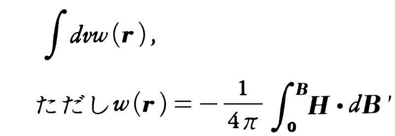
二つの磁石の間にはその間の距離と磁極の配置で定まる力が働いており,それに伴うポテンシャルエネルギーが存在する。これを磁気エネルギーと呼ぶ。例えば反発するような配置の棒磁石を近づけるのには仕事を加える必要があり,力学的エネルギーが磁気エネルギーに変わることになる。電磁気学の考え方では空間の場所ごとにエネルギーが蓄えられるとする。例えば磁場により磁化を誘起する仕事が磁気エネルギーになり,その磁化を生じた場所に蓄えられるとするのである。さらにその磁場をつくるためのエネルギーをも含めて磁気エネルギーを空間の場所で定義する。すなわち位置ベクトルrで指定される場所での磁束密度をB(r),磁場をH(r),体積要素をdvとして,磁気エネルギーは,
で表される(ガウス単位系)。w(r)は,単位体積当りの磁気エネルギー,すなわち磁気エネルギー密度ということになる。
→場
執筆者:吉森 昭夫
出典 株式会社平凡社「改訂新版 世界大百科事典」改訂新版 世界大百科事典について 情報
出典 ブリタニカ国際大百科事典 小項目事典ブリタニカ国際大百科事典 小項目事典について 情報
二十四節気の一つ。元来,太陰太陽暦の 12月節 (12月前半) のことで,太陽の黄経が 285°に達した日 (太陽暦の1月5日か6日) に始り大寒 (1月 20日か 21日) の前日までの約 15日間...