988・工業調査会)』▽『島田将慶著『活性炭素繊維』(1990・冬樹社)』▽『稲垣道夫著『ニューカーボン』(1990・冬樹社)』▽『日本材料科学会編『繊維と材料』(1991・裳華房)』▽『石崎信男著『元素をめぐって3 炭素は七変化』(1993・研成社)』▽『井手文雄著『界面制御と複合材料の設計』(1995・シグマ出版)』▽『本宮達也・梶原莞爾著『ニューフロンティア繊維の世界』(2000・日刊工業新聞社)』▽『村橋久弘ほか編著『連続繊維による補修・補強――炭素繊維・アラミド編』(2000・理工図書)』▽『中岡哲郎編著『戦後日本の技術形成――模倣か創造か』(2002・日本経済評論社)』▽『山根一眞著『メタルカラーの時代5』(小学館文庫)』
有機繊維を不活性気体中で適当な温度で熱処理し,炭化,結晶化させた繊維。19世紀末,T.A.エジソンが白熱電灯のフィラメント用に,綿や亜麻などセルロース系繊維を原料として作った炭素繊維が歴史的に最も古い。宇宙開発のための軽量で高剛性の材料がアメリカで1950年代後半から探索され,UCC社がレーヨンを原料として新しい炭素繊維を開発した。これは構造材料としてではなく,耐熱材料としてロケットやミサイルの先端部やその内張材料に利用されている。この場合,炭素繊維はフェノール樹脂との複合材料として使われている。この炭素繊維は低弾性率炭素繊維(汎用炭素繊維)と呼ばれる。1959年日本でポリアクリロニトリルを原料とする高弾性率炭素繊維が発明された。
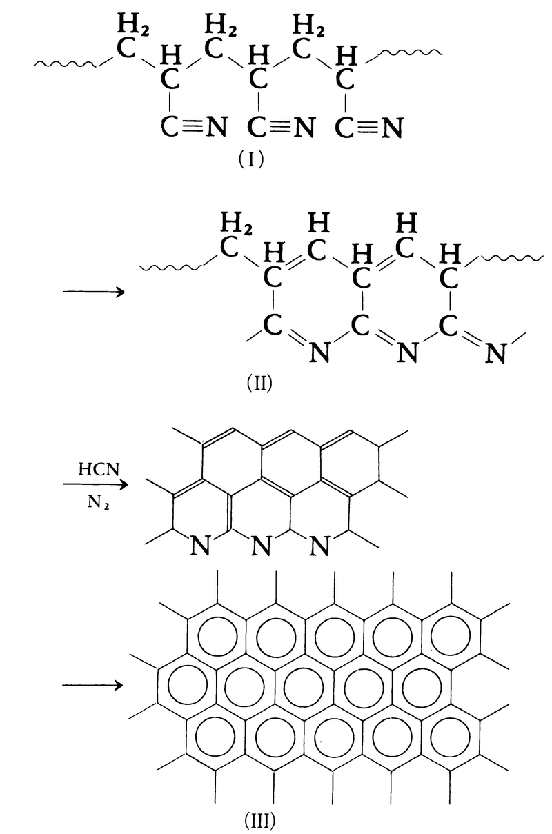
この炭素繊維を樹脂で固めた複合材料はゴルフクラブのシャフト,テニスラケット,釣りざおなど構造材料に多く使用される。最近は航空機の分野にも本格的に使われるようになった。高弾性率高伸度炭素繊維は,強度2.5~5.0GPa,弾性率200~300GPaという高い値をもつ。製法は,ポリアクリロニトリルからできているアクリル繊維(Ⅰ)を加熱して縮合ピリジン環(Ⅱ)を主成分とするポリマーに変え,さらに1500℃くらいの高温での炭素化工程でシアン化水素HCNや窒素N2を放出させて,炭素の基本構造である縮合多環芳香族構造(Ⅲ)を形成させる。
液晶ピッチやポリアクリロニトリルを用いて作られる高弾性率低伸度炭素繊維もあり,おもに構造材料の弾性率補強材や耐熱材料として使用される。ほかに,溶剤の回収材に適用される活性炭素繊維がある。
執筆者:瓜生 敏之
出典 株式会社平凡社「改訂新版 世界大百科事典」改訂新版 世界大百科事典について 情報
セルロース,ポリアクリロニトリル,リグニン,レジナスピッチなどを原料として,不活性気体中で加熱分解してつくる炭素を主成分とした繊維.広義には,炭化繊維ともいう.現在では,炭素から直接に炭素繊維をつくる方法が開発されていないので,上記の原料を紡糸,予備処理,炭化焼成する工程を必要とし,炭化過程の加熱温度により,各種の炭素含有量の物性の異なったものが得られる.大別すると200~500 ℃ までの焼成によったものは耐炎繊維(耐熱質繊維,黒化繊維),800~1800 ℃ のものは91~98% が炭素で,狭義に炭素繊維といわれる.さらに2500~3000 ℃ で黒鉛化したものは98~100% 炭素よりなり,黒鉛繊維といわれる.非酸化条件下では耐薬品性,耐熱性が高い.電気伝導性があり,弾性率のとくに高いものもある.物性に応じて,断熱材,濾過材,吸着剤,複合材の強化材料に用いられる.
出典 森北出版「化学辞典(第2版)」化学辞典 第2版について 情報
出典 株式会社平凡社百科事典マイペディアについて 情報
出典 ブリタニカ国際大百科事典 小項目事典ブリタニカ国際大百科事典 小項目事典について 情報
…不燃・耐熱性に優れ,酸化されないので,熱や電気の絶縁材,ガラス繊維強化プラスチック(FRP)に多く使われる。
[炭素繊維]
1860年にイギリスのJ.W.スワンが紙を炭化して,炭素フィラメント電球を発明,その後硫酸処理した綿糸からも炭素繊維を作ったのが初めで,エジソンの白熱電灯に先立つこと20年前である。工業的規模で製造されるようになったのは1959年で,おもに有機質繊維を加熱焼成し,炭化して製造する。…
…活性炭は,飲料水などの浄水,食品工業その他での脱色などの吸着剤として広く用いられており,各種木材,ヤシ殻,石炭その他を空気を断って600~900℃に熱して炭化してから,塩化亜鉛などの金属塩化物を作用させて賦活してつくる。さらに最近広くつくられまた用いられているものはガラス状炭素と炭素繊維である。前者は有機物の固相熱分解によってつくられる硬質炭素で,外観や破面はガラス状である。…
※「炭素繊維」について言及している用語解説の一部を掲載しています。
出典|株式会社平凡社「世界大百科事典(旧版)」
二十四節気の一つで,二至 (夏至,冬至) ,二分 (春分,秋分) として四季の中央におかれた中気。元来,春分は太陰太陽暦の2月中 (2月後半) のことで,太陽の黄経が0°に達した日 (太陽暦の3月 2...