重力が作用する空間。真空の空間を飛び越えて重力が働くという引力の作用を記述するための関数として、ポテンシャルという量が導入され、のちにこれが重力場の概念に発展した。重力ポテンシャルとは、重力の源である物体が他の位置にある物体に及ぼす力を、あらかじめ位置の関数として指定しておく量である。たとえば質量Mの球体のポテンシャルは、その中心からの距離に反比例し、Mとニュートン重力定数に比例する。このようにニュートン重力理論における重力場は、力を記述する補助手段にすぎないが、一般相対性理論における重力場は、電場、磁場と同じくエネルギーを伴った物理実体である。そして重力場のエネルギーの伝播(でんぱ)が重力波である。また重力場は時間・空間の計量と関係し、曲率をもった時空構造をつくりだす。力の統一理論(統一場理論)の観点からみると、重力場は時空の対称性に由来するゲージ場であるとみなすことができる。
[佐藤文隆]
『内山龍雄編『相対論的重力場の理論』(1975・日本物理学会)』▽『木村利栄・太田忠之著『古典および量子重力理論』(1989・マグロウヒル出版)』▽『中西襄著『場と時空』(1992・日本評論社)』▽『鈴木基司著『ゲージ量子重力場理論入門』(1993・時事問題解析工房)』▽『窪田高弘・佐々木隆著『相対性理論』(2001・裳華房)』▽『大槻義彦編、坂東昌子・中野博章・古沢明・天谷喜一・小野寺昭史著『現代物理最前線5』(2001・共立出版)』
ニュートンの万有引力は二つの質点の間に直接働く力とも考えられる(遠隔作用)が,途中の空間に存在する場によって媒介されると考えること(近接作用)もできる。すなわち,一方の質点は,そのまわりの全空間に,距離の2乗に反比例し,放射状の方向をもつ場をつくり出し,もう一つの質点は,その場所における場から力を受けると考えるのである。この場が重力場であるが,このような近接作用の考え方のほうが,電磁気学や,その他の物理法則と調和させやすい。また量子力学によれば,粒子は波としての性質もあわせもっており,この点からも場の考え方は重要である。現在の素粒子論は,すべて場の記述法に基づいている。このような場の理論の原型が重力場の理論にみられるが,ニュートン自身は,遠隔作用の立場をとっていたといわれる。しかし,場が,単なる記述法を超えて物理的実在であることを示すのは,その振動が,波動として空間を有限の速さで伝わる過程においてである。光,電波などの本性である電磁波がその実例である。それでは重力波もそのような性質を備えているであろうか。答えは,ニュートンの理論を拡張したアインシュタインの一般相対性理論によって与えられる。この理論によれば,真空中を光速で伝わる重力波が存在するはずである。
→重力波 →相対性理論 →場
執筆者:藤井 保憲
出典 株式会社平凡社「改訂新版 世界大百科事典」改訂新版 世界大百科事典について 情報
gravitational field
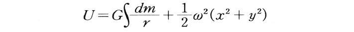
重力はポテンシャルをもつ量で,重力ポテンシャル(gravity potential)の場を重力場という。直交座標において,点P(x, y, z)における質量dmによるポテンシャルUは次式で表される。ここにGは万有引力定数,ωは地球自転角速度。
積分を全地球について行えば,高次の項を省略して,
となる。Mは地球の全質量,K=〔C-(A+B)/2〕/M, A, B, Cは茂x, y, zについての慣性モーメント。このUを地球半径方向について微分すれば重力を得る。重力場は地球内部の物質分布により決定されている量であるから,逆に重力場を知ることにより地球内部の物質分布を知りうる。
執筆者:藤井 陽一郎
出典 平凡社「最新 地学事典」最新 地学事典について 情報
出典 ブリタニカ国際大百科事典 小項目事典ブリタニカ国際大百科事典 小項目事典について 情報
…ここで到達距離λは,中間子の質量μとλ=ħ/μcという関係にある(ħは,プランク定数hを2πで割ったもの)。
[重力場の理論]
特殊相対性理論以後のもう一つの発展は,アインシュタイン自身による一般相対性理論およびそれに基づく重力の理論である。ニュートンの重力は,静電気力と同じく遠隔作用的な力と考えられていたが,一般相対性理論では,完全に近接作用論的な場の理論として定式化される。…
※「重力場」について言及している用語解説の一部を掲載しています。
出典|株式会社平凡社「世界大百科事典(旧版)」
二十四節気の一つで,二至 (夏至,冬至) ,二分 (春分,秋分) として四季の中央におかれた中気。元来,春分は太陰太陽暦の2月中 (2月後半) のことで,太陽の黄経が0°に達した日 (太陽暦の3月 2...