(読み)イロ(その他表記)color

翻訳|color

デジタル大辞泉 「色」の意味・読み・例文・類語

いろ【色】

[名]

㋐光の波長の違い(色相)によって目の受ける種々の感じ。原色のほか、それらの中間色があり、また、明るさ(明度)や鮮やかさ(彩度)によっても異なって感じる。色彩。「が薄い」「暗い」「落ち着いた
㋑染料。絵の具。「を塗る」「がさめる」
㋒印刷・写真で、白・黒以外の色彩。「刷り」
人の肌の色。人の顔の色つや。「抜けるようにの白い人」

㋐表情としての顔色。「驚きのが見える」「不満がに出る」
㋑目つき。目の光。「目のを変えて怒りだす」

㋐それらしい態度・そぶり。「反省のが見られない」
㋑それらしく感じられる趣・気配。「秋のの感じられる昨今」「敗北のが濃い」
㋒愛想。「よい返事」
(「種」とも書く)種類。「とりどり」「選び出す」
華やかさ。華美。「大会にをそえる」
音・声などの響き。調子。「琴の」「こわ

㋐情事。色事。「を好む」「に溺れる」
㋑女性の美しい容貌。「に迷う」
㋒情人。恋人。いい人。「をつくる」
古代・中世、位階によって定められた衣服の色。特に、禁色きんじき
「昔、公おぼして使う給ふ女の、―許されたるありけり」〈伊勢・六五〉
10 喪服のねずみ色。にび色。
「女房なども、かの御形見の―変へぬもあり」〈・幻〉
11 婚礼や葬式のとき上に着る白衣。
「葬礼に―を着て供して見せ」〈浄・博多小女郎
12 人情。情愛。
東人あづまうどは…げには心の―なく、情おくれ」〈徒然・一四一〉
[形動ナリ]
女性の髪などがつややかで美しいさま。
「髪、―に、こまごまとうるはしう」〈・二〇〇〉
好色なさま。
「この宮の、いとさわがしきまで―におはしますなれば」〈・浮舟〉
[類語](1色彩色調色相しきそう色合い色目いろめ彩りあや彩色カラー/(8㋒)恋人愛人情人彼氏彼女いい人思い人思い者情夫間夫間男色男男妾若い燕情婦手掛け二号側室側女そばめ愛妾囲い者思い者内妻色女手つき一夜妻ボーイフレンドガールフレンドラバーフィアンセダーリンハニーパートナーアモーレ

しょく【色】[漢字項目]

[音]ショク(漢) シキ(呉) [訓]いろ
学習漢字]2年
〈ショク〉
いろ。「寒色原色染色着色配色白色発色変色
感情の現れた顔の様子。顔いろ。「顔色気色喜色愁色生色難色憂色令色
女性の美しい顔かたち。「国色才色容色
男女間の情欲。セックス。「漁色好色酒色男色だんしょく・なんしょく売色
ものの様子。おもむき。「異色古色秋色出色潤色遜色そんしょく特色敗色暮色国際色
〈シキ〉
いろ。「色感色彩色紙色素色調禁色きんじき金色こんじき彩色
顔いろ。「気色けしき
セックス。「色情色魔色欲
ものの様子。「景色けしき
形に現れた一切のもの。物質的存在。「色界色心色即是空しきそくぜくう
〈いろ〉「色糸色気毛色茶色音色ねいろ旗色
[名のり]しこ

しょく【色】

[接尾]
助数詞。色数いろかずを数えるのに用いる。「三かけ合わせ」「二四の色鉛筆」「三刷り」
名詞に付いて、その様子がみられる、傾向があるなどの意を表す。「郷土豊かな祭り」「対決を強める」

しき【色/拭/織/職】[漢字項目]

〈色〉⇒しょく
〈拭〉⇒しょく
〈織〉⇒しょく
〈職〉⇒しょく

しき【色】

仏語。
五蘊ごうんの一。五感によって認識される、物質や肉体。存在物。もの。
五境の一。目でとらえられるもの。色や形のあるもの。

出典 小学館デジタル大辞泉について 情報 | 凡例

精選版 日本国語大辞典 「色」の意味・読み・例文・類語

いろ【色】

  1. [ 1 ] 〘 名詞 〙
    1. [ 一 ] 物に当たって反射した光線が、その波長の違いで、視覚によって区別されて感じとられるもの。波長の違い(色相)以外に、明るさ(明度)や色付きの強弱(彩度)によっても異なって感じられる。形などと共に、その物の特色を示す視覚的属性の一つ。色彩。
      1. その物の持っている色彩。
        1. [初出の実例]「鉛花弗御(イロもつくろはず)蘭沢(か)も加(そ)ふること無し」(出典:日本書紀(720)雄略七年是歳(前田本訓))
        2. 「雪の伊呂(イロ)を奪ひて咲ける梅の花今盛りなり見む人もがも」(出典:万葉集(8C後)五・八五〇)
      2. ある定められた、衣服の色彩。
        1. (イ) 中古、階級によって定められた、衣服の色。特に、殿上人以上が着用を許された禁色(きんじき)をいう。→色(いろ)許さる
        2. (ロ) ( 天子が諒闇(りょうあん)の喪にこもる「いろ(倚廬)」からかともいう ) 喪服のにび色。
          1. [初出の実例]「宮の御はても過ぎぬれば、世中いろ改まりてころもかへの程などもいまめかしきを」(出典:源氏物語(1001‐14頃)乙女)
        3. (ハ) 近世、婚礼や葬儀の際、近親者が衣服の上に着用した白衣をいう忌み詞。今も全国に広く点在する。
          1. [初出の実例]「irouo(イロヲ) キル〈訳〉喪服を着る」(出典:日葡辞書(1603‐04))
    2. [ 二 ] 物事の表面に現われて、人に何かを感じさせるもの。
      1. 気持によって変化する顔色や表情。また、そぶり。
        1. [初出の実例]「天皇天縦寛仁、慍不色」(出典:続日本紀(797)文武即位前)
        2. 「ゆくりかに寄りきたるけはひにおびえて、おとどいろもなくなりぬ」(出典:源氏物語(1001‐14頃)玉鬘)
      2. 顔だちや姿。特に美しい容姿。
        1. [初出の実例]「止事无(やむことなき)聖人也と云ふとも、色にめでず声に不耽(ふけら)ぬ者は不有じ」(出典:今昔物語集(1120頃か)五)
        2. 「美服をかざりて色(イロ)をつくろい」(出典:人情本・春色辰巳園(1833‐35)後)
      3. はなやかな風情。面白い趣。また、それを添えるもの。
        1. [初出の実例]「いまの世中、色につき、人の心、花になりにけるより、あだなる歌、はかなきことのみいでくれば」(出典:古今和歌集(905‐914)仮名序)
        2. 「『祭過ぎぬれば後の葵不用なり』とて、或人の、御簾(みす)なるをみな取らせられ侍りしが、色もなく覚え侍りしを」(出典:徒然草(1331頃)一三八)
      4. 人情の厚いさま。外に現われる思いやりの気持。情愛。
        1. [初出の実例]「御辺に心ざし深い色を見給へかし」(出典:平家物語(13C前)五)
        2. 「あづま人は、我がかたなれど、げには心の色なく」(出典:徒然草(1331頃)一四一)
      5. それらしく感じられる気配、様子。
        1. [初出の実例]「春の色のいたりいたらぬ里はあらじ咲ける咲かざる花の見ゆらん〈よみ人しらず〉」(出典:古今和歌集(905‐914)春下・九三)
      6. (声、音などの)響き。調子。
        1. [初出の実例]「ナマルト ユウワ スバル ヒロガルノ ホカ、コトバノ irouo(イロヲ) イイチガユル コトナリ」(出典:ロドリゲス日本大文典(1604‐08))
      7. 能楽で、気持をこめて、節(ふし)と詞の中間のように謡う部分。また、修飾的な節まわし。
      8. 浄瑠璃で、詞と地の中間の、詞の要素の多い部分。はなやかな感じを与えたりする。
        1. [初出の実例]「ヲロシ、三重、イロ、ウツリ、ハッハ、ソヲヲとばかりにて」(出典:浮世草子・元祿大平記(1702)二)
      9. 箏で、左手の指で弦を押し、またはゆるがす弾き方。
      10. 蹴鞠で、鞠の回転や速さの具合。
        1. [初出の実例]「かたゐなかの人、まりけるをみて、あのありありといふは、いか成事そととふ。あれは色をみて、わか方へくる時に、人にばいそくせられましきため」(出典:咄本・私可多咄(1671)三)
    3. [ 三 ] 男女の情愛に関する物事。
      1. 中古では多く、「いろ好む」の形で、主として異性にひかれる感情、恋愛の情趣。近世は、もっぱら肉体関係を伴う恋愛。情事。
        1. [初出の実例]「これは色このむといふすきもの」(出典:伊勢物語(10C前)六一)
        2. 「みな親か兄弟のために、苦界の年のうち色を商ひ色(イロ)をつつしみ用心しても」(出典:人情本・春色梅児誉美(1832‐33)後)
      2. 正式の婚姻でなく通じている男女の関係。また、情事の相手。情人。情夫または情婦。
        1. [初出の実例]「伊勢参人の面はしろしろと 事欠の色明星が茶屋」(出典:俳諧・西鶴大矢数(1681)第二九)
        2. 「朝から晩まで情婦(イロ)の側にへばり付てゐる」(出典:浮雲(1887‐89)〈二葉亭四迷〉一)
      3. 遊女。
        1. [初出の実例]「是をごくゐなりと思ふ男は、山州といひ、色などといふてうれしがるなり」(出典:仮名草子・都風俗鑑(1681)四)
      4. 遊里。色里。
        1. [初出の実例]「寄合座敷も色ちかき所をさって」(出典:浮世草子・世間胸算用(1692)二)
    4. [ 四 ] 種類。→[ 三 ]
      1. [初出の実例]「目に見ゆる鳥けだ物、いろをもきらはず殺し食へば」(出典:宇津保物語(970‐999頃)俊蔭)
  2. [ 2 ] 〘 形容動詞ナリ活用 〙
    1. 容貌や姿がはなやかで美しいさま。また、髪の毛がつややかで美しいさま。
      1. [初出の実例]「いろなる娘どもゐなみて」(出典:宇津保物語(970‐999頃)藤原の君)
      2. 「髪、いろにこまごまとうるはしう末も尾花のやうにて丈ばかりなりければ」(出典:枕草子(10C終)二〇〇)
    2. 恋愛の情趣を解するさま。色好みであるさま。
      1. [初出の実例]「越前守色なる人にて、いと興あり、嬉しと思ひて目をくばりて見渡す」(出典:落窪物語(10C後)三)
    3. 風流であるさま。
      1. [初出の実例]「目なれずもあるすまひのさまかなといろなる御心にはをかしくおぼしなさる」(出典:源氏物語(1001‐14頃)総角)
  3. [ 3 ] 〘 造語要素 〙
    1. 情事、遊里などに関するという意を添える。「色駕籠」「色狂い」「色事」「色好み」「色里」「色仕掛け」など。
    2. 調子、様子などの意を添える。「音色(ねいろ)」「声色(こわいろ)」「勝ち色」「負け色」など。
    3. 種類の意を添える。「一色(ひといろ)」「色分け」など。
      1. [初出の実例]「一軒からは、古き傘(からかさ)一本に綿繰(わたくり)ひとつ茶釜ひとつ、かれこれ三色にて銀壱匁借て事すましける」(出典:浮世草子・世間胸算用(1692)一)
      2. 「肴を三色(ミイロ)ばかり持来りて」(出典:人情本・春色梅美婦禰(1841‐42頃)三)

色の語誌

漢語の「色」は「論語‐子罕」の「吾未徳如色者也」にあるように、「色彩」のほか「容色」「情欲」の意味でも用いられるところから、平安朝になって「いろ」が性的情趣の意味を持つようになるのは、漢語の影響と考えられる。恋愛の情趣としての「いろ」は、近世では肉体的な情事やその相手、遊女や遊里の意へと傾いていく。


しき【色】

  1. 〘 名詞 〙 ( 「しき」は「色」の呉音 )
  2. ( [梵語] rūpa の訳語 ) 仏語。
    1. (イ) 五蘊(ごうん)の一つ。物質的存在の総称で、変化し、一定の空間を占有するものを意味する。眼(げん)、耳(に)、鼻、舌、身の五根と色(しき)、声、香、味、触(そく)の五境、および意識の対象となる法処中の色法との十一色を含む。色蘊。〔勝鬘経義疏(611)〕 〔般若心経〕
    2. (ロ) 十二処、十八界の一つ。
    3. (イ) を狭義に用いた語で、五境・六境のなかの色境をいい、眼根の対象。赤・青、明・闇などの顕色と長・短、方・円などの形色とがある。
      1. [初出の実例]「若覓可見理趣者。可見者色」(出典:性霊集‐一〇(1079))
  3. 人、職掌、品物などの種類を漠然と表わす。
    1. [初出の実例]「凡任授官位者。〈略〉其余色。依職掌簿者。並准此」(出典:令義解(718)公式)

いろえいろへ【色】

  1. 〘 名詞 〙 ( 動詞「いろう(色)[ 二 ]」の連用形の名詞化 ) いろどり。美しい飾り。あや。
    1. [初出の実例]「Iroye(イロエ)〈訳〉さまざまな色で彩色された、または描かれたものの比喩。コトバノ iroye(イロエ)〈訳〉文飾、または優しく慎み深く話すための装飾」(出典:日葡辞書(1603‐04))

しょく【色】

  1. [ 1 ] 〘 名詞 〙 光の波長によって、目が区別してうける刺激。いろ。
    1. [初出の実例]「しょくといへる字は、みなしきとよまる。色・職・式・餝・飾・食等、からには、しょく。つしまには、しき也」(出典:名語記(1275)六)
  2. [ 2 ] 〘 接尾語 〙 色数を数えるのに用いる。

出典 精選版 日本国語大辞典精選版 日本国語大辞典について 情報 | 凡例

改訂新版 世界大百科事典 「色」の意味・わかりやすい解説

色 (いろ)
color

私たちは物を見るときその形を知覚するが,黄だとか青だとか,あるいは赤だとかの色も同時に知覚する。このように色とは私たちの目が光に対して感ずる知覚の一つであると表現することができよう。光が目に入る,網膜の視細胞がこの光を吸収する,そして電気的反応が生じて大脳へ送られる,色を知覚する大脳の細胞が興奮する,そして色を感ずる。このようにいうこともできる。つまり色は目の働きによって生ずる。したがって当然のことながら目を閉じると色は見えない。しかし目を開けて光を見ても,もしその目に色を見る仕掛けが組み込まれていないなら色を感ずることはできない。人間でもきわめてまれではあるがそのような目をもつ人がいる。これは杆体(かんたい)一色型色覚異常者と呼ばれ,もちろん例は少ない。しかし正常な人でも,夜の真っ暗なやっと物の形が見えるくらいのところにいると色が見えない。つまり色を知覚させる仕掛けが働かないのである。動物の場合は色を見ることのできる目をもつものは少ないといわれる。身近なものでネコやイヌやウシなど,白黒の世界に生きている。
色覚 →色彩調節

人間は幸いにして色を見ることができるので,色から得ている恩恵は非常に大きい。色を科学的にとらえ,より積極的にこれを活用しようという姿勢が生まれてくるのも当然といえる。赤とか緑とか,あるいは卵色やとき色など,従来からある色の名を使ってある程度色を取り扱うことはできるが,しかしこれはあまり普遍性のあるものとはいえない。例えばこの布をオレンジ色に染めて下さいと頼んでも,オレンジ色にもいろいろあるからどのようなものが仕上がってくるかわからない。人間はほんのわずかの色の違いでも見分けることができる。その弁別能力は驚くべきものであって,光の波長でいうと,わずか2nmの差があれば色の違いを感ずるのである。したがって世の中にある色を何個まで区別できるかというと,それこそ数えきれないくらいといってもよい。だから無数の色を色名だけで表現するのはとても無理なことで,何か別の方法が考えられなければならない。それには色の性質をよく調べることが必要である。

 色の性質を調べるとき,色は光と目の相互作用によって生ずる視知覚であることをよく了解しておかなければならない。〈光そのものには色はついていない〉と書いたのはニュートンであるが,実はこれはたいへん重要な意味をもっており,これ以後,色というのは人間の感覚であるとして,光と色との間に区別がつけられたといえるのである。さてそこで色の性質を調べるには私たち自身が色をよく観察して,そこにある法則性を見つけ出すことから始めなければならない。その法則を活用して色を科学的に定義するということになるのである。

 実際に色を観察し,また実験をしたりすると多くの現象を見つけることができるが,その中できわめて基本的なもの,つまり色知覚の法則と呼ぶことのできるものは次の三つであろう。すなわち,(1)三属性,(2)三色性,(3)反対色性である。それぞれ色を表現するのに使われている色の性質なので,その説明と,それを利用して開発された色の表現法,つまり表色法を以下に紹介しよう。

色には三つの属性があるということで,その三つとは色相,あざやかさ,そして明るさである。色相は赤,黄,緑などで表現するいわゆる色のことである。次にあざやかさであるが,例えば黄色という色相を考えてみよう。同じ黄色でもタンポポやヤマブキの花のようにとてもあざやかな黄色もあるし,白の中にほんの少しの黄が入ったクリーム色のようなあざやかでない黄色もある。したがってあざやかさは色相とは違った色の属性である。また,同じ黄色で,同じあざやかさのものでも,明るい黄と暗い黄など明るさの異なった色がある。つまり明るさというのも色相やあざやかさとは別の属性である。もっとほかに色の性質はないかと注意してみても,それはなさそうである。だから色を正確に表現するには色相とあざやかさと明るさを用いればよいということになる。この原理を使った表色法がマンセル表色系と呼ばれるものである。

色の三属性を利用して世の中の色を表現することができる。例えば色相は黄,あざやかさは中くらい,明るさはやや暗いなどである。しかしこのような簡単な表現だけでは細かい色の違いは表しきれない。そこで色を三つの属性に従って規則正しく配列し,それぞれの色に順番に背番号をつける。これがマンセル表色系の原理で,アメリカの画家マンセルAlbert H.Munsellが1915年に提唱したものである。色の配列法は図1に示すように,まず上下方向に明るさを考える。上のほうへいくと明るく,下のほうは暗い。次に色相はこの明るさの軸を取り囲んで一周するようにとる。この一周というのは,いろいろな色を順番に並べてみると元のところに戻ってくるからである。例えば赤から始めると,だいだい,黄,黄緑,緑,青緑あるいはシアン,青,紫,赤紫あるいはマゼンタ,そしてまた赤に返ってくる。これはだれが並べても同じである。最後にあざやかさは,中心の明るさの軸から外に向けてとる。中心のところがいちばんあざやかでないもの,つまり灰色であるが,そこから出発して外向きにだんだんあざやかになるように配列する。このようにすると中央は灰色つまり無彩色になるが,それの上方向は明るさが増し,下方向は明るさが減るようになっているから,中央の軸のいちばん下はいちばん暗いもの,つまりは黒,いちばん上はいちばん明るいもの,つまりは真っ白ということになる。

ここで明るさについては少し考えておかねばならないことがある。世の中でいちばん明るいものは何かということである。もちろんその物体を照らす照明光を強くしていけば目に入ってくる光の量は増えるからその物体はだんだん明るく見えてくるだろう。しかし,だからといって目に入ってくる光の量だけでその物に感ずる明るさが一義的に決定されるかというと必ずしもそうではない。例えば黒い石炭は夜見ても,また直射日光の下で見てもやはり黒くて暗い色と感ずるし,真っ白の紙の場合は昼見ても夜見てもやはり白くて明るい物体だと感ずる。物の明るさは照明光の強さによるのでなく,その物自体の反射率によって決まってくるという性質がある。これは私たちが,色というものをある物体の属性として考えていることに起因しているのである。小さい穴を通して物を見るように物体に属さない光の見方をすると,光の量が大きくなるといくらでも明るさは大きくなり上限というものがない。物体の色の場合は上限があって,真っ白の紙の面が最高の明るさを与える物体である。したがって色を考える場合には,物体に属する色と属さない色とを区別しなければならない。前者を物体色,後者を光源色あるいは穴を通して見るから開口色と呼んでいる。図1のような色の配列をする場合には物体色を対象としているのか光源色を対象としているのかをはっきりしておかねばならない。マンセル表色系は物体色を取り扱っており,したがって上下方向の明るさには上限があることになる。

物体色の配列の規則がこのように定められたので,次は世の中にあるすべての物体色をこの色空間に並べていき,それぞれに背番号をつければよい。背番号のつけ方は,まず色相については円の一周を10等分にし,図2に示すようにそれぞれR,YR,Y,……,P,RPの記号をつける。RPの次はまたRに戻る。Rは赤,Yは黄,Gは緑,Bは青,そしてPはパープル,つまり赤紫を指す。次に各領域をさらに10等分して,例えば4YR,5YRというように記号をつける。これで色相を100に分け,それぞれに記号をつけたことになる。色相は英語ではヒューhueであるから,これらをH記号という。次は上下方向の明るさである。これは上限を10とし,下限つまりいちばん下を0とする。間は1,2,……のような数字がつき,これが明るさを表す記号である。物体色の明るさはとくに明度と呼ぶが,マンセル表色系ではこれをバリューvalueといいVで表す。あざやかさは彩度,あるいはクロマchromaと呼び,簡略名はCであるが,その値は中心の無彩色を0とし,それから外にいくに従って2,4,……と数字を増やしていく。したがってCの値の大きいほうがあざやかさの高い色であることを表している。このようにマンセル表色系では,物体色をHVCの三つの記号で表すのでHVC表示ともいう。このときHVCを並べて書くとVも数字,Cも数字なのでくぎりが必要であり,そのためV/Cのように間に斜線を入れることにしている。

 さて実際例をHVCで表してみると,例えば女性の唇は7.6R5.5/4.3,ツユクサの花は6.5PB3.4/17.8である。もちろんこれは例であって,人によって,また花によって変わってくるが,ツユクサの場合のCは実に17.8という大きな値であり,とてもあざやかな紫の色ということになる。

マンセル表色系はHVCの三つの記号で色を表すのであるから,例えばこの布をオレンジ色に染めて下さいという漠然とした表現の代りに,5YR4/8の色にお願いしますということができる。もっともこのHVCの値を指定するためには手もとにHVCの背番号をつけた色見本がなければならない。これがマンセル色票と呼ばれるものである。この見本を見て色を定め,それのHVCを染色工場へ伝える。工場のほうでも同じ見本をもっているから指定した色が寸分違わず相手に伝わるということになる。色の測定もこれでできる。例えばいろいろの花の色を書きとめておきたいというような場合,あざやかな青などと書いただけでは物足りない。そこでマンセル色票でその花にもっともよく合う色票をさがす。色票は数に限りがあるからぴったりのものはないかもしれないが,そのときは二つの色票の間のどのあたりにくるのかを頭の中で考えて,つまり内挿してHVCを定める。草花など自然にあるものは色票では作り出せないほどあざやかなものもあるから,この場合は外挿である。ツユクサの花で6.5PBや3.4は内挿の例,またC=17.8は外挿の例である。色を歴史に残すことも可能である。とき色というのは鳥のトキの顔の一部の色であるが,その鳥が少なくなって見る機会がない。こういうとき7.0RP7.5/8.0と記録しておけば,この色は実物がかりに絶滅してもいつまでも残るし,必要なら色票からそれを見ることもできる。

どんな色でも三つの色を適当に混ぜ合わせて作り出せるという性質が三色性である。二つの色だけではどんな色でもというわけにはいかず,しかし四つは不要である。この性質も目の色知覚についてのきわめてたいせつな法則であり,グラスマンの第1法則と呼ばれている。三つの色というのは例えば赤,緑,青であるが,厳密ないい方をすれば互いに独立な三つの色であり,この条件さえ満たしている色ならどのような色でもよい。ここでは赤,緑,青が一般的でわかりやすいので,この三つを採用する。三色性を式で書くと,

 C(C)≡R(R)+G(G)+B(B)となる。左辺のC(C)がいま考えているある一つの色である。( )内は色の性質を表し,その左のCはその色の量を表している。したがってC(C)は(C)という色がCだけあるという意味である。この色が(R)という色をRだけ,(G)をGだけ,そして(B)をBだけ重ね合わせて再現できるというのが上の式の意味である。≡は,左辺と右辺が等しいことを意味するが,あくまで色が等しいということであり,他のもの,例えば光の物理量までが等しいことは意味していない。もっと積極的にいえば,光の物理的性質は違っていても色は同じになりうるといっているのである。このように色だけが等しくなることをメタメリックマッチ,あるいは条件等色と呼んでいる。また(R),(G),(B)の三つの色を原刺激と名付けている。

ここで原刺激を重ね合わせるということについて説明しておかなければならない。これは赤,緑,青の光を出す三つの別々のプロジェクターを使い,同じところに投影して白いスクリーンの上に光を文字どおり重ね合わせて混ぜることである。その面を私たちが見るのであるから,私たちは赤と緑と青の色光が加えられ,混ぜ合わされているのを見ることになる。このような色の混ぜ合せを加法混色という。したがって三色性をもう一度いい直すと,どのような色でも三つの原刺激を加法混色して等色できるということになる。ここで上の式に隠されているたいせつなことを述べておかねばならない。それはRGBなどの量は負となってもよいということであり,さらに代数式と同じように取り扱ってもよいということである。プロジェクターの装置で,ある色の量をマイナスにするというのは物理的には考えられない。プロジェクターで与える光は0か,さもなければ正の量だからである。したがってこれは式の上でのことである。例えばC(C)をシアンの色とする。よく澄んだ彩度の高い青緑の色である。これと等色するには当然青と緑の原刺激を加法混色するが,この操作では色相や明るさは合わせられるが彩度が落ちて等色とはならない。そこでもう一つの原刺激,赤も加えると,これはますます彩度を落とすことになってさらに等色がだめになる。つまりシアンの色は三つの原刺激をプラスで加え合わせてはとても再現できないのである。こういうとき実験室ではどうするかというと,シアンのC(C)のほうに赤を加えてその彩度を落としてしまい,この色に対して青と緑を加えたものを等色させるのである。式で書けば,

 C(C)+R(R)≡G(G)+B(B)移項して

 C(C)≡-R(R)+G(G)+B(B)となり,式の上ではやはり三色性が成り立つことになる。どのような色でも三つの原刺激の加法混色によって再現できるという三色性は,このように負の原刺激を加え合わすという表現を許して初めて完全なものになるのである。三色性はたいへんおもしろい目の性質であるが,この性質を積極的に利用したのがカラーテレビである。カラーテレビのブラウン管の面を虫眼鏡で拡大して見ると,赤,緑,青の小さい三つの色が順序よく並んでいるのがわかる。この三つの色がすなわち原刺激であり,それぞれの強さを変えて,つまり上の式でいえばRGBを変えていろいろな色を出しているのである。この場合はスクリーンの上に重ねるという混色法ではないが,肉眼では三つの色の点の空間配列の見分けがつかないので結果的には加法混色になっている。ただし,三つの原刺激を正の量で加え合わせるだけでは再現できる色の範囲には限度があるから,すべての色をカラーテレビで見ているわけではない。このほかにもカラー印刷などが加法混色を利用しており,虫眼鏡で拡大して見ると色のドットが分離して見える。

 加法混色とよく比べられるのが減法混色である。加法混色の場合は光を加えていって色を作り出すのに対して,減法混色の場合はすでにある光から選択的に光を取り除くことによって色を作り出している。例えばすべての色の光が混じっている白色の光が3枚のフィルターC,M,Yを順次通過すると,出てくる光はかなり元の白色とは違ってくる。Cをシアンフィルター,Mをマゼンタフィルター,Yを黄フィルターとすると,1枚目のCでは赤が減り,2枚目のMでは緑が減り,そして3枚目のYでは青が減る。だから,もし3枚目のYがないと青は減らないので出てくる光は青色ということになる。色光を減らすことによって色を作る,これが減法混色である。スライド用のカラーフィルムはこの典型である。

 実際の物体の色の場合はこの加法混色と減法混色とが混じって色が作られている。例えばある物体が3種類の色素を含んでいて,それによって色がつくとしよう。これを太陽光の下で見ていると,例えばAという光はある一つの色素に入って光を選択的に吸収され,残った部分が外に出てある色となる。Bの光は他の色素に入ってから外に出てきてAとは違った色となる。AとBをいっしょに見れば,これは二つの色の加法混色であり,いわばA(A)+B(B)の色が見える。Cの光は第1の色素で選択的に光の吸収を受け,残りがさらに第2の色素で吸収を受け,その残りが再度第3の色素で吸収を受け,最後に残った光の部分が外に出てきてある色となる。これは減法混色である。しかし人はAとBとCを足して見るからそこでは加法混色である。このように物体の色の生成を正確に記述するには加法混色や減法混色を複雑に組み合わせて分析しなければならない。

三色性を利用した表色系に国際照明委員会(CIE)勧告のXYZ表色系がある。色をXYZという数値で表そうというもので,その原理は目の三色性にある。もう一度三色性を等色を表す式で書いてみる。

 C(C)≡R(R)+G(G)+B(B)この式は(C)という色のC量は,(R),(G),(B)という色のそれぞれR量,G量,B量を加え合わすことによって再現できる,つまり置き換えられることをいっている。C(C)はRGBという三つの数値で表現できるのである。ここのR,G,Bは赤,緑,青であるが,三色性のところで説明したように特別にこれらの三つでなくともよく,そのうちの2色を加えるともう一つの色になってしまうような互いに独立でない三つの色を選んではいけないだけである。そこで赤,緑,青をすぐに連想するようなR,G,Bという実質も文字も捨てて,まったく新しい原刺激X,Y,Zを導入するのである。だから前の式は,

 C(C)≡X(X)+Y(Y)+Z(Z)と書き換えられ,C(C)という色が(XYZ)の3数値で表されることになるのである。X,Y,Zがどういう色かというと,おおよそXは赤,Yは緑,Zは青と考えてよく,X値が大きいとC(C)という色は赤みの強い色,Y値が大きいと緑みの色などの推測ができる。ただし正確にはXもYもZも実在しない色,つまり色彩学でいう虚色を採用しており,抽象的な色空間の中で適当に選んだ色である。とくにXとZの原刺激は明るさをもたない色であって,虚色でないと定義できない色である。もっとも実在色でそれに近い色がないこともない。例えば青で,この色は色としては強い力をもっているが明るさはとても弱い。

 XYZは2とか3のような数値であるが,その数値の与え方を定めておかなければならない。このためCIEは色の強さを表す三刺激値という新しい概念を導入した。そしてXYZも同じ値をもつような色,つまり,

 C(C)≡1(X)+1(Y)+1(Z)で表されるような色C(C)を白色と定義したのである。いい換えれば,同じ量を足してちょうど白色になるような三つの原刺激の量をそれぞれ1とする,というふうに新しい単位,三刺激値を定義したのである。したがって(X=1,Y=1,Z=1)は白色であり,(X=3,Y=3,Z=3)も白色である。ただし後者の場合は前者の3倍のエネルギーをもつ白色ということになる。

 色が三つの数字XYZで表せるので,図3のような三次元の表現ができる。つまり色C(C)をこの色空間内の1点として,あるいは原点からのベクトルとして図示することができる。このとき前述のようにXとZは明るさのない色であるから,X-Z面内の色はすべて明るさがなく,その面は無輝面と呼ばれる。いい換えれば明るさはY軸だけがもつことになり,C(C)の明るさはそのYの値によって表される。ところでこのC(C)の色光のエネルギーを2倍の強さにすると,図3でC(C)のベクトルの長さを2倍にすることになる。ベクトルの方向は変わらないでただ長さが2倍になる。このときC(C)という色はただ明るくなるだけで色みは変わらない。つまりC(C)の色だけに興味がありその明るさには関心がないという場合には,ベクトルの方向だけを表示すればよいということになる。この場合XYZの絶対値は要らないのであるから三つの値の比だけを考えればよい。そこでXYZxyzで,かつxyz=1となるようなxyzを計算し,色C(C)を(xy)の2数字で表すことにするのである。もしどうしても明るさも知りたいならばY値を計算し,(xyY)で色を表示することになる。

ある色のxyをその色の色度座標,それをx-yの直交座標で図示したものを色度図という。それが図4である。横軸にx,縦軸にyをとっており,白色は定義によりxyz,しかもxyz=1なので(0.333,0.333)のところに表示される。ヨットの帆のような形をしたものはスペクトル光,つまり単色光の色度座標をつないだもので,400nmから700nmまでの波長がそれぞれの位置につけてある。ある二つの波長の光を加え合わせてできる色は,それらの波長の点をつないだ直線上,しかもその二つの波長の内側にくる。また世の中のすべての色はいろいろな分光エネルギー分布をもった光によって作られるので,この単色光軌跡の内側の点で示されることになる。いろいろな色のおおよその領域を図4に示すと,右端が赤,それから上に上がって黄,上方が緑,左下端が青と紫ということになる。下の直線は赤と紫を加えてできる色で赤紫である。この赤紫はスペクトル色には存在しない。また色度図の中央部はもちろん白の領域である。

XYZ表色系の利点は,何といっても色が物理的に測定できることである。それにはまず色のもとである光の分光エネルギー分布を分光器で測定する。つまり各単色光の強さを測定するのである。各単色光の色度座標は図4によって定まっているから,分光エネルギー分布がわかればそれらの座標に重みづけができ,それから全部を足し合わせれば最終的にその色が色度図のどの位置にくるかがわかるのである。例えば(0.10,0.63)といったぐあいである。これは緑である。

 色の指定ももちろん(xy)でできる。あるいは色の範囲も定めることができる。

 先に示したマンセル表色系の色もここにプロットできる。ただしxy表示には明るさの情報Y値が含まれていないのに対し,マンセル表示ではVの値がつけてある。したがってHVCxyに変えることはできるが,xyからHVCを求めることはできない。xyYからの変換はもちろん可能である。両者の関係の一例を図5に示しておく。これはV=9のマンセル色票をxyの色度図に表したもので,同心円状の軌跡は等クロマ,つまりあざやかさの等しい色をつないだもの,放射線状の軌跡は等ヒュー,つまり色相の同じ色をつないだものである。中央は白色である。きわめて限られた範囲にしか色票が存在しないのは,V=9のように明るくて,なおかつ彩度の高い物体色は作り出せないことを示している。

色をよく観察すると,緑が見えるところには赤の色相は見えない,赤が見えるところには緑の色相は見えないということに気づく。つまり赤と緑は互いに相反する色である。これを赤と緑の反対色性という。同じように黄と青も反対色の関係にある。目には赤対緑,黄対青の反対色性があるのである。一方,赤と黄は共存し得て,オレンジ色がその例であるし,赤と青,緑と黄,緑と青も共存する。これらは紫,黄緑,シアンである。ある色を見てそこに赤も緑も見えないとき,これを赤緑(あかみどり)平衡点といっているが,そこで見える色は青か黄のどちらかである。青だけならその色をユニーク青といい,黄だけならユニーク黄と呼んでいる。つまり混じり気のない純粋の青あるいは黄なのである。波長でいえばユニーク青は472nm,ユニーク黄は577nmくらいである。純粋の,というのはそれ以上他の成分に分けられないという意味である。オレンジ色をよく見ると,これはだれでも黄と赤の混じったものと表現する。しかしユニーク黄を見ると,緑みも見えないし赤みも感じない。やはり黄である。ユニーク青も同様である。また黄青(きあお)平衡点というのもあって,ここではユニーク赤かユニーク緑が知覚される。ユニーク緑は500nmくらいの光であるがユニーク赤はスペクトル光の中にはなく,700nmの光に400nmの光を少し加えて作ることができる。赤緑平衡点でかつ黄青平衡点は白色にほかならない。

 このようにすべての色を赤,黄,緑,青のユニーク色で表現するのは反対色性から導き出されたものである。反対色性を活用して色を定量的に表すまでにはまだ至っていないが,定性的な考え方はあるので,いわばその反対色性表色法を次に少しだけ述べておく。

色を図6のように円周上に並べる。赤と緑を相対して上下に,黄と青を相対して左右方向におく。そして縦線で示した上の領域を赤の成分,下の領域を緑の成分とする。同じように点で示した右の領域を黄の成分,左の領域を青の成分とする。このようにすると真上は赤の成分だけとなりユニーク赤が表現できる。それより少し右に回ったところは赤の成分がr,黄の成分がyだけあるということになり,これは赤みの強いオレンジ色ということになる。さらに右に回ったところではyrとなり,黄みの強いオレンジであり,そしてもっと右に回って水平の位置までくるとユニーク黄となる。このようにすれば色の見え方を説明できる。しかし,これでは明るさを表現できないので,これにはやはり三次元空間を用いることになる。それが図7である。下の面には赤対緑の軸RGと黄対青の軸YBとを直交させる。その原点から上方へ向かって明るさの軸Hをとる。そしてある色C(C)は原点からのベクトルで表されるのである。図7の場合なら,色の成分はRY,明るさの成分はHというようになる。もちろんRGYB=0でHだけがある色,すなわちH軸上の色は白色ということになる。この方法は色の見え方を表す点では優れているが,まだ測色学になるまでには成長していない。
執筆者:

色彩表現は,絵画のみならず建築,彫刻,工芸においても重要な役割を果たしている。建築においては,壁,天井,柱等に直接絵を描く場合のほか,例えばイタリアの教会堂建築における色大理石の利用や,日本の仏教寺院の丹塗の柱など,色によって建物を飾り立て,荘厳化しようとする例がある。彫刻作品においても,素材そのものの色彩のほかに,さらにさまざまな彩色を施すことは,古くから行われてきた。ルーブル美術館にある《ランパンの馭者》頭部(前6世紀,ギリシア)や,法華寺の十一面観音像(平安前期)の顔面には,今でもかつての彩色の跡が残っている。古代エジプトやアッシリアの彫像から現代のマリソール,ニキ・ド・サン・ファルにいたるまで,彩色彫刻の歴史は長い。工芸作品においても色彩が重要であることは,焼物の肌や染付の色彩表現に苦労を重ねた多くの陶工たちの努力を思い出してみれば十分であろう。

 しかし,色彩が最も豊かに利用され,中心的な役割を果たすのは,言うまでもなく絵画においてである。絵画における色の問題は,物理的なそれだけに尽きるものではない。同じ色であっても,絵具,支持体,制作方法等の種類によって,もたらされる結果は大きく違ってくる。単に顔料の性質の違いのみならず,それを溶かす媒剤が水であるか,膠であるか,油であるか,また支持体が紙であるか,キャンバスであるか,板であるか,漆喰壁であるか等によって,色の表現効果は異なった結果を生ずる。機械的手段による複製図版が,いかに忠実にもとの色を再現していても,原作と決定的に違う大きな理由のひとつは,この点にある。さらに,色の点,線,面等が,画面全体の構成においてどのような位置を占め,他の色とどのような関係にあるかということも,色彩表現を支える重要な条件である。〈1cm2の緑と1m2の緑は,同じ緑でも別のものだ〉とマティスは語っている。

 したがって,絵画における色彩の歴史は,一方で素材によって,他方で画家の美学や社会の伝統によって規定される。新しい材料や新しい技法の登場は,それだけ豊かな色彩表現を可能ならしめる。イベリア半島から産出される辰砂は,すでに古代においてギリシア人やローマ人たちによって利用され,主としてミニウスMinius川(現,ミーニョMinho川)のほとりで得られるところから〈ミヌスminus〉または〈ミニウムminium〉と呼ばれる独特の豊麗な赤を生み出した。そのミヌスで彩色することを〈ミニアーレminiare〉と呼んだが,この手法が中世の写本装飾に広く用いられて,やがてミニアチュールminiatureというジャンルが確立されることになる。モザイクやステンド・グラスの色彩の輝きは,ガラスという材質に負うことが大きいし,日本の友禅や沖縄の紅型(びんがた),西欧のゴブラン織やペルシアのじゅうたんなどの染織の場合も,色彩の効果は,絹,綿,毛などの材料の持つ質感と不可分に結びついている。また,15世紀における油絵の登場が,その後の西欧絵画の展開に大きな影響を及ぼしたことは,広く知られている通りである。

 このような材料や技法に基づく効果も含めて,芸術家は,そして芸術家を通して社会は,色彩にさまざまな役割を要求してきた。絵画における色彩の役割については,華やかさ,明るさ,輝きなど,広い意味での装飾的効果のほか,大きく分けて,(1)象徴的機能,(2)写実的機能,(3)感覚的機能の3種類を挙げることができる。まず,色彩の象徴的機能は,多くの民族やある文化的伝統を持った社会において,つねに認められてきた。日常の生活においても,位階,勲等,慶弔の表現に特定の色彩が用いられる例が見られるが,そのような象徴表現は,美術の世界にも反映されている。特に宗教や呪術は,しばしば特定の儀式や教義と結びついて,複雑な色彩の象徴体系を発達させた。例えば,ラファエロの数多くの聖母子像において,聖母マリアはほとんどつねに赤い上衣に青いマントをはおっているが,これは,赤は天の愛情を表し,青は天の真実を表すという考え方に基づく。ラファエロにかぎらず,チマブエ,ジョットからルネサンス期にかけてのイタリアの聖母表現は,特別の例外を別として,ほぼこの原則にのっとっている。ただし,この服装は,受胎告知(聖告)以後のマリアの地上の生活のものであって,〈無原罪のマリア〉〈マリアの宮参り〉あるいは〈マリアの戴冠〉等の図像においては,通常マリアは白い衣装をまとう。白は無垢と純潔の象徴だからである。アルプス以北の地域,例えばネーデルラントにおいては,しばしばこの白が,マリアの通常の色として用いられる。また〈嘆きの聖母〉においては,マリアは苦悩を象徴する紫の衣をまとうことがある。このような衣装の色の象徴性は,ときに明確な典拠を持つ。〈変容〉のキリストはつねに白い衣装を着ているが,これは《マタイによる福音書》(17:2)に,その衣が〈光のように白くなった〉とあるに拠る。このような色の象徴的機能は,宗教美術以外にも認められる。キリスト教美術において,白ユリが純潔の象徴(〈受胎告知〉等)であるように,古典的主題の作品において,赤いバラは愛の象徴である(ティツィアーノの《ウルビノのビーナス》等)。中国においては,東南西北を青竜,朱雀,白虎,玄武の四神およびその色に対応させるが,この考え方は日本にももたらされた。

 このような色の象徴体系は,宗教美術においては長く保たれているが,西欧においてはルネサンス以降,現実世界に対する関心が高まるにつれて,第2の写実的機能に席を譲っていく。色彩は,もっぱら目に見える外界を忠実に再現するために用いられるようになる。しかし,同じように外界の再現という意図に基づいているとしても,カラバッジョの写実主義と印象派の写実主義は大きく違っており,色彩に与えられた役割もまた異なっている。カラバッジョは外の世界を明暗の対照のなかに見たが,印象派は明るい輝きのなかに見たからである。したがって,写実的(と考えられる)色彩表現も,画家のものの見方によって変わってくる。どのように表現するかということと同時に,どのように見るかということが,画家たちの色彩の使用を大きく規定するのである。西欧の油絵の技法を受け入れた日本の近代絵画において,フォンタネージの弟子たちを中心とした明治美術会と,黒田清輝を中心とする白馬会とは,ともに写実主義を基本理念として奉じていたが,手本とした西欧の範例が違っていたため,ものの見方が違っており,色彩表現においても,それぞれ〈脂(やに)派〉〈紫派〉と呼ばれるほどの相違を見せた。このようなものの見方は,画家の個性のみならず,社会的・文化的条件にもよる。日本の子どもや画家(例えば横山大観)は太陽を赤く描くが,西欧の子どもや画家(例えばゴッホ)は太陽を黄色く描く。それはまた,ものの見方の差である。

 色の感覚的機能とは,色彩が外界の対応物や象徴体系によらずに,それ自体である感情や雰囲気を引き起こす働きをいう。日常生活においても,われわれは,暖色,寒色という言い方を用いるが,それは,ある種の色は,暖かさあるいは涼しさの感じを呼び起こすということである。色はそれ自体で感覚的な力を持っているといってもよい。洗面台で,水道の蛇口のお湯と水の区別に,赤と青の色を用いるのは,色のこの感覚的機能を利用したものである。このような感覚的な力は,近代になってから特に芸術家たちによって強く意識され,新しい色彩表現に向かわせた。ゴッホは〈赤と緑によって人間の恐ろしい情念を表現〉しようとしたし,スーラは,色の持つ陽気さ,悲しさを理論化して,自己の作品に応用した(《サーカス》等)。20世紀の表現主義や抽象芸術の色の使い方は,色彩のこの機能によるところが大きい。

 これら3種類の色彩の機能は,むろん多かれ少なかれ互いに重なり合っている。画家は象徴的な意味で色彩を用いるときにも,その感覚的力を,たとえ無意識にもせよ考慮するであろう。さらに,純粋に装飾的効果も,当然配慮されるに違いない。特に,19世紀になって,ヘルムホルツシュブルールなどの色彩研究が進んでからは,補色の意識的利用や色彩分割などによって,いっそう輝かしい豊かな効果を生み出すようになった。現代絵画に見られる色彩の解放も,そのような歴史的展開の上に成り立っているのである。
光[美術]
執筆者:

しばしば〈日本の色〉の代表としての2色が挙げられる。それはそれでいっこうに差し支えないが,紫好みや赤好みが国民性に根ざす日本人独特の色彩感覚だというふうに考えるとしたら,やはり大きな誤りとせざるを得ない。正しくは,国民性も民族的色感もそれぞれが置かれた文化環境のなかで〈関数〉として作りあげられるものであり,人類の能力や感受性にはじめから差異のあろうはずもないからである。日本人が昔から今日に及ぶまで紫および赤を〈色のなかの色〉として尊重したり愛着したりする本当の理由は,7~8世紀ごろ,日本に律令国家体制が確立したときに,中国の政治思想や宮廷儀式を直輸入し,色に関しても中国伝来の五色(五行思想に基づいた正色で,が木・東・春を,が火・南・夏を,が土・中央・土用を,が金・西・秋を,が水・北・冬を,それぞれあらわす)をもって最も基本的な色とする考え方を借用したことに求められなければならない。もちろん,それ以前に,草木染を中心に具体的で雑多な色が日本列島先住民たちによって作られ用いられてきたことも確かであるが,色をどう観念するか,なんの色を尊きもの好ましきものと感ずるか,という問題が最初に日本人の意識にのぼったのは,律令受容に伴う中国の制度文化の咀嚼(そしやく)=消化の段階においてである。律令の〈衣服令(えぶくりよう)〉をみると,〈礼服(らいぶく)〉(大祀・大嘗・元日に着る儀式用の服),〈朝服(じようぶく)〉(朝廷で着る公事(くじ)用の服),〈制服(せいぶく)〉(無位の官人・庶人の着る服)が厳格に規定され,位階や身分の上下に従って使用する色が異なっていたのを知る。表の〈古代服色表〉は《日本書紀》《続日本紀(しよくにほんぎ)》所載記事をも併せ参考にしながら,4回の服色規定が一目瞭然にわかるようにしたものだが,これによって,紫が最高の位階を示し,以下,赤,緑,藍(青)の順になっていたことを知る。つまり,色そのものに尊卑の観念が抱かれていたのであり,この観念は,平安王朝に至っていっそう固定化されてゆく。紫は,本来ならば五つの正色に入らず,間色であるはずなのに,王朝貴族たちの〈あこがれの色〉として階級的観念を増幅し,文芸においても王朝美の頂点をみやびやかにいろどることとなった。ちなみに,紫が万人大衆の使用可能な色として〈禁色(きんじき)〉の観念から解放されるのは,明治近代以後のことである。このように後づけてくると,日本人の紫好みをもって単純に国民性とか民族的傾向とかのあらわれと結論することの誤りは,もはや自明であろう。赤の場合も,律令制このかたの尊卑観念を無視しては,その〈日本人好み〉の色であることの説明づけにならないのはもちろんだが,しかし,明度も彩度も大きい赤が人を引きつけないと考えるのも無理である。《万葉集》の色名あるいは色物名を調査した伊原昭によると,〈赤系統が54例,黄系統1例,緑系統2例,青系統2例,紫系統3例,黒系統1例,白系統4例,色彩不詳5例となるようである。これらの用例の数から推量すると,赤系統の色彩が圧倒的であって,万葉の人たちは,目立つ華やかな色彩に対して“いろ”という概念をもったのではないかと考えられる〉(《万葉の色相》)という。それとは別に,邪馬台国の人々は朱丹(水銀系および鉄系統の顔料)で身体装飾をしていたらしいし,日本神話には神が〈丹塗矢(にぬりのや)〉に変身して美人の女陰を突いて妊娠させた話もあり,赤のもつ呪術的効力が久しく民族信仰のなかで信じられたことも忘れてはならないだろう。民族信仰といえば,赤に劣らず重要視されたのは白で,《古事記》上巻に〈赤玉(あかだま)は緒(お)さへ光れど白玉(しらたま)の君が装(よそい)し貴くありけり〉に見られるように,赤よりも白のほうに尊貴を感ずる例は,古代人の祭祀や宗教儀礼において白が神聖=清浄と観念されたことを証している。反対に,古代民族信仰において,黒は罪穢(つみけがれ)=不浄と考えられていた。

 かくのごとく,日本人の色彩感覚は,中国から輸入され白鳳・天平・平安期宮廷貴族レベルで再生産された五行思想に基づく尊卑観念の記号化を太い一本の経糸(たていと)として形成され,緯糸(よこいと)として古い民族信仰的シンボリズムを配しながら,徐々に一枚の広布(ひろぬの)を織り上げていった,と解するのが,いちばん理に適(かな)う。その間,古代末期から中世にかけて武士を最前列とする庶民階級の勃興がみられ,木綿の普及や染色技術の開発も急ピッチで進められ,室町~戦国期にいわゆる〈武家型色彩時代〉を迎える。武士・庶民が用いる色彩の主流は藍(紺)・茶・黒・白となった。真の意味での〈日本の色〉は,これら実用生活に密着した質朴な色彩のほうかもしれない。
執筆者:

文化と言語の関係は文化人類学や意味論においてくりかえして議論されている重要な問題であるが,その議論においてしばしば色彩語彙がとりあげられる。そこでは,言語が異なれば認識の仕方も異なるという言語相対性説と,言語の違いを超えて人類に共通の認識があるという普遍性説の確執がみられる。たとえば,相対性説に立てば,日本語の赤という語彙と英語のredではその意味する内容は異なるということになる。日本語の基本的な色彩語彙は,の4色と考えられるが,この4色は2対の概念によって構成されている。すなわち,黒:赤=暗:明,白:青=顕:漠の2組である。暗い色を黒といい,明るい色を赤という。目立った色は白,漠とした色あるいは鈍い色は青というわけである(佐竹昭広説)。また,フィリピンのミンドロ島に住むハヌノオ族では,白,黒,赤,が基本的な色彩語彙であり,日本語と同様に2対の概念によって構成されているが,その概念は異なっている。すなわち,黒:白=暗:明,赤:緑=乾:湿である(コンクリンH.C.Conklin)。ハヌノオ語では,赤は黄色や茶色をも含んだ色であり,日本語の赤とはかなり異なったものであると考えられる。このように,同じ赤,白といっても,言語ごとにその内容は異なるというのは確からしい。

 ところが,1969年,バーリンB.BerlinとケイP.Kayは,色彩語彙に普遍性があることを主張した。彼らは,すべての色彩語彙を扱うのではなく,いくつかの基準を設けて基礎色彩語彙というものを抽出し,合計98の言語について,その色彩語彙について調べた。彼らの研究は二つの内容からなりたっている。ひとつは,20の言語について,横軸に色相,縦軸に明度をとったカラーチャートの上にそれらの基礎色彩語彙の範囲とその中心点を記入させた。その結果,言語によって各色彩語彙のしめす色の範囲にはかなりの違いがあるが,その中心点(焦点)はほとんど一致するという結論を得た。そのことから,彼らは色彩語彙には,言語の違いを超えて同じ色をさししめすという普遍性のあることを主張した。さらに,78の言語については,文献から基礎色彩語彙を収集し,先の資料に加えて検討し,色彩語彙の出現の仕方にはある順序があり,その順序は進化の発展段階に対応するという仮説を提出した。その順序は図8のようなものである。

 この仮説はかなり大胆なものであり,多くの研究者からさまざまの批判が投げかけられた。ひとつは中心点がよく一致するという彼らの説に対して,同じ資料を用いて,一致しないという説が提出された。いまひとつは,彼らのいう順序に違反する例がいくつも提出されたし,その順序が進化の発展段階と一致するという説には具体的な歴史的発展を例にとって,それほど単純でないことが示された。

 後に,ケイの弟子のマクダニエルC.K.McDanielは,語彙化される色は,人間の生理学的な機構の反映であるとの説を提示した。すなわち,人間の眼というものは,白,黒を除くと赤,,青,緑の4色を基本的な色として知覚するようになっていて,他の色は,これら6色のいろいろの組合せからなると主張した。ケイとマクダニエルは,このことから先の進化の発展段階を図9のように書き直した。

 彼らの主張するところは,サピア=ウォーフの仮説(言語が認識を規制する)の裏返しであり,〈認識(知覚)が言語を規制する〉ということにある。確かに,私たちの言語化の基礎にはこのような人類としての種に共通な生理学的なレベルでの認識があり,その認識は人類にとって普遍的であるという主張は十分に認められる。一方で,日本語やハヌノオ語でみられた意味論的分析も十分の説得力をもつ。すなわち,認識にはいろいろのレベルがあることを了解しなければならない。生理学的なレベルを基層として,異なったレベルに先の意味論的な認識があるのであろう。また,青は失恋,赤は怒りというような意味をもつレベルはさらに,当該の文化に密着したレベルの認識なのであろう。色彩語彙の議論はこうした認識の重層性を明らかにしたものであると考えられる。

 なお,ケイとマクダニエルの修正された図式においても問題がないわけではない。特に,第Ⅵ段階と第Ⅶ段階において,混色の茶色のみを特別扱いする根拠はないように思われる。実際,チベット語においては,茶色よりも紫色の方が早く出現している(長野泰彦説)。おそらく,この段階は区別する必要はないものと思われる。
認識人類学
執筆者:



色 (しき)

仏教用語で物質のこと。物質を表すのに仏教ではサンスクリット語でルーパrūpaという語を用いるが,この語は色と漢訳される。物質といっても現代でいう原子・分子からなる事物を意味するのではない。それは(1)同一空間に2者が共存できないもの(質礙(ぜつげ)),(2)変化して壊れてゆくもの(変壊(へんね)),(3)悩まされるもの(悩壊(のうえ))という三つの性質を備えたものとして次のようなものを色と考える。まず五蘊(ごうん)のなかの一つである色蘊の色とは,こころに対応する物質的なるものの総称であり,具体的には五根(眼,耳,鼻,舌,身の五つの感覚器官)と五境(色,声,香,味,触の五つの感覚対象)と無表色(戒体など具体的に知覚されない物質的なるもの)との11種がある。次に五境の一つの色とは,視覚の対象となる〈いろ〉(顕色(けんじき))と〈かたち〉(形色(ぎようしき))とをいう。このように仏教で用いる色という語には広義の色と狭義の色との二つの意味がある。《般若心経》のなかにある有名な〈色即是空,空即是色〉の色は広義の意味の色,すなわち色蘊の色である。
執筆者:

出典 株式会社平凡社「改訂新版 世界大百科事典」改訂新版 世界大百科事典について 情報

日本大百科全書(ニッポニカ) 「色」の意味・わかりやすい解説

色(いろ)
いろ
color
colour

眼(め)に入射する光によって大脳皮質の視覚中枢に生じる感覚をいう。人間は光を見ると色を感じる。電磁波のきわめて狭い限られた波長範囲の放射のみが人間に視感覚をもたらす。この波長範囲を可視域とよび、可視域は一般に380~780ナノメートルの波長範囲とされている。可視域における放射を可視光とよぶ。「光」の用語は狭義には可視光をさす。

 視覚系の光に対する入力端は眼球の網膜に分布する視細胞である。しかし、視細胞の働きだけでは色を知覚することができない。視細胞には光に応答する光化学物質が含まれており、視細胞に光が入射すると、入射した光は電気的なパルス密度に変換される。この結果、光が担う物理情報はパルス密度が担う生体情報に変換されて、生体内での伝達が可能になる。生体情報はニューロン・ネットワークによる情報処理過程を経て大脳皮質の視覚中枢に伝達される。視覚中枢ではさらに複雑な情報処理が加えられて知覚反応が生じ、色の感覚がもたらされる()。この知覚反応は視覚中枢で生じるが、色が見えたと感じるのは眼である。この現象を投射とよぶ。

[佐藤雅子]

色覚メカニズム

色の研究はギリシア時代にすでに始まっていた。しかし、色覚メカニズム(色覚が成立する仕組み)の詳細はいまだ完全には解明されていない。近代科学的な色覚理論の出発点は古くはI・ニュートンにまでさかのぼる。色感覚が光に対する生体の知覚反応であるとわかったのは、ニュートンが1666年に行った光分散の実験によってである。

 ニュートンが実験室を暗室にして一方の壁に丸くて小さな穴をあけ、この穴から入射してくる太陽光を反対側の壁に導くと、壁面上に丸くて明るい光斑(こうはん)が現れた。そして、一つの稜線(りょうせん)を水平に保ったプリズムをこの光路に置くと、太陽光がプリズムの屈折作用によって方向を変えたのみならず、前には単に丸く見えていた白色の光班が上下方向に広がって虹のような種々の色が現れた。ニュートンはこの結果に驚いて、「光そのものに色がついているわけではない」と述べたと伝えられている。このようにして現れた光帯をニュートンはスペクトルと命名した。この実験によって、人間は単色光を見ると波長に対応して異なる色を知覚することが明らかになった。色と波長との対応例をに示す。知覚される色と波長との対応は観測者の視覚系の特性および順応状態に依存する。

 ニュートンの光分散の実験から1世紀有余を経て、色覚メカニズムに関する種々の仮説が提唱されるようになった。激しい論戦があり、紆余曲折(うよきょくせつ)を経たが、それらのなかでもっとも重要視されているのがヤング‐ヘルムホルツの三色説とヘリングの反対色説である。現在ではこれらの仮説が肯定的に受け入れられ、両者を概念的に採り入れた色覚モデルが種々提案されている。視細胞の段階で三色説を採り入れ、その直後の情報処理過程で反対色説を採り入れる、いわゆる段階説モデルが主流である。

 ヤング‐ヘルムホルツの三色説は1802年にT・ヤングが提唱した仮説を、その後1894年にH・L・F・ヘルムホルツが定量化して整備したものである。この仮説は互いに独立な三つの色光(たとえば赤、緑、青の色光)の適当な混合で種々の色光が等色できることを根拠とする。三色説は、「人間の視覚系は3種の独立な光応答機構を備えており、それぞれ固有の光応答特性をもつ。眼に光が入射するとこれら三つの機構に刺激が生じ(各機構の刺激は、入射光の分光分布とそれぞれの機構の光応答関数との積の可視域にわたる波長積分で定まる)、それらの刺激の大きさによって色の感覚が定まる」とするものである。三色説は仮説として誕生したが、20世紀なかばを過ぎて、3種の独立な光応答機構の存在が実験的に確かめられており、それらの機構の光受容器として機能する3種の視細胞の分光感度が多くの研究者によって推定されている。

 ヘリングの反対色説は、1878年にE・ヘリングによって提唱された。反対色説は、「人間の視覚系には赤―緑、黄―青、白―黒の各反対色に応答する三つの機構が存在し、すべての色の特性はこれらの機構の応答量の割合で示される」とするものである。この仮説は、「赤と緑の色感覚が共存できないことを示唆する視覚現象が種々認められる。赤と緑を反対色とよぶならば、これと同様の視覚現象が認められることから黄と青も反対色であり、さらに白と黒も反対色である」とのヘリングの考察を出発点とするが、20世紀なかばに、反対色に応答する三つの機構の存在が実験的に確かめられた。

[佐藤雅子]

知覚色

人間が色刺激(眼に入射して色感覚を生じさせる可視放射)を見て知覚する色を知覚色とよぶ。色がどのように見えるか、すなわち「色の見え」は心理的な現象に基づく主観的なもので、種々の要素に複雑に左右される。色の見えは色刺激の分光分布のみならず刺激面の寸法、形状、構成、および背景、さらに観測者の視覚系の特性および順応状態に依存するほか、観測者の色知覚に関連する経験、記憶、連想などの影響を受ける。色の見えのモードは物体色、表面色、開口色、発光色、非発光色、関連色、無関連色などに分類される。

 物体色は物体に属しているように知覚される色であり、表面色は物体表面から光を拡散的に反射または放射しているように知覚される色である。開口色は奥行き方向の空間的定位が特定できないように知覚される色のことで、物体などの知覚や認識とまったくかかわりをもたない。たとえば分光器の望遠鏡をのぞくと視野絞りの内側に一様な色刺激の色を見ることができるが、これが典型的な開口色である。

 発光色は一次光源として光を発している面に属するように知覚される色、または、その光を鏡面反射しているように知覚される色である。これに対し、非発光色は二次光源として光を透過または拡散反射している面に属しているように知覚される色である。また、関連色は、背景または周辺視野を伴って見えている面に属するように知覚される色である。これに対し、無関連色は背景または周辺視野を伴わず、他の色から独立している面に属するように知覚される色である。たとえば、闇夜の空間に一つだけ点灯した信号灯のように、他に比較するものがない色は無関連色である。

 表面色に分類される拡散反射面の色(以下で、単に色という)に関しては、20世紀初めごろより、一定の観測条件の下での色の見えを色知覚の三属性である色相H、明度V、彩度Cに基づいて表示する研究が進められ、色を表示するための色票集が製作された。1929年に20色相に基づくマンセル色票集が、1942年には40色相に基づくマンセル色票集がそれぞれマンセル・カラー・カンパニーから発行された。アメリカ光学会の下部組織である「マンセル色票集の視覚的均等性」を検討するための小委員会がこれらの色票集を詳細に検討して改良を加え、この改良された色票集の測色データ(補助イルミナントCを照明光とする心理物理色によるデータ。心理物理色については後記する)を基礎として1943年にマンセル表色系が確立された。

 マンセル表色系では三属性をH VCの形式で組み合わせたマンセル記号を用いて色を表示する。この表色系は1958年に、色を三属性で表示する標準システムとして日本工業規格で採用され、「JIS Z 8721:1958 三属性による色の表示方法」が制定された。その後、1964年、1977年、1993年に改正されており、現行規格は「JIS Z 8721:1993 色の表示方法――三属性による表示」である。現在、日本規格協会から発行されているJIS標準色票はこの現行規格に準拠する色票集であり、マンセル表示に対応する色票を三属性に基づいて系統的に配置する方法で編集されている。

 補助イルミナントC(以前は標準の光Cとよばれていた。日本工業規格「JIS Z 8720:2000 測色用標準イルミナント(標準の光)及び標準光源」参照)の下で、試料の色をJIS標準色票と見比べることにより、その色のマンセル表示を定めることができる。たとえば、5GY 4/4は木の葉の緑をマンセル記号で表示した例である。色の見えの一致する色票が見いだせない場合は、補間または補外の方法によって定める。JIS標準色票を用いてマンセル表示を定める方法の詳細はこの色票集に付属する解説に記載されている。

[佐藤雅子]

心理物理色

色を科学・技術の対象とするには客観的かつ定量的な色の表示が必須である。CIE表色系はこのような表示を厳密に実現できる三色表色系の国際標準である。観測面が眼に対して張る角に対応して、XYZ表色系(CIE標準表色系)およびX10Y10Z10表色系(CIE補助標準表色系)が定義されている。これらはいずれも学術分野のみならず産業界においても国際的に広く用いられている。ここで三色表色系とは、厳密に定義された三つの原刺激(いわゆる光の三原色に相当する)に基づく三つの値を用いて色を表示する表色系をさす。

 三色表色系において三つの原刺激ならびに観測条件を厳密に規定することにより、試料色刺激に対応する再現可能な三つの値を定義することができる。この三つの値を三刺激値とよび、三刺激値で表示される色を心理物理色とよぶ。

 XYZ表色系では三刺激値(X, Y, Z)、あるいは三刺激値Yと色度座標xyとを組み合わせた(Y, x, y)を用いて色を表示する。ここで、xX/(XYZ), yY/(XYZ), zZ/(XYZ)の関係があることから、前者と後者は等価な表示である。

 試料の三刺激値は分光測色法に基づき、試料色刺激の分光分布から計算によって定める。三刺激値を定める方法は日本工業規格「JIS Z 8701:1999 色の表示方法――XYZ表色系及びX10Y10Z10表色系」において厳密に規定されている。なお、拡散反射面の三刺激値は試料の分光反射特性のほか、照明光の分光特性にも依存する。照明光を異なる分光分布のものに変えると同一試料の三刺激値が変化し、色の見えも変わる。

 前記の日本工業規格「JIS Z 8721:1993」において、たとえば、三属性による表示5GY 4/4(木の葉の緑)に対応する心理物理色は(Yc=11.70, x=0.3538, y=0.4284)と定義されている。この値は三刺激値(Xc=9.66, Yc=11.70, Zc=5.95)と等価である。ここで、(Xc, Yc, Zc)は補助イルミナントCの下での三刺激値を表す。また、拡散反射面の色度座標(x, y)には照明光の種類を表す添え字cをつけないことになっている。

 前記の例は、分光測色計算において補助イルミナントCを照明光として得られる三刺激値が(Xc=9.66, Yc=11.70, Zc=5.95)に等しい値をもつ拡散反射面であれば、その反射面がどのような分光反射特性をもつものであっても、補助イルミナントCの下では、JIS標準色票においてマンセル記号5GY 4/4で表示されている色票と同じ色に見えることを意味する。ただし、色の比較に用いる照明光が補助イルミナントCと異なるなど、観察条件が「JIS Z 8721:1993」の規定に適合しない場合は、両者が同じ色に見える保証はない。

 補助イルミナントCの下での拡散反射面の三刺激値(心理物理色表示)に対応するマンセル表示(三属性表示)は、「JIS Z 8721:1993」に付属する「参考1 標準の光C照明下における色の表示方法の定め方」などに従って定めることができる。

[佐藤雅子]

諸民族と色

民族による色名の差異

可視光に対する人間の視覚能力に人種差はないとされているが、本来連続体である色をどの部分でいくつにくぎるか、つまり色彩語彙(ごい)体系は文化によって異なる。たとえば日本では虹(にじ)は7色であるが、英語ではpurple、blue、green、yellow、orange、redの6色であり、メキシコのマヤ人では黒、白、赤、黄、アオ(青と緑)の5色、あるいは赤、黄、アオの3色である。これは日本人とイギリス人とマヤ人に色の識別能力に差があるのではなく、虹をいくつの色彩語彙で表すかが言語によって異なるということであるにすぎない。またマヤ語では日本語と同じように青と緑を一つの単語で表すが、マヤ人や日本人が青と緑を区別できないのではない。さらに、同じ赤といっても、ある言語で「アカ」が表す範囲と他の言語の「アカ」の範囲が完全に一致するとは限らないのである。

 色は色相(色あい)のほか純度、明度の3要素によって規定されるが、色相より純度と明度を重視する色彩体系もある。たとえば日本の古語における色彩体系について佐竹昭広(あきひろ)は、アカ、アオ、シロ、クロの4語が基本であり、アカは明、クロは暗、シロは顕、アオは漠を表しているとしているという。すなわち、アカ、クロ、シロ、アオは赤、黒、白、青という色相ではなく、明度(アカ=明、クロ=暗)、純度(シロ=顕、アオ=漠)を示している。また、色相、明度、純度の3要素に基づくヨーロッパの色彩分類はかならずしも普遍的ではなく、たとえばフィリピンのハヌノー語では四つの主要色彩語彙は明、暗、湿、乾に関連している。文化、言語によっては物理的条件(色相、明度、純度)によらない色の概念の規定もあるのである。

 しかし、色彩用語は各言語がまったく恣意(しい)的に定めるのだとする色彩体系相対論に対して、最近では、ある色と色の境界線はたとえ言語によって違っていても、各色の焦点はほぼ一致しているとする説や、さらには、あらゆる言語を通じて厳密に11の色彩カテゴリーからなるセットがあり、各言語はそのセットから適宜にいくつかを選ぶのだとする普遍論的な説もある。

[板橋作美]

色のシンボル作用

色はしばしば単に物理的な色彩を表すだけでなく、それぞれの文化のなかで他の何かを表し意味するものとして使われる。日本では、黒は葬式のときに用いられ、死、悪、負けなどを表し、赤は成人式や還暦の祝いのときに用いられ、赤心は真心を意味し、白は結婚式に用いられ、純潔や清浄、無実、勝ちなどを表す。アフリカの農耕民ンデンブ人の社会でも、白、赤、黒は基本的な色として象徴的に用いられている。白は女性の乳、男性の精液の色であり、純潔、善、生命などを表し、黒は死による変化、腐敗の色であり、病気、死、悪などを表す。赤は血液や肉、月経の色であり、これは対比される色との関係によって、よい意味にも悪い意味にも用いられる。白と黒との対比では、白は清浄、正、生、幸を、黒は不浄、不正、死、不幸を意味し、白と赤との対比では、赤は黒と同じように悪い意味に用いられる。メラネシアのトロブリアンド島では、白は美、妊娠、多産、豊穣(ほうじょう)、純潔、高い地位を表し、赤は光、生気、魅力、性愛などを、黒は妖術(ようじゅつ)、姦通(かんつう)、喪、不浄、悪などを意味する。このように色が象徴的意味をもつことは多くの民族でみいだされるが、共通していることは、二つの対立する事柄を色の対によって表現するということである。とくに白と黒はともに異常な色として、他の正常な色(赤、青、黄……)と対比され、非日常性を象徴するものとしてさまざまな宗教儀礼のなかで用いられる。また、三つ以上の色のセットが三つ以上の対立する事柄に用いられることも多く、たとえばバリ島では、白は東、黄は西、赤は南、黒は北、雑色は中央に結び付く。中国ではさらに複雑で、青は東、春、朝と、赤は南、夏、真昼と、白は西、秋、午後と、黒は北、冬、夜と、そして黄は中央と結び付く。

[板橋作美]

色と生物

人間には発達した色覚があるが、それ以外でも多くの動物に、異なる波長の光を区別する能力がある。人間の色覚は、他のいくつかの感覚と同様に、大脳皮質における統合作用の結果として生ずるものである。したがって、人間以外の動物に光の波長の差を検出しうる受容器があるからといって、ただちに人間と同様の色覚があると考えることはできない。しかし、動物が光の波長の差を識別しうるとき、便宜的に、その動物に色覚があるということが多い。

[村上 彰]

脊椎動物の色覚

魚類や鳥類など多くの脊椎動物に色覚がある。脊椎動物の網膜には原則として色覚に関係する錐(すい)状体細胞と桿(かん)状体細胞がある。しかし、夜行性のものには錐状体細胞がほとんど、またはまったくなく、色覚を欠くといわれる。色覚の発達した魚類や鳥類などでは、後に述べるような特定の体色が、同種個体間の視覚的な信号として重要な意味があるものがある。一方、哺乳(ほにゅう)類には昼行性のものでもほとんどに色覚がなく、ヒトを含む霊長類に例外的に色覚が発達するのみである。一般的に色覚がない哺乳類の個体間の信号として、嗅(きゅう)物質によるマーキング(印づけ)が重要な働きをしている。闘牛場で闘牛士が振るケープの赤い色は、色覚がある人間に見せるためのものであり、ウシにとって意味があるのは、ケープの色ではなく、その動きであると考えられる。

[村上 彰]

無脊椎動物の色覚

無脊椎動物にも顕著な色覚のあるものが知られている。ミツバチは、単色光について黄(波長650~500ナノメートル)、青緑(500~480ナノメートル)、青(480~400ナノメートル)、紫外色(400~300ナノメートル)の4色を識別し、可視光の範囲は人間のものよりも100ナノメートルほど短波長側にずれている。人間では、可視部スペクトルの両端にあたる赤とすみれ色を混ぜると、新しい色である紫を生じ、スペクトル光をすべてあわせると白色(または灰色)となる。ミツバチを訓練し、どのような色を識別しうるかを調べた結果、可視部スペクトルの両端にあたる黄と紫外色を混合すれば、他の色と区別しうる新しい色「ミツバチ紫」を生じ、紫外色を含めた可視部スペクトル光を混ぜると、さらにどの色ともはっきり区別される「ミツバチ白」ができることが明らかにされた。ミツバチはこのように、人間とは異なる波長域の光を見ているが、その色覚には人間とかなり共通した生理的基盤があることが示唆される。ミツバチのほかにもマルハナバチをはじめハエ、アブ、チョウ、ガなどに色覚のあるものがいる。無脊椎動物においては、脊椎動物の錐状体細胞に相当する形態的に区別される視細胞は発見されていない。しかし、ミツバチの複眼には、緑受容細胞、青受容細胞、紫外受容細胞の3種が、また赤が見えるアゲハチョウでは、それに赤受容細胞と紫受容細胞を加えた、計6種の視細胞があるといわれている。

[村上 彰]

花の色と動物

ミツバチなどの昆虫の可視光域は人間とは異なるため、ミツバチの見る花の色は、人間の見る花の色とは異なっている。一方、花には、風によって花粉が運ばれて受粉する風媒花、昆虫による虫媒花、鳥による鳥媒花がある。風媒花は目だたず香りもない。虫媒花は種に特有のよく目だつ色によって虫を引き付け、受粉を成功させている。虫が花に引き付けられるのは、その色のためであることは、青い花を訪れるツリアブが、その傍らに置いた青い紙も同様に訪れることを示した実験などにより容易に示される。虫媒花の色は、受粉を媒介する昆虫の色覚にあった色をしているはずであり、可視光から長波長側にずれている赤色の花はほとんどない。しかし、ヒナゲシなどには虫媒花でありながら赤色をしたものがある。ミツバチも盛んにこの花を訪れる。けれども、傍らに置いた赤い紙は無視される。種々のフィルターを用いて写真を撮ることにより、この花が紫外光を強く反射していることが示された。ミツバチは、人間に見える赤とは異なる色、紫外光を見てこの花に飛んでくるのである。さらに、人間の目にはほとんど同じような黄色に見えるエゾスズシロ、セイヨウアブラナ、カラシの花の色をミツバチは区別することができるが、紫外光による写真撮影をすると、これらの花が紫外光をそれぞれ異なる割合で反射していることが示される。つまり、ミツバチにとってこれらは異なる色調がある「ミツバチ紫」の花に見えていることになる。

 虫媒花には蜜標(みつひょう)honey-guideとよばれる蜜の所在を示す特徴的な模様のあるものがあり、花を訪れる昆虫は、ハニー・ガイドの名のとおりこの模様が示す中心に導かれることが、花のモデルを使った実験によって明らかにされている。紫外光による写真撮影の結果、人間の目には何も見えなかった蜜標が、多くの花にあることが明らかになった。花の色に誘われてきたミツバチは、さらにその花の香りによって止まる行動が促される。逆に、あるチョウでは、花の色に誘引される行動が、花の香りによって解発(かいはつ)(動物が、同じ仲間どうしがもつ特性によって特定の行動を誘発されること)される。ミツバチなどが蜜のある花を探しているときには、ミツバチはある特定の花の色を探索している。多くの花の色のなかからミツバチは特定の花の色のみを選び、その花を訪れて能率的に蜜を集めるが、また、花のほうでは花粉を同種の花に運んでもらって受粉の目的を果たす。花粉を運ぶミツバチが次々に異なる種の花を訪れても、正常な受精は成立しない。ミツバチを誘引する花の色は、植物からミツバチに送られる信号の役割を果たしている。一方、ハチドリやタイヨウチョウのような鳥によって花粉が運ばれる鳥媒花では、紫外色を含まない真の赤い花が多く、青い花は少ないが、これは鳥類の目が赤によく反応する事実とよく対応している。

[村上 彰]

動物の体色

一方、動物の色に目を向けると、一般的に、色覚の発達した種では、体色が、同種間の異なる個体間の情報の伝達手段、つまり一種のことばとして働いている場合が多い。体色は、大きく隠蔽(いんぺい)色と標識色とに分けられる。隠蔽色とは、体色が背景の色や模様の間に溶け込んでしまうようなものをいい、保護色が含まれる。一方、標識色は体色が周囲から浮き出て見えるものをいい、警戒色、認識色、威嚇色などが含まれる。トゲウオの雄は繁殖期になると背が青白色、腹が赤色の婚姻色を示す。これは認識色の一種で、腹の赤色は雄に対しては攻撃を誘発し、雌に対しては産卵に至る一連の行動を引き起こすための鍵(かぎ)刺激として重要な役割を果たしている。また、セグロカモメの雛(ひな)は、親の嘴(くちばし)の先にある赤い模様に反応してこれをつつき、餌(えさ)をねだる。雛のつつく行動をおこさせる要因としては、親の頭などは必要とせず、嘴の赤い色にもっとも重要な意味がある。これらの例のように、色が種々の行動を解発する要因(リリーサー)として働いている場合が数多く知られている。

 軟体動物頭足類のコウイカの雄は、生殖期に他の個体と出会うと、体全体にはっきりとした縞(しま)模様を誇示する。もし相手が雄であると雄どうしの闘いが始まる。頭足類には、中心の色素細胞(イカでは茶、赤、黄がある)の周辺に放射状の細い筋繊維がついた独特の色素胞器官があり、数分の1秒以内に体色を変化させることができる。タコはこれによって体色を巧妙に背地の色にあった色(隠蔽色)に変えて身を隠す。タコの色素胞には、褐色、黄の2色がある。しかし奇妙なことに、行動の研究からも、網膜電図をとった実験からも、タコに色覚があることを示す確かな証拠は得られていない。隠蔽色発現の機構には、少なくとも一部分は、通常の色素胞器官の下層にある虹(こう)色素胞、白色素胞による受動的な光の反射が関係していることが示唆されている。そうであれば、タコは自らが識別しえない色調に体色を変えていることになる。

 魚類などの体色変化は、複雑な形をした色素胞の中にある色素顆粒(かりゅう)が、中心に集まったり(凝集)、周辺に移動したり(拡散)しておこる。このように色素胞の生理的応答による体色変化を生理的体色変化とよぶ。体色変化にはこのほかに、色素または色素胞の増減による形態的体色変化がある。

[村上 彰]

『藤井良三著『色素細胞』(1976・東京大学出版会)』『フォン・フリッシュ著、木下治雄監訳『ミツバチとの対話』(1979・東京図書)』『江森康文他編『色――その科学と文化』(1979・朝倉書店)』『市川宏編集・企画『眼科MOOK16 色覚異常』(1982・金原出版)』『日高敏隆著『動物の体色』(1983・東京大学出版会)』『日本色彩学会編『色彩科学事典』(1991・朝倉書店)』『池田光男・芦沢昌子著『どうして色は見えるのか――色彩の科学と色覚』(1992・平凡社)』『ジュール・ダビドフ著、金子隆芳訳『色彩の認知新論』(1993・マグロウヒル出版)』『『JIS Z 8721:1993 色の表示方法――三属性による表示』(1993・日本規格協会)』『金子隆芳著『色の科学――その心理と生理と物理』(1995・朝倉書店)』『日本色彩学会編『新編色彩科学ハンドブック』第2版(1998・東京大学出版会)』『飛田満彦著『色彩科学――色素の色と化学構造』(1998・丸善)』『内川恵二著『色覚のメカニズム――色を見る仕組み』(1998・朝倉書店)』『中原勝儼著『色の科学』改訂版(1999・培風館)』『『JIS Z 8701:1999 色の表示方法――XYZ表色系及びX10Y10Z10表色系』(1999・日本規格協会)』『『JIS Z 8720:2000 測色用標準イルミナント(標準の光)及び標準光源』(2000・日本規格協会)』『日本比較生理生化学会・寺北明久・蟻川謙太郎編『見える光、見えない光――動物の多様な生き方1動物と光のかかわり』(2009・共立出版)』『金子隆芳著『色彩の科学』(岩波新書)』



色(仏教用語)
しき

仏教用語。サンスクリット語やパーリ語のルーパrūpaの直訳。およそ人間の目に映ずるものは形あり色(いろ)あるものであるが、それをインドでは、形よりも色(いろ)の側面で取り上げてルーパというのである。それゆえに、仏教で色(しき)というときは、単にカラーのみならず、色(いろ)とともに形あるものをさすのである。スリランカのカラーテレビ放送は「ルーパ・ワーヒニー」Rūpavāhinī、すなわち「色を運ぶもの」(女性形)と称するが、色ばかりでなく形も映っている。このように目によって表象される色あり形ある存在は、多く物質に属するものであるから、色を「物質」ないし「物質的存在」と訳する向きもあるが、今日われわれが物質という目に見えない存在を理解するのとは異なり、より広い概念を指し示すことばである。また伝統的には、色は、転変し破壊するところから変壊(へんね)の義、または形質があって互いに障碍(しょうがい)するところから質碍(ぜつげ)の義に解釈される。『般若心経(はんにゃしんぎょう)』に「色即是空(しきそくぜくう)、空即是色(くうそくぜしき)」とあるのは、心理的存在はむろんのこと、形あり色あるものすら空である、つまりそれ自体によって存在をあらしめる自性(じしょう)を欠いたものであり、すべての存在は、縁起(えんぎ)によって存在するものである、ということをいわんとするのである。

[高橋 壯]

出典 小学館 日本大百科全書(ニッポニカ)日本大百科全書(ニッポニカ)について 情報 | 凡例

最新 心理学事典 「色」の解説

いろ

color,colour(英),Farbe(独)

色は物体や光の属性ではない。色は感覚の一種であり,眼に届いた光が眼や脳で処理された結果として,色という感覚(色覚color vision)が生じる。光や物体に対して感じる色は,観察時にどのような光が眼に届いているかだけでなく,それが視覚系でどのように処理されるかによっても規定される。このうち,眼に届く光の特性は,光を直接観察する場合にはその光の分光強度分布によって,物体の場合には物体を照らす照明光の分光強度分布と物体表面の分光反射率により決まる(20ページ図1)。

【色の基礎】 ヒトに光として知覚されるのは約380~760nmの波長の電磁波であり(20ページ図2),特定の波長の光だけを取り出してみると,その光は色づいて見える。ごく狭い範囲の波長のみを含む光を単色光monochromatic light,もしくはスペクトル光spectral lightとよぶ。単色光の色は波長に応じて変わり,短波長から長波長に向かって,すみれ→青→青緑→緑→黄緑→黄→橙→赤という連続的な変化をたどる。青色に見える短波長光と赤色に見える長波長光とでは光の波長のみが異なるが,感じられる色は青と赤というように質的に異なる。このことは,色が光の属性ではなく感覚であることを端的に示している。光の波長と色はある程度対応するため,ある光にどの波長光がどれだけ含まれているかによって,光に対して感じる色は変わる。波長の関数として光の強度を示したものを,分光強度分布spectral power distribution,あるいは分光エネルギー分布spectral energy distributionといい,これによって色に関する光の特性は記述できる。たとえば,図1の⒜に示した照明光(白熱電灯)は長波長領域のエネルギーが強く,橙色がかった光となる。

 照明からの光が物体に当たると,その一部は反射される。どの波長の光をどの程度反射するかを示したものが分光反射率spectral reflectanceである。この分光反射率が物体表面の色を決める主要な物理的要因である。今,照明の分光強度分布をE(λ),物体表面の分光反射率をR(λ)とすると,物体からの反射光の分光強度分布I(λ)は両者の積により求められる(図1を参照。λは波長を表わす)。

  I(λ)=E(λ)・R(λ)

図1の⒝はあるピーマンの分光反射率を示しており,緑色に見える中波長光を強く反射するため,反射光の分光強度分布においても中波長光が相対的に強い。

 色は,ピーマンの緑色のように物体表面に張り付いているかのように見える場合や,青空の青のようにどこに色が付いているのか位置関係がはっきりしないように見える場合など,さまざまな現われ方をする。こうした色の見え方の違いを,色の見えのモードmode of color appearanceの違いという。これまでさまざまな分類がなされているが,量も単純な分類としては,物体色モードと光源色モードに分ける。物体色モードobject color modeとは,ピーマンの例のように物体表面に色が付いているように見え,物体表面の属性として知覚される場合の色の見え方を指す。これに対して光源色モードlight source color modeとは,自ら発光しているように知覚される場合の色の見え方を指す。色の見えのモードは,通常は,実際に対象が光を発しているか反射しているかによって決まるが,物理的な条件ではなく観察条件によって決まることもある。たとえば,実際には色紙が光を反射している場合でも,暗黒中に単独で配置されると光源色モードとして発光して知覚される。逆に,カラーテレビの画面のように実際に発光している場合でも,周囲にさまざまな明るさや色の対象があると,物体色モードとして見える。色の見えのモードによって,色の広がり方や定位の明確さなどといった属性も変化するが,感じられる色そのものも変わる。たとえば,茶色や金色,銀色は物体色モードに特有の色であり,光源色モードで知覚されることはない。

 光の色は,色相,明るさ,彩度という三つの属性から成っている。色相hueは青や赤といった色合いのことであり,明るさbrightnessはその色がどれだけ明るいかを表わす。彩度saturation(飽和度ともいう)は,その色がどれだけ鮮やかであるかを表わす。たとえば,赤,ピンク,白の違いが彩度の違いである。色みを含んでいない白,灰色,黒の彩度はゼロであり,これらを無彩色achromatic colorとよぶ。それ以外の色は,有彩色chromatic colorという。光の色に対して物体色の三属性は,色相,明度lightness,彩度となる。明るさと明度の区別は難しいが,厳密には明るさは知覚される光の強度であり,明るい,暗いで表わすのに対し,明度は物体表面の見かけの反射率であり,白い,黒いで表わす。

 色の三属性は図3のような3次元空間(色立体)で表わす。色相は,可視範囲内の色相に紫を加えて,すみれ(青紫)→青→青緑→緑→黄緑→黄→橙→赤→赤紫→紫→すみれ…といった一連の閉じた円環形の推移として記述できる。色相の変化を円環で示したものを色相環hue circleとよぶ。色立体では,色相環の中心に無彩色を配置し,そこからどれだけ離れているかによって彩度を表わす。そして,色相環に直交する方向の変化で明るさや明度を表わす。

【色覚理論theory of color vision】 色刺激が視覚系でどのように処理されるかを説明する伝統的な色覚理論としては,三色説と反対色説を挙げることができる。

 三色説trichromatic theoryとは,3種類の光受容器の応答の組み合わせにより色の感覚を説明する色覚理論であり,19世紀初頭にヤングYoung,T.が提唱し,19世紀後半にヘルムホルツHelmholtz,H.L.F.vonが発展させ体系化した。三色説は,加法混色による等色実験に基礎をおく。加法混色additive color mixtureとは,複数の光を足し合わせる操作を指し,足し合わせる光を原刺激primary stimulusという。加法混色において各原刺激の割合を調整すると,別の光(検査光)の色と見かけ上は等しくすることができる。この操作を等色color matchingという。この際,混色光と検査光の分光強度分布は物理的に異なっているが,見かけ上は区別できなくなる。こうした等色を条件等色metameric color matchという。等色実験により,互いに独立な原刺激が3種類あれば,それらの加法混色により,任意の光と等色できることがわかっており,これを色覚の三色性trichromacyという。互いに独立とは,二つの原刺激の混色により残りの一つと等色できないことを指す。三色説によれば,色光は3種類の光受容器をある割合で応答させ,この応答の割合の違いにより色光の色が区別される。このため,たとえ物理的には異なる光であっても,光受容器に生じる応答が等しければ区別することができない。条件等色が生じるのは,このためである。

 反対色説opponent-color theoryは,19世紀後半にヘリングHering,E.によって提案された色覚理論である。今,赤色光に緑色光を混ぜていくと,赤緑色が知覚されることはなく,赤と緑は互いに打ち消し合う。このように赤と緑,そして黄と青は共存しないという観察から,ヘリングは,その背後にあるメカニズムを洞察した。反対色説によれば,視覚系には赤-緑過程と黄-青過程という2種類の色処理過程が存在し,光の波長に応じて互いに拮抗する応答を示す。極性の違いを正と負で表わすと,赤-緑過程で生じる正の応答が赤の感覚,負の応答が緑の感覚に対応する(応答の正負と色の組み合わせは恣意的なものである)。黄-青過程においても同様である。特定の光によって生じるのは正か負の応答のいずれかであるので,赤と緑,あるいは黄と青を同時に感じることはない。赤-緑過程と黄-青過程の応答の組み合わせで,色の感覚は説明される。このほかに,明るさの感覚を媒介する白-黒過程も仮定されている。こうした反対色過程を仮定することで,色順応においてある色光に順応するとその反対色(補色)に対する感度が相対的に向上すること,色残像(継時的対比)が刺激色の反対色となること,色対比現象(周囲との差を強調する方向に色が誘導される現象)において誘導色が反対色となること,などをうまく説明することができる。

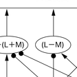
 三色説と反対色説は,当初は互いに対立する理論として優劣を競い合っていたが,その後の研究によりそれぞれの妥当性を示す証拠が示され,現在では段階説として統合されている。段階説stage theory of color visionとは,色覚を階層的処理によって説明する理論であり,現在のすべての色覚モデルはこの立場を取っている。図4は段階説の概要を示す。色刺激を処理する最初の段階は,光の受容を行なう錐体過程であり,ここでは三色説的な処理が行なわれる。錐体は,光を吸収してそれを神経信号へと変換する形で応答する。多くのヒトの眼には錐体が3種類存在し,どの波長領域に対して最も感度が良いかに応じてS錐体,M錐体,L錐体とよばれている。光が眼に届くと,各錐体の感度に応じて異なる強度の応答が生じる(図5)。

 その次の反対色過程color-opponent process(錐体拮抗過程)においては,異なる種類の錐体からの信号が比較される。反対色説で想定されていたような拮抗性応答は,網膜神経節細胞や外側膝状体の細胞などにおいて,ある範囲の波長光に対しては興奮性の応答(スパイク発射頻度の増加),別の範囲の波長に対しては抑制性の応答(スパイク発射頻度の減少)が生じるという形で,広く認められる。拮抗性応答を示す網膜神経節細胞は複数種の錐体から入力を受けており,錐体の種類と入力の符号(興奮性入力か抑制性入力か)により,大きく二つのタイプに分類される(図4)。一つは,L錐体とM錐体から拮抗性の入力を受ける細胞(L-M型細胞)であり,もう一つはS錐体とそれ以外の錐体から拮抗性の入力を受ける細胞[S-(L+M)型細胞]である。光の強度情報は,L錐体とM錐体から興奮性の入力を受けるL+M型細胞により伝達される。

 このように,段階説においては,三色説と反対色説に対応する処理過程が想定されているが,錐体過程や反対色過程における応答が直接的に色の感覚に結びついているという考えは現在では否定されている。それぞれの段階は,あくまでも色処理の中間段階に当たり,色の感覚が生じるためには,さらに高次の段階(高次過程)での処理が必要となる(図4)。大脳皮質における色処理は,現在盛んに研究されており,特定の色相や彩度に対応する狭い色範囲に選択性を示す細胞や,特定の色カテゴリーに選択性を示す細胞の存在が示唆されている。

【色覚型】 色覚の基本的な機能を,光の強度の違いとは独立に分光強度分布の違いを識別することだと考えると,これは,錐体が2種類あれば十分に実現できる。実際に,錐体(厳密には錐体視物質)を2種類しかもっていないヒトもおり,この場合の色覚を二色覚dichromatismという。いわゆる色盲のことであるが,色が区別できないわけではないので,この名前は適切ではない。二色覚は,等色の際に2種類(2色)の原刺激しか必要としないことから,かつては二色型色覚とよばれたが,色盲の名称を一掃するために日本医学会により改訂された色覚関連用語では,この名前が採用されている(表)。

 等色の際に3種類の原刺激を必要とするのが三色覚trichromatismである。三色覚者は,多数派を占める一般色覚者(正常色覚者)と,多数派とは等色の際の原刺激の混色率が異なる異常三色覚者anomalous trichromatに分かれる(異常三色覚は,かつては色弱とよばれていた)。混色率の違いは,ある錐体視物質の分光吸収特性が一般色覚者と異なることにより生じる。分光吸収特性の変化の程度はさまざまである。二色覚と異常三色覚に関しては,どの錐体視物質が欠けているか,あるいは分光吸収特性が変化しているかによって分類されており,L錐体,M錐体,S錐体に問題がある場合を,それぞれ1型,2型,3型という。さらには,錐体を1種類しかもっていないヒトもごくまれにおり,その色覚を錐体一色覚とよぶ。また,錐体をすべて欠いている色覚障害もあり,これを桿体一色覚という(表)。これらの場合には,色覚が成立せず,分光強度分布の違いを区別できない。

 二色覚や異常三色覚といった色覚異常color vision deficiencyのうち先天性のものは,L錐体もしくはM錐体に問題がある場合がほとんどである。これらの錐体視物質に関する遺伝子はX染色体に存在し,分子遺伝学的研究が進んでいる。S錐体視物質に関する遺伝子は,常染色体に存在する。疾病などによる後天性の色覚異常に関しては,S錐体過程に障害が現われることが多い。

 一般色覚者であっても,条件によっては色覚が制限される。視細胞のうち桿体は1種類しかないため,桿体のみが働く暗所では,だれでも分光強度分布の違いを色の違いとして区別できない。また,視野周辺部では色を見分けることはできなくなる。視野内で色を見分けることができる範囲を色視野color zoneとよぶが,色によって広さが異なり,赤,緑よりも,黄,青の方が広い。中心窩のさらに内側の中心小窩とよばれる領域(視角約20′)にはS錐体が存在しない。そこでの色覚を微小領域3型二色覚small field tritanopiaという。

 以上のようにヒトの色覚型は多様であり,あるヒトには見分けられる色の違いが別のヒトには区別できないといったことが起こる。このため,すべてのヒトに情報が適切に伝わるように配慮した視環境を構築し,色彩設計を行なうことが望まれる。こうした利用者の側に立ったデザインを,ユニバーサルカラーデザインuniversal color designという。具体的には,できるだけ多くのヒトが見分けることのできる配色を選ぶこと,色の違いだけでなく,記号や文字,形など他の視覚情報を同時に用いることなどが重要となる。

【表色系color specification system】 色を定量的に示す体系である表色系は,色の見えに基づく顕色系color appearance systemと,等色実験に基づく混色系color mixing systemとに分けられる。前者の代表例がマンセル表色系であり,後者の例が国際照明委員会Commission Internationale de l'Eclairage(CIE)により定められたXYZ表色系である。マンセル表色系Munsell color notation systemは,マンセルMunsell,A.H.が自らの観察を基に色の見えを体系化したのが始まりである。その後,アメリカ光学会によって,実験結果に基づいて修正された。これを修正マンセル表色系というが,「修正」を付けずによばれることも多い。図6の⒜のマンセル表色系は,物体の色(表面色)を表わす体系であり,色相,明度,彩度に対応するヒューhue(H),バリューvalue(V),クロマchroma(C)の値によって色を特定する。この三属性が,それぞれ等歩度(感覚的に等間隔)となるように数値化されている(ただし,異なる属性間ではスケールが異なるので,比較はできない)。

 三属性のうちヒューに関しては,図6の⒝に示されているように,基本色相である赤(R),黄(Y),緑(G),青(B),紫(P)を色相環上に等間隔に配置し,次にそれらの間に混合色の黄赤(YR),緑黄(GY),青緑(BG),紫青(PB),赤紫(RP)を等間隔に配置して,色相環が10等分されている。さらに,隣り合う色相の間を10等分し,その数字を色相名に付けることによって細かい色相の違いが表わされる。各色相を代表する色は5の付いた色相であり,たとえば5Rが最も赤らしい色となる。クロマは色みの量を表わし,無彩色でゼロとなる。無彩色は色相環の中央に配置される。そこから放射状に外側に延びる線が等色相線であり,中心から離れるにつれてクロマは大きくなる。バリューに関しては,黒をゼロ,白を10とし,感覚的に等間隔となるように目盛りが付けられている。マンセル表色系では,色をHV/Cのように指定する。たとえば,5BG 4/6の色は,ヒューが5BG,バリューが4,クロマが6ということになる。ヒュー,バリュー,クロマの値を感覚的に内挿することで,小数点以下の値も使用される。

 混色系では,3種類の原刺激をどのような割合で加法混色すれば等色できるかによって色を特定する。等色に必要な原刺激の量を三刺激値tristimulus valueといい,等エネルギーの単色光に対する三刺激値を等色関数color matching functionという。

 CIEによって1931年に提案されたRGB表色系は実際の等色実験との対応が明確であり,標準観測者standard observerという平均的な観察者を想定し,その等色データとして作られている。ただしRGB表色系には,一部で等色関数が負の値を取るという特徴があり,三刺激値の計算の際に厄介な問題を引き起こす恐れがあった。このためCIEは,等色関数がすべて正の値を取るXYZ表色系も提案した。XYZ表色系の等色関数を図7の⒜に示す。XYZ表色系の原刺激は,実用上の使いやすさを重視して選ばれており,等色関数のうちȳ(λ)は明所視の標準比視感度standard relative luminous efficiencyと一致する。色刺激を特定する三刺激値X,Y,Zの計算は,等色関数 x̄(λ),ȳ(λ),z̄(λ)と色刺激の分光強度分布E(λ)を用いて以下の式により行なう(は定数)。得られる三刺激値のうちは輝度値となる。



 混色系において,明るさを考慮せずに色のみを特定する場合に使用されるのが,色度座標chromaticity coordinateである。これは,各三刺激値を表わす軸から構成される直交座標系を考えたときに,色刺激を表わす色ベクトルと単位面との交点の座標である。色刺激の三刺激値をX,Y,Z,色度座標をx,y,zで表わすと,色度座標は以下の式で定義される。



x+y+z=1

 色度座標の和はつねに1となるため,通常は図7の⒝の単位面をxy平面に投影したxy色度図xy chromaticity diagramを色の表示に使用する。色度図上に単色光の色度座標を示したものをスペクトル軌跡spectral locusとよび,スペクトル軌跡の短波長端と長波長端をつないだ線を赤紫線purple lineという。実在するすべての色刺激の色度座標は,スペクトル軌跡と赤紫線で囲まれた領域内に位置する。

 XYZ表色系を用いれば色の特定と表示は可能であるが,色の違いを示すときに問題が生じる。表色系内で同じ距離だけ離れていても,色差が等しいとは限らないのである。こうした問題点を補正し,均等な(つまり,色空間内の距離が感覚的な色差と対応する)色空間を得ようとする試みがこれまで数多くなされている。CIEは1960年に,xy色度図を線形変換したuv色度図を,そして1976年にはこれを修正したu′v′色度図を採択した(図8)。この色度図では,補正の結果,図7の⒝に示したxy色度図と比較して,スペクトル軌跡の形状が変化している。CIEは,同じく1976年に物体色に関する均等色空間として,L***色空間とL***色空間を提案した。前者はu′v′色度図を継承する形で定義され,後者はそれとは別個に定義されている。u′v′色度図では色度座標のみを扱い2次元平面で色を表示するが,L***色空間とL***色空間は明度の軸を含む3次元空間で色を表示するため,色相,彩度,明度の違いをすべて扱える。ただし,L***色空間とL***色空間はともに,照明光ごとに定義されるものであり,異なる照明のもとでの物体の色の差を比較することはできない。

【色の諸側面】 色の三属性である色相,明るさ,彩度は,概念的には独立なはずであるが,この独立性は完全ではない。波長が一定であっても,光の強度が変わると色相が変わって見えることがあり,これをベツォルト-ブリュッケ現象Bezold-Brücke phenomenonという。一般に,光の強度が上がると黄や青の感覚が増し,逆に強度が下がると赤や緑の感覚が増す。ただし,特定の波長の光では強度変化にかかわらず色相が変化しない。これを不変色相invariant hueという。他にも,彩度によって色相が変わる現象があり,これをアブニー効果Abney effectという。ある波長の単色光に白色光を加えると,白色光の量に応じて光の彩度は変化する。この際,単色光の波長は一定であるので色相は変化しないと考えられるが,実際には彩度の変化とともに色相も変化することがある。さらに,輝度が等しくとも,彩度が高い光ほど明るく見えるヘルムホルツ-コールラウシュ効果Helmholtz-Kohlrausch effectも知られている。

 図1に示したように,物体からの反射光は,物体表面の分光反射率だけでなく,照明の分光強度分布によっても変わる。このため,分光反射率が一定であっても,照明が変われば反射光の分光強度分布も変化することになる。しかし,異なる照明のもとでも同じ物体は同じ色に見えることが多い。このように,照明の違いにもかかわらず,物体の色が比較的恒常に保たれる現象を色の恒常性color constancyという。色の恒常性は,形や大きさの恒常性とともに物体の区別や同定に重要な役割を果たしている。色の恒常性が成立するためには,物体の分光反射率の特徴を反映できるよう照明光の分光強度分布が十分に広帯域でなくてはならず,空間的文脈が豊かで視野内に分光反射率の異なる物体が複数存在することが重要である。色の恒常性のメカニズムとしては,錐体過程における色順応が重要な役割を果たしている。3種類の錐体は,それぞれが照明光に応じて独立に順応し,感度を変えるため,これにより照明光の分光強度分布の変化はかなり相殺できる。

 ヒトは,わずかな波長の違いを色の違いとして見分けることができる一方で,ある程度の違いがあったとしても,ある範囲内の色をまとめて同じ色(たとえば赤)として扱うことができる。こうした色処理をカテゴリカル色知覚categorical color perceptionとよぶ。バーリンBerlin,B.とケイKay,P.は,言語における色名の発達には国や文化によらない普遍性があり,よく発達した言語にはどれも,白,黒,灰,赤,緑,黄,青,茶,紫,橙,ピンクという11の基本カテゴリー色に対応する色名が存在するとした。これら色名の使用に関しては,同一個人内,あるいは個人間で一貫性が高く,色の命名の際の反応時間も短いことがわかっている。また,チンパンジーでも同様の色カテゴリーが確認されている。こうした異なる言語における色名の共通性により,基本カテゴリー色の神経基盤は生得的に決まっていることが示唆されるが,基本カテゴリー色の普遍性を否定する研究もあり,今後さらに研究が必要とされる。なお,色の記憶も色カテゴリーの影響を受け,記憶した色はカテゴリーの代表色に近づくことが知られている。

 色は他の感覚効果や印象を生じさせることもある。まず,暖かい,暑いという印象を与える暖色warm colorと,その逆に冷たいとか寒いという印象を与える寒色cold colorがある。赤や黄系統の色が暖色であり,青系統の色が寒色である。この他にも,色によって対象の奥行きや大きさが異なって見えることも知られており,たとえば物理的には同じ距離に置かれていたとしても,手前に見える進出色advancing colorと,逆に奥に引っ込んで見える後退色receding colorがある。色相が重要な規定因であり,暖色の赤や黄系統が進出色となり,寒色の青系統が後退色となる。この他にも,物理的には同じ面積であるのに,大きく膨らんで見える膨張色expanding colorと,その逆に小さく縮んで見える収縮色contracting colorがある。膨張色と収縮色に関しては,重要な規定因は明度であり,明度が高いほど大きく,低いほど小さく見えるとされている。 →明るさの知覚 →恒常現象 →視覚 →視覚刺激
〔木村 英司〕

出典 最新 心理学事典最新 心理学事典について 情報

普及版 字通 「色」の読み・字形・画数・意味


常用漢字 6画

[字音] ショク・シキ
[字訓] いろ

[説文解字]

[字形] 会意
人+(せつ)。人の後ろから抱いて相交わる形。〔説文〕九上に「顏气なり。人に從ひ、卩(せつ)に從ふ」とし、人の儀節(卩)が自然に顔色にあらわれる意とするが、男女のことをいう字。尼も字形が近く、親昵の状を示す。特に感情の高揚する意に用い、〔左伝、昭十九年〕「市に色す」は怒る意。「色斯(しよくし)」とはおどろくことをいう。

[訓義]
1. いろ、かおいろ、かおにあらわれる、けしきばむ。
2. いろどり、つや、つややか、おもむき、うつくしい。
3. おだやか、なごむ。
4. しな、たぐい。
5. 男女の情、なさけ。

[古辞書の訓]
立〕色 イロ・カタチ・サマハ 〔字鏡集〕色 イロ・イロノカタチ

[部首]
〔説文〕になど二字、〔玉〕に艷(艶)などを加えて十二字を属する。艷はの俗字である。

[熟語]
色調・色魔・色夷・色楽・色鬼・色候・色好・色荒・色斯・色色・色診・色寝・色人・色然・色沢・色胆・色聴・色・色頭・色難・色認・色物・色目・色容・色様・色養・色欲・色慾・色理・色類・色
[下接語]
異色・雲色・慍色・悦色・怨色・遠色・寒色・間色・顔色・気色・飢色・喜色・色・脚色・漁色・驕色・景色・血色・月色・原色・古色・五色・好色・江色・国色・才色・彩色・菜色・山色・慙色・姿色・辞色・失色・酒色・秀色・秋色・愁色・出色・春色・潤色・女色・神色・水色・翠色・正色・生色・声色・盛色・設色・絶色・染色・色・色・褪色・黛色・着色・天色・特色・難色・配色・敗色・美色・風色・服色・物色・変色・暮色・墨色・本色・暝色・面色・夜色・野色・愉色・幽色・憂色・容色・柳色・令色・麗色

出典 平凡社「普及版 字通」普及版 字通について 情報

ブリタニカ国際大百科事典 小項目事典 「色」の意味・わかりやすい解説


いろ
colour

ヒトの眼に見える可視光は波長 380~780nmの範囲にある。光のエネルギーが狭い波長範囲に集中した単色光では,波長の長いほうから順に赤,橙,黄,黄緑,緑,青,紫の色感を与える。白色光ではあらゆる波長の光がほぼ一様に分布している。光の波長分布がわかれば色が決まるが,逆に色がわかってもその光の波長分布は決まらず,一つの色を与える波長分布は無限にある。このように色は単純な物理量ではなく,生理的・心理的な感覚量である。三色説では,赤,緑,青紫の三原色の色刺激に感じる 3種の受光器(錐状体)が眼に存在していると仮定し,これら三つの色刺激が混合して色感を生じると考える。この説を確証するものとして,1960年代に進歩した顕微分光測光の技術により,長波長(赤),中間波長(緑),短波長(青紫)の光で最大の吸収を示す 3種の錐状体の存在が確認されている。色感には,ほかにヘリングの色覚説,四原色説,五原色説などもあり,それぞれを支持する実験事実もあって,確立された色覚説はいまだにない。
一つの色は種々の波長の光を適当に加減してつくることができ,混色の方法も一義的に定まらないが,指定された三つの色光の混合によってつくるとすれば混色の割合が一義的に定まる。色光を定量的に表示するのに用いられる CIE表色系は国際照明委員会 CIEが設定し,国際的に協約された三つの原色光の混合による表示法である。物体の色は表面からの反射光の色であって,その明るさは表面の反射率によって決まる。表面色は,視覚の心理的感覚を表す三つのパラメータ,明るさを表す明度,色の質を表す色相と彩度(飽和度)を用いても体系化される。1915年アルバート・H.マンセルはそれに基づいて多数の標準色票を作成した(→マンセルの表色系)。これらを三次元的に配列したものを色立体という。試料片の表面色を指定するには,試料表面と標準色票との色を標準光源の照明のもとで眼視比較し,色が一致した色票の番号で示す。CIE表色法では,三つのパラメータに対応する量として順に視感反射率,主波長,純度を用いて定量的に色を扱う。主波長と純度で表示される色の質(色度)を二次元図で表現したのが色度図である。
色は絵画として昔から親しまれ,塗料,染色織物,カラー印刷物,カラー写真,カラーテレビジョンなどとして生活環境を形成し,また心理的・生理的にも現代生活に深く関与しているが,前述のような標準的な表色法が確立されたのは 1930年代のことである。


しき
rūpa

仏教用語。 (1) 五蘊のうちの色蘊。生成,変化する物質的存在の総称。 (2) 狭義には物的存在の諸属性のうちの「いろ」と「かたち」をさす。眼根の対象となるもので,色境,色処,色界をいう。

出典 ブリタニカ国際大百科事典 小項目事典ブリタニカ国際大百科事典 小項目事典について 情報

山川 世界史小辞典 改訂新版 「色」の解説

色(いろ)

古来から,さまざまな色が魔除けや吉兆など呪術的意味をこめて,身体や衣服の装飾,建築物の塗装などに使われてきた。同時に,色は歴史的に身分や位階など社会集団内での区分や差別に,また国旗のように国家や共同体の統合シンボルにも使われてきた。それぞれの色がどのような意味を持つかは,時代や文化圏で違いがあり,例えば黄色は中国では皇帝の色とされたが,ヨーロッパではユダヤ人を社会的に排除し,差別する色として利用された。他方では,古代ローマでは紫が皇帝の占有色とされ,東洋でも紫は高い身分の象徴として使われたように,地域や時代をこえた共通性がみられる場合もある。ヨーロッパでは,近代になると色が政治的立場やイデオロギーを象徴するものにもなった。赤が革命を,白が反革命を表現するようになったのは,その代表的例である。イスラーム世界についてみると,コーランには,色が象徴する意味についての言及はみられない。しかしムハンマドが緑の旗を用いた故事にもとづいて,緑のターバンは預言者の子孫を示すものとされた。純血や高貴さを示す白はウマイヤ家の色として軍旗やターバンに用いられ,この王朝に反逆するアッバース家はその象徴として黒を採用した。また,ムスリムと区別するために,ユダヤ教徒が黄色,キリスト教徒が青色のターバンの着用を義務づけられることもあった。中国では古来より人類に欠くべからざるものとして五行(ごぎょう),すなわち木火土金水を重んじ,それぞれいろいろなものに配当した。色もまた,その一環とし青赤黄白黒の五色が正しい色として重んじられた。前述のように黄は中央に位置したことから皇帝の色とされた。また,赤は赤眉(せきび)の乱紅巾(こうきん)の乱など,しばしば農民反乱のシンボル色となった。五行はまた季節(春,夏,土用,秋,冬),方位(東,南,中央,西,北),感情(喜,楽,慾,怒,哀),数(八,七,五,九,六)などにも適用されたことから,青赤黄白黒がそれぞれ順番にそれらの特徴をなす色と考えられた。

出典 山川出版社「山川 世界史小辞典 改訂新版」山川 世界史小辞典 改訂新版について 情報

百科事典マイペディア 「色」の意味・わかりやすい解説

色【いろ】

光の波長に関するエネルギーの差によって質の差が認められる視覚を色覚といい,色覚を起こす光を色刺激というが,色とは色覚と色刺激の両方をさす。また,光源または物体の特性も表す(光源色,物体色)。波長約380nm〜810nmの単波長の光は順に紫青緑黄赤などの色(スペクトル色)を呈する(可視光線)が,現実の光は種々の波長の光を含み,その混合の割合(光の分光組成)で色が決まる(加法混色減法混色)。物体の色はふつう可視光線の一部を(選択)吸収して残りを反射または透過するため生ずる。色は色相明度彩度の三基本属性をもち,それらの数値により正確に表示される(オストワルト表色系,CIE表色系,色名マンセル表色系)。
→関連項目NTSC方式原色

出典 株式会社平凡社百科事典マイペディアについて 情報

化学辞典 第2版 「色」の解説


イロ
color

可視光(およそ380~780 nm)が人の目に入って生じる感覚.可視光に作用するタンパク質を視紅(ロドプシン)というが,この視紅を含む,赤,緑,青に強く感じる3種類のすい状体があり,視覚はこれらの混合によっていろいろな色を識別していると考えられている.

出典 森北出版「化学辞典(第2版)」化学辞典 第2版について 情報

[日本酒・本格焼酎・泡盛]銘柄コレクション 「色」の解説

しき【色】

岐阜の日本酒。燗酒が好きだったという芸術家・池田満寿夫とともに商品企画された本醸造酒。ラベルデザインも池田による。味わいは飲みあきしない辛口。原料米はひだほまれ。仕込み水は飛騨山脈の伏流水。蔵元の「老田酒造店」は享保年間(1716~1736)創業。所在地は高山市清見町牧ヶ洞。

出典 講談社[日本酒・本格焼酎・泡盛]銘柄コレクションについて 情報

世界大百科事典(旧版)内のの言及

【楽譜】より

…リズムの組合せは4種類あるが,その区別を示すシグヌムsignum(曲頭におかれる,今日の拍子記号に相当する記号)は付されないのが普通である。14世紀も末になると,複雑なシンコペーションや変則リズムを示す〈点〉(プンクトゥスpunctus)や着色した色符(コロルcolor)を多用した技巧的な作品が作られている。(3)14世紀イタリア記譜法 フランスの初期定量記譜法を基礎としているが,6通りの基本的なリズムを表示することができ,曲頭にはシグヌムが置かれてリズム型を示している。…

【色素】より

…一般に色素という定義は判然としていないが,通常はその物質に特有の色を呈し他の物体に色を与える物質を指す。固有の色をもつ物質であっても,色の濃さが著しく小さいものは色素とはいい難い。色素と総称されるものには,動物や植物より得られる天然色素(生体色素),天然物である鉱物をごく簡単な処理で加工した鉱物色素,無機の原料より化学的操作を経て着色を目的として造られた無機顔料,有機合成によって製造された有機工業色素が含まれる。…

【儀礼】より

…しかし,19世紀末以降の人文・社会科学,ことに民族学者・社会人類学者らによる調査と研究は,この言葉により深い意義と広がりとを与えた。すなわち,儀礼という行動様式は,ふだんの生活とは異なった時間と空間の中で行われ,さまざまな歌や踊り,色鮮やかな衣装や飾り物などを伴って,ある場合は荘厳な雰囲気を,またある場合は陽気な喧噪状態を作りだし,日常生活の中の言語や通常の技術的道具などでは表し伝ええない,社会の連帯といった価値や,結婚・死といった重大なる事件を明確に表現し,心に強く刻みこむ働きを持つ,ということが明らかになった。そしてある種の経済的交換,集団間の戦争,さらには社交や挨拶など直接には宗教と無関係の活動にまで儀礼という言葉の意味するところを広げ,これらの中に儀礼的要素を見いだし,もしくは儀礼的側面から理解しようとするようになった。…

【化粧】より

…主として顔およびその周辺の皮膚に色彩を施したり,光沢を付加したりする装身行為をさすが,広義にはボディ・ペインティングなどの身体装飾,抜歯や入墨などの身体変工を含めた装身行為をさす。また最近では,〈美容〉という言葉を化粧と同義に用いることもあるが,これは化粧だけでなく,化粧の予備行為を含んでいる。…

【身体装飾】より

… ボディ・ペインティングは最も手軽な身体装飾として熱帯地方の原住民をはじめとして広く行われている。鉱物性や植物性の顔料(白土,黄土,赤土,墨,植物の色汁など)を,獣脂で練ったりして用いる。全身あるいは身体の一部に彩色するが,顔面(とくにほお),胸,胴体部などが多い。…

【名】より

…〈恥〉や〈罪〉は,それぞれの文化を背負った人々が概念化し,その特殊な概念に名を与えたものである。 時間,空間,色などに関する名は,名付ける側の文化的規定性と名付けられる対象自体の性質の中間に成立するものであろう。たとえば,時間そのものは連続的なものであり,それをどのように分節するかによって異なった概念および名が出現する。…

【五蘊】より

…サンスクリットでは,パンチャ・スカンダpañca‐skandhaという。生命的存在である〈有情(うじよう)〉を構成する五つの要素すなわち,色(しき),受(じゆ),想(そう),行(ぎよう),識(しき)の五つをいう。このうち(ルーパrūpa)には,肉体を構成する五つの感覚器官(五根)と,それら感覚器官の五つの対象(五境)と,および行為の潜在的な残気(無表色(むひようしき))とが含まれる。…

【仏教】より

…前者は南伝,後者は北伝の資料に基づく計算であるが,目下のところ,いずれかに正否を断定できる資料はない。
[宗教的特色]
 釈迦在世時のインドでは,正統派の宗教家たるバラモン(婆羅門)と並んで,沙門(しやもん)(シュラマナ)と呼ばれる多種多様な宗教家,思想家がおり,なんらかの方法で輪廻(りんね)からの解脱を求めて修行し,またその道を説いていた。釈迦もまた,この出家遊行して乞食によって生活する沙門の道を選び,また修行方法として,身心を苦しめ鍛えて超能力を得る苦行の代りに,精神の統一,安定によって真理を直観する禅定(ヨーガと同じ)を採用した。…

※「色」について言及している用語解説の一部を掲載しています。

出典|株式会社平凡社「世界大百科事典(旧版)」

「歓喜の歌」の合唱で知られ、聴力をほぼ失ったベートーベンが晩年に完成させた最後の交響曲。第4楽章にある合唱は人生の苦悩と喜び、全人類の兄弟愛をたたえたシラーの詩が基で欧州連合(EU)の歌にも指定され...

ベートーベンの「第九」の用語解説を読む