現在価値 (げんざいかち)
present value
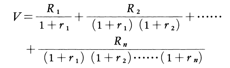
1年後に確実に受け取られる1万1000円は現在における価値に直すといくらに相当するであろうか。このような将来の価値を現在における価値に直したものを現在価値という。現価と略していうこともある。この現在価値を計算するためには,現在,何円もっていれば,1年後に確実に1万1000円を手にすることができるかを考えればよい。たとえば,1年もの定期預金の利子率を10%とすると,現在,1万円を1年定期にしておけば,1年後に1万1000円を手にすることができる。したがって,1年後の確実な1万1000円は現在の価値に直すと1万円に相当する。これから,1年後の確実な1万1000円の現在価値は,11000/(1+利子率)によって求められることがわかる。一般的には,i期(i=1,2,…,n)の期末に確実に受け取られる収入をRi,i期の利子率をriとすれば,Riの現在価値Vはつぎのようにして求められる。

上の式で,利子率riは割引率rate of discountと呼ばれ,Vは割引価値discount valueとも呼ばれる。
以上は,将来の価値が確実である場合の現在価値についてであるが,将来の価値が不確実である場合には,不確実性の程度に応じて割引率が上昇する。
執筆者:岩田 規久男
出典 株式会社平凡社「改訂新版 世界大百科事典」改訂新版 世界大百科事典について 情報
Sponserd by 
現在価値
金融商品を購入検討する際に、現在価値を算定し、実際の価格と比較することも必要です。例えば、1年後に100万円を手にできるとして、金利を1%とした場合、税金や手数料などを考慮しないで計算をする。理論上の現在価値は約990,099円(=100万円÷1.01)となり、仮に実際の価格が990,000円比較をすると、理論価値より実際の価格の方が安いので、購入するには、割安であるといえます。このように、将来の価値から金利などを割り引くことにより、いま手にした場合の価値を導き出すという考え方を現在価値と呼びます。現在株価への換算にはDDMとFCFVの2つの方法があり、各々の算出方法に一長一短があるので注意が必要です。但し、実際の価格は、市場において需給バランスなどによって決定されおり、必ずしも理論価格どおりにはなりません。
出典 株式公開支援専門会社(株)イーコンサルタント株式公開用語辞典について 情報
Sponserd by 
現在価値
・現在価値
・PV present value
・PV=CF1/(1+r)+CF2/(1+r)^2+CF3/(1+r)^3… CFN:N期のキャッシュフロー r:割引率
・将来受取るキャッシュフローが現在の価値ではいくらに相当するか割引率を用いて現在の価値に割戻したもの。割引率とは、将来価値から現在価値を算出するときに使う割合を指す。
・例えば、1年後の110万円(将来価値)を割引率10%で割引くと現在の価値は100万円になる。
・IRR等の投資判断指標において時間軸の異なるキャッシュフローを取り扱う場合に上記式を用いる。IRRで導かれた割引率が資本コスト(資金調達コスト)より高ければ投資すべきであり、低ければ投資すべきでないと判断する。
出典 (株)アクティブアンドカンパニー人材マネジメント用語集について 情報
Sponserd by 
現在価値
将来のキャッシュフローの現時点における価値のこと。たとえば現時点において手元に有している100万円と1年後に手元に入ってくる100万円では、現在持っている100万円の方が価値が高い。将来の価値を現在価値に置きなおす場合には、将来のキャッシュフロー÷ {(1 + 割引率) ^ 年数} で計算される。2年後に手元に入る100万円を割引率5%で現在価値に計算しなおすと、100万円÷ {(1 + 0.05) ^ 2} = 90万7029円となる。
出典 M&A OnlineM&A用語集について 情報
Sponserd by 
現在価値
げんざいかち
present value
割引価値ともいう。割引率 (利子率,資本コストなど) を使って将来に発生する価値を現時点での価値に直したもので,略して現価ともいう。たとえば今年の元日に投資した1万円は,年利 10%とすれば来年の元日には1万 1000円になっているわけであり,裏返せば来年の元日に受取る1万 1000円は,今年の元日の時点では1万円の価値しかないことを意味している。同様に2年後の元日に受取る1万 2100円は,今年の元日の時点では1万円の価値しかない。
出典 ブリタニカ国際大百科事典 小項目事典ブリタニカ国際大百科事典 小項目事典について 情報
Sponserd by 