固体が液体に変わる融解のおこる温度。一定圧力のもとでは一定温度でおこる。液体が固体に変わる温度、凝固点に等しい。厳密にいえば一定の圧力のもとで固体の融解が無限にゆっくりと行われて、固相と液相とが平衡を保っている温度である。融点は固体物質中での原子間あるいは分子間の結合力の強さの目安であり、一般に金属、酸化物、炭化物などは高い融点を有し、ファン・デル・ワールス結合結晶や有機化合物の融点は低い。一般に混合物の融点は純粋な物質のそれよりも低くなることが示されており、融点降下または凝固点降下(氷点降下)とよばれている。2種以上の成分からなる系の組成と融点の関係を表す図、すなわち融点図は合金などの平衡状態図の重要な部分をなしている。一般に合金などでは平衡を保って共存する固相と液相の組成が異なるので融点図はの(1)のように二つの曲線よりなる。ここで液相と固相とが平衡を保つ温度を液相の組成に対して描いたものが液相線であり、固相の組成に対して描いたものが固相線である。両者は純粋成分となる両端において一致するが、の(2)のように中間の組成でもう一度一致する場合もある。
[平野賢一]
出典 株式会社平凡社百科事典マイペディアについて 情報
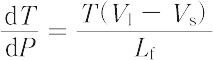
純粋な結晶性固体が徐々に熱せられたとき,急激に液体になるときの温度.一定圧力のもとでは固体によって一定の温度を示す.圧力Pと融点T(絶対温度)との関係は式,

で表される.ここで,Vl,Vs はそれぞれ液体と固体のモル体積を表し,Lf はモル融解熱を表す.
出典 森北出版「化学辞典(第2版)」化学辞典 第2版について 情報
「融解」のページをご覧ください。
出典 ブリタニカ国際大百科事典 小項目事典ブリタニカ国際大百科事典 小項目事典について 情報
…
[熱的性質]
高分子化合物を加熱して液体(融液)とし,温度を下げていくと部分的に結晶が生成する。このときの温度がその高分子化合物の融点である。さらに温度を下げていくと,もう一つその物質の性質に変化の起こる点が観測される(図3)。…
…氷が融解して水になる場合は,1g当り約80calの熱が必要である。一定圧力のもとで,物質の固体と液体の相が平衡に存在する温度を融点,または融解点と呼び,これは一般に凝固点に等しい。記号ではmelting pointの略でmpと表す。…
※「融点」について言及している用語解説の一部を掲載しています。
出典|株式会社平凡社「世界大百科事典(旧版)」
目次 飼養文化 北アメリカ 北方ユーラシア偶蹄目シカ科の哺乳類。北アメリカでは野生種はカリブーcaribouと呼ばれる。角が雄だけでなく雌にもふつうある。体長130~220cm,尾長7~20cm,...