終端速度(読み)シュウタンソクド

化学辞典 第2版 「終端速度」の解説

終端速度
シュウタンソクド
terminal velocity

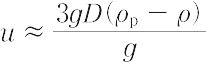
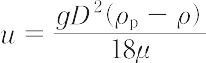
終速度,終末速度ともいう.静止流体中を運動する単一粒子に作用する外力と,流体抵抗とが釣り合った状態にあるときの粒子速度である.直径Dの球形粒子が静止流体中を重力により沈降する場合,沈降が層流状態のとき終端速度uは,

となり,また乱流状態で沈降するときは,

となる.ここで,ρp,ρ,μ,gは,それぞれ粒子の密度,流体の密度,流体の粘度,および重力加速度である.粒子が遠心力の作用を受けて運動するとき,慣性を無視できると仮定できれば,同様に近似的に終端速度を定義できる.

出典 森北出版「化学辞典(第2版)」化学辞典 第2版について 情報

ブリタニカ国際大百科事典 小項目事典 「終端速度」の意味・わかりやすい解説

終端速度
しゅうたんそくど

終速度」のページをご覧ください。

出典 ブリタニカ国際大百科事典 小項目事典ブリタニカ国際大百科事典 小項目事典について 情報

世界大百科事典(旧版)内の終端速度の言及

【落下運動】より

…単純な形の物体では,抵抗力の大きさは速さが小さければ速さに,速さが大きいとそれの2乗にほぼ比例する。落下によって速さが増すにつれて抵抗も増すから,それが重力に等しくなると以後の運動は等速度(終端速度という)になる。地表近くの雨滴などはそうなっている。…

※「終端速度」について言及している用語解説の一部を掲載しています。

出典|株式会社平凡社「世界大百科事典(旧版)」

1 食肉目クマ科の哺乳類の総称。全般に大形で、がっしりした体格をし、足の裏をかかとまで地面につけて歩く。ヨーロッパ・アジア・北アメリカおよび南アメリカ北部に分布し、ホッキョクグマ・マレーグマなど7種が...

熊の用語解説を読む