デジタル大辞泉
「約分」の意味・読み・例文・類語
出典 小学館デジタル大辞泉について 情報 | 凡例
Sponserd by 
やく‐ぶん【約分】
- 〘 名詞 〙 分数または分数式の分子と分母を、共通な約数で割って、その分数または分数式を簡単にすること。通約。〔数学ニ用ヰル辞ノ英和対訳字書(1889)〕
出典 精選版 日本国語大辞典精選版 日本国語大辞典について 情報 | 凡例
Sponserd by 
約分 (やくぶん)
reduction of fraction
分母分子が整数であるような分数\(\frac{b}{a}\)において,cがa,bの共通因数であれば,分母分子をcで割っても分数の値は変わらない。このように,分数の値を変えずに,分母分子の共通因数を少なくする操作を約分という。例えば\(\frac{16}{18}\)を約分すれば,\(\frac{8}{9}\)が得られる。分母が負のとき,分母分子に-1をかけて,分母を正にするのも約分の一種と考えることもある。約分のできない分数を既約分数という。
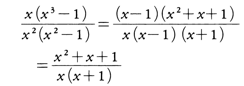
分数式の場合の約分も同様である。例えば,

の2段階はいずれも約分であり,
は既約分数式である。
執筆者:永田 雅宜
出典 株式会社平凡社「改訂新版 世界大百科事典」改訂新版 世界大百科事典について 情報
Sponserd by 
約分
やくぶん
分数があるとき、その分子と分母を、それらの公約数で割って、初めの分数の分子と分母よりそれぞれ小さい分子、分母をもつ分数をつくることをいう。この場合、分子、分母の最大公約数で割ると、もはや約分できない形になる。このような形の分数を既約分数といい、それは分子、分母の最大公約数が1である分数といえる。分数は約分して既約分数に表すのが普通である。
[三輪辰郎]
出典 小学館 日本大百科全書(ニッポニカ)日本大百科全書(ニッポニカ)について 情報 | 凡例
Sponserd by 
約分【やくぶん】
分数の分母,分子を公約数で割って,値を変えないで簡単な形に直すこと。たとえば4/6を2/3にするなど。→通分
出典 株式会社平凡社百科事典マイペディアについて 情報
Sponserd by 