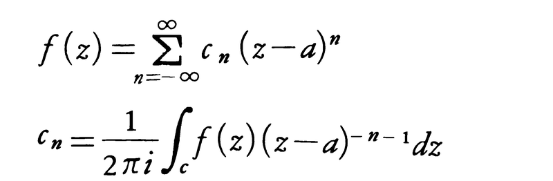
数学ではきわめて広い意味に使われる概念で,曲線,曲面,多様体,関数,微分方程式などが,一般のところに比べて異常な形態を示すところを意味する。関数論においては,関数fが0<|z-a|<rでは1価正則だが|z-a|<rでは正則でないとき,aをfの孤立特異点という。このとき,0<|z-a|<rで,
(cは円周|z-a|r′,(0<r′<r)を正の向きにまわるもの)
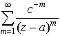
が成り立つ。これをローラン展開という。また,添字が負のもののみの部分,
のことを,ローラン展開の主要部という。主要部が有限項を除いて係数が0のとき,aはfの極という。このときは,
が成り立ち,また1/f(z)はaで正則となり,fの異常性は少ないので,特異点と考えない場合もある。例えば,有理関数においては,分母が0になる点はすべて極である。領域Dで定義されて,各点で正則であるか極であるような関数は,Dで有理型であるというが,このような関数は,極では値が∞であると考えて,正則関数とある程度同じように扱うことができる。次に,主要部の係数で0でないものが無限個存在するときは,aをfの真性特異点という。このときは,zのaへの近づき方によって,f(z)は任意の値に近づきうる(ワイヤーシュトラスの定理)。また,fはaの近傍で,たかだか一つの値を除いて,すべての値を無限回とる(ピカールの定理)。例えばf(z)=e1/zは0に真性特異点をもっている。
やや一般的に,関数fが0<|z-a|<rで正則である(ということのみがわかっている)とき,aをfの孤立特異点と呼ぶ場合もある。そして,なんらかの方法でfが|z-a|<rの正則関数に解析接続されるとき,aを除去可能な特異点という。例えばローラン展開の主要部の係数がすべて0なら除去可能である。また,fが0<|z-a|<rで有界なら,aは除去可能な特異点である。
執筆者:及川 広太郎
出典 株式会社平凡社「改訂新版 世界大百科事典」改訂新版 世界大百科事典について 情報
出典 ブリタニカ国際大百科事典 小項目事典ブリタニカ国際大百科事典 小項目事典について 情報
…f(x,y)の次数がnのときn次曲線という。f(x,y)=0で定義される平面代数曲線c上の点(a,b)は,
のとき特異点と呼ばれる。
のときは正則点と呼ばれる。…
…Xの各点xに対し,{φt(x)|-∞<t<∞}をxを通る軌道という。とくに1点となる軌道を特異点または平衡点といい,閉曲線となる軌道を周期軌道という。力学系の理論では,特異点や周期軌道の存在,t→+∞またはt→-∞のときの軌道の挙動,軌道の大域的状態の小さな摂動による変化などがトポロジーの立場から研究される。…
※「特異点」について言及している用語解説の一部を掲載しています。
出典|株式会社平凡社「世界大百科事典(旧版)」
[名](スル)いくつかの異なった考え方のよいところをとり合わせて、一つにまとめ上げること。「両者の意見を―する」「和洋―」「―案」[類語]混合・混じる・混ざる・混交・雑多・まぜこぜ・ちゃんぽん・交錯...