改訂新版 世界大百科事典 「相関分析」の意味・わかりやすい解説
相関分析 (そうかんぶんせき)
correlation analysis
ある集団の特性が統計的変量としてとらえられるとき,例えば体重と身長の相関とか数学や英語のテスト結果の間の相関というように,相関係数を基本にして多数の変量間の相互依存性を分析する統計手法の総称。因子分析や正準相関分析を含む。
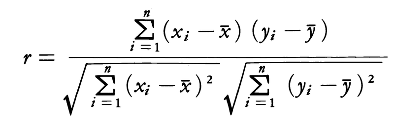
2変量XとYについて,n組の対のデータ(x1,y1),(x2,y2),……,(xn,yn)があるとしよう。一方の変量が相対的に小さい値から大きい値をとるのにつれて他方も同方向に変化するとき正の相関,逆のときは負の相関があるという。この種の関係の強さを表すのにK.ピアソンの定義した相関係数
がよく用いられる。ここで,xとyはそれぞれ変量XとYについての平均。相関係数rは-1から1の値をとる。ちょうど-1または1の値になるのはデータが散布図(データをxy平面上の点としてプロットした図)上で直線上に並ぶときである。散布図を見て全体の分布からとくに外れたデータがあるときは,それが相関係数に大きく影響するので,そのデータを含めたときと含めないときで相関係数がどのくらい違うかを調べるとよい。また,本来は無関係な変量であっても,rが 
ぐらいまでの値はしばしば観察されることを知っておくとよい。なお,データ上の相関が強いことがただちに変量間の因果関係の存在を保証するわけではないことに注意しなければならない。
2組の変量群(X1,X2,……,Xp)と(Y1,Y2,……,Yq)があるとき,それらの一次結合(重みつき和)
U=l1X1+l2X2+……+lpXp
V=m1Y1+m2Y2+……+mqYq
について,UとVの相関係数が最大になるように係数を定めることができる。そのとき,その相関係数を正準相関係数と呼び,このUとVを用いて二つの変量群の関係を総合的に分析する手法を正準相関分析という。味やにおいのような官能特性と化学成分や物理的特性などの間の関係を分析するために用いられる。他に相関構造を追求する統計手法としては〈主成分分析〉と〈因子分析〉の項目を,従属関係を扱う手法としては〈回帰分析〉の項目を参照されたい。
執筆者:吉沢 正
出典 株式会社平凡社「改訂新版 世界大百科事典」改訂新版 世界大百科事典について 情報

