小さい分子が互いに多数結合して巨大な分子,すなわち高分子となることを重合という。このとき出発物の小さい分子をモノマーmonomer(単量体),重合の結果生成する高分子をポリマーpolymer(重合体)という。そのポリマーの分子におけるモノマーからの構成単位の数を重合度という。
2種類以上のモノマーの間で起こる重合を共重合といい,また重合の逆,すなわちポリマーがモノマーに分解することを解重合という。重合は一般にモノマーの間に共有結合が生じることによって起こり,そのような変化が起こる反応を重合反応という。重合反応には,付加重合,縮合重合,重付加,開環重合,付加縮合などがある。
付加重合反応を行うモノマーは,それ自身で互いに付加しうるような反応性の基をもつ化合物で,不飽和結合,とくに炭素-炭素二重結合をもつ化合物がその代表である。例としてエチレンの重合によるポリエチレンの生成反応を示す。

付加重合においては,一般に,重合反応をひき起こすための重合開始剤をモノマーに少量添加する。重合開始剤は適当な条件(温度など)において反応性のきわめて高い中間体を与えることのできる化合物であり,代表的なものは分解してラジカル(フリーラジカル,遊離基)を生じるラジカル開始剤である。よく用いられるラジカル開始剤のタイプに,過酸化物(過酸化ベンゾイルなど)とアゾ化合物(アゾビスイソブチロニトリルなど)がある。
たとえばアゾビスイソブチロニトリルの場合,加熱すると次のように分解してラジカルを生成する。
開始剤から生じたラジカルはモノマー(たとえばスチレン)の不飽和結合に付加反応をして再びラジカルを生じる。ラジカルをR・と書くと,
このラジカルが次々と(連鎖的に)多数のモノマー分子に付加することによって,非常にはやく重合度が大きくなる。
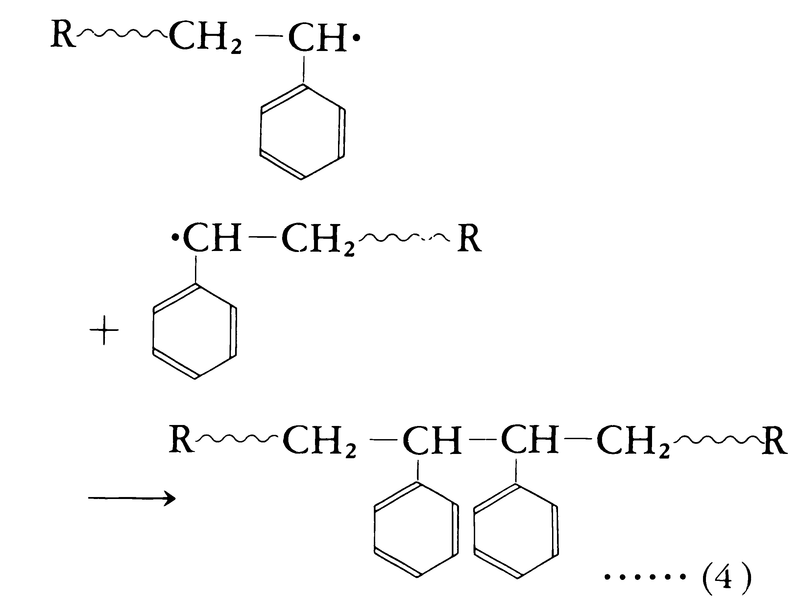
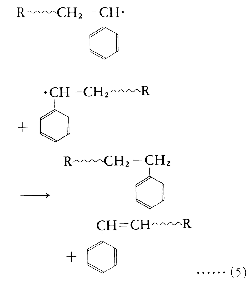
このようなラジカルどうしが反応することによってラジカルは消滅して反応は停止し,ポリマー(この例ではポリスチレン)が生成する。すなわち,
あるいは,
このような反応機構で起こる付加重合反応をラジカル重合radical polymerizationといい,反応(2),(3),(4)および(5)をそれぞれ開始反応,成長反応,停止反応という。
ラジカルは反応性が高いため,モノマーの不飽和結合以外に,反応系に存在する種々の物質と反応することもしばしば起こる。たとえば溶媒SHの水素原子を引き抜いて溶媒からのラジカルS・を生じ,これが再び反応(2)におけるR・と同様に重合反応を開始することがある。
この場合R・で開始された反応の連鎖がS・へ移った形になるので,これを連鎖移動反応chain transfer reactionという。
開始剤から反応性の高いイオンが生じ,それによってひき起こされる付加重合もあり,イオン重合ionic polymerizationという。そのイオンがカチオン(陽イオン)であるかアニオン(陰イオン)であるかによって,それぞれカチオン重合,アニオン重合と呼ぶ。カチオン重合の開始剤としては酸が,アニオン重合の開始剤としては塩基や有機金属化合物が,それぞれ働く。開始剤のかわりに,光や放射線のエネルギーによって重合反応が起こることもある(光重合,放射線重合)。
実用的な高分子の製造において行われている付加重合反応の多くは,ラジカル重合である。ラジカル重合の実際的方法としては,塊状重合,溶液重合,懸濁重合および乳化重合がある。塊状重合はモノマーに開始剤を加え,加熱,重合させる方法で,有機ガラスとして知られるポリメタクリル酸メチルの製造で行われている。溶液重合では有機溶媒を用いて重合反応を行い,ポリマーの溶液が得られる。ポリマーを分離するには溶媒を除去するが,ポリマー溶液をそのまま塗料や接着剤として利用する用途もある。懸濁重合では水を媒体として用い,モノマー(ふつう水に溶けない)を激しくかき混ぜて小さい油滴として懸濁させ,開始剤を加えて重合させる。ポリマーは小球状で得られ,ろ過で簡単に分離できる。乳化重合では同じく水を媒体とし,界面活性剤を用いてモノマーを乳化させ,水に可溶な開始剤を加えて重合反応を行う。ポリマーも乳濁液として得られ,塩析によって粉末状で分離できる。懸濁重合と乳化重合は水を媒体とするので反応の制御も容易であり,工業的方法として多く行われている。スチレンや塩化ビニルの重合はおもに懸濁重合法で行われ,種々の合成ゴムの製造は乳化重合法に基づいている。イオン重合では,ラジカルと異なりイオンが水と反応するので,水を媒体とすることはできない。そこで主として溶液重合が行われる。低圧法ポリエチレンやポリプロピレンはこの方法で製造されている。これらの場合モノマーは気体なので,気相重合も行われる。
重縮合(縮重合)polycondensationともいう。縮合重合反応(重縮合反応)では,同一分子の中に2個の反応性基をもつ化合物の分子の間で反応が起こって高分子が生成し,同時に小さい分子の生成物が副生する。すなわち縮合反応(縮合)を仲立ちとしてポリマーが形成される。次に一例を示すが,この場合の副生分子は水である。
この反応は加熱によってゆっくりと進み,副生する水を除去することによって重合度の大きい高分子となっていく。この例では反応生成物(ポリマーと水)と出発物(モノマー)との間には平衡があるので,水を除去しないと反応は進まず,重合度も大きくならない。また,2種類の反応性基(水酸基とカルボキシル基)を当量にすることが,大きい重合度の生成物を得るための条件である。一方が過剰であると,少ないほうの反応性基が全部反応してしまい反応が止まるからである。
この例のように加熱した状態では生成したポリマーも溶融しているので,加熱溶融重縮合という。縮合重合は一般にこの方法で行うことが多い。ナイロン6,6の製造もその例である。
モノマーの反応性基の反応性が高い場合には,反応を低温で行うことができる。低温溶液重縮合や界面重縮合がそれで,界面重縮合では異なる反応性基をもつ2種のモノマーをそれぞれ有機溶媒と水(互いに混じり合わない)に溶かし,その界面でポリマーの生成反応を行わせる(図)。これらの方法は,たとえば融点が高くて加熱溶融重縮合反応が行えないような高分子(耐熱性高分子)の製造に用いられる。
付加反応のくり返しによるポリマー生成反応で,反応の進み方は縮合重合反応に似ている。

環状化合物の環が開くことによってポリマーが生成する反応。開始剤(触媒)が必要で,付加重合反応と似ている。

付加反応と縮合反応の両方が起こってポリマーが生成する反応。下に示す例の場合,モノマーの一つであるフェノールは3ヵ所で反応するので,生成物は線状ではなく網目状の分子となる。

執筆者:井上 祥平
出典 株式会社平凡社「改訂新版 世界大百科事典」改訂新版 世界大百科事典について 情報
天然の高分子物質のうちセルロース、ゴムなどや、合成高分子物質のすべては小さい化学的集団の単位(単位化合物)の繰り返しによってできている。この単位化合物を単量体(モノマーmonomer)とよび、この単量体が統計の法則に従って多数個結合して高分子物質をつくっている。このときできあがった高分子を重合体(ポリマーpolymer)といい、また重合体を構成している単量体の数を重合度ともよんでいる。重合とは、この重合体をつくりあげる化学反応を総称している。なお、2種類以上の単量体が重合することを共重合といい、重合体が単量体に分解することを解重合という。
[垣内 弘]
付加重合とは、単量体の組成式と構造が繰り返し単位としてそのまま現れて重合体を生成する反応。単量体組成から分子が脱離せずに反応が進行するのでこのようによばれる。このとき重合反応を支配する原動力がラジカル(フリーラジカル、遊離基ともいう)のときラジカル重合とよび、イオンのときはイオン重合である。イオン重合ではカチオン(陽イオン)とアニオン(陰イオン)のいずれかが反応の原動力となり、前者をカチオン重合、後者をアニオン重合とよんでいる。いずれも連鎖反応として進む一般的な重合反応であり、原子の移動を伴わずに、低分子量の単量体から数万という線状の高分子量物質を形成していくきわめて効率のよい反応である。
[垣内 弘]
環化重合は環を形成しながら重合する反応で閉環重合ということもある。この反応には、たとえばジビニルアセタールをラジカル重合させて環状構造をもったポリマーをつくる例がある。この環状ポリマーを加水分解すると100%水酸基をもったポリビニルアルコールになる。
[垣内 弘]
開環重合は酸素、窒素、硫黄(いおう)などを環中に含んだ環状化合物を開環させて線状ポリマーにする反応である。機構的には大部分がイオン反応である。
[垣内 弘]
水素移動重合における単量体の組成式は重合体の繰り返し単位と変わらないが、水素原子の移動のおこっているような重合である。水素原子の分子内移動による分子内異性化と連鎖成長反応が交互に進む。カチオン重合およびアニオン重合の特殊な場合として現れる。また、ポリウレタンをつくる反応は水素移動共重合で、重付加ともいわれている。
[垣内 弘]
脱離重合は単量体組成から分子が脱離して重合体になっていく重合例である。また、脱水素重合は比較的酸化を受けやすい単量体を酸化剤とともに加熱して重合体をつくる。酸化剤として酸素、過酸化物あるいは塩化銅(Ⅰ)(塩化第一銅)などが用いられる。脱窒素重合にはジアゾアルカンやジアゾニウム塩の重合例がある。いずれも重合はラジカル的に進行する。
[垣内 弘]
重縮合はポリ縮合ともいわれ、他の重合とはやや異なった反応型式をとる。すなわち、2分子間で水が脱離してエステルを生成する反応の繰り返しにより、段階的にゆっくりと大きな分子量のものに成長する。6,6-ナイロンやテトロンの製造がその例である。
[垣内 弘]
付加縮合とは、形式的にフェノール樹脂やユリア樹脂(尿素樹脂)などの生成反応をいう。付加反応と縮合反応を繰り返して成長していく。最後の生成物は三次元の構造をもった網目状に成長している。
[垣内 弘]
『井本立也・李秀逸著『重合反応工学』(1970・日刊工業新聞社)』▽『三枝武夫ほか編『講座重合反応論』全12巻(1971~1974・化学同人)』▽『三枝武夫著『化学のレビュー 重合の開始』(1972・至文堂)』▽『高分子学会編『高分子実験学第4巻 付加重合・開環重合』(1983・共立出版)』▽『井上賢三著『高分子化学』(1994・朝倉書店)』▽『高分子学会編『新高分子実験学2 高分子の合成・反応1――付加系高分子の合成』(1995・共立出版)』▽『井上祥平著『高分子合成化学』(1996・裳華房)』▽『井上晴夫ほか編、中条善樹著『基礎化学コース 高分子化学1 合成』(1996・丸善)』▽『化学工業会編『化学工業便覧』改訂6版(1999・丸善)』▽『蒲池幹治・遠藤剛著『ラジカル重合ハンドブック 基礎から新展開まで』(1999・エヌ・ティー・エス)』▽『日本化学会編『実験化学講座28 高分子合成』(1999・丸善)』▽『高分子学会編『ポリマーフロンティア21シリーズ 高分子科学と有機化学とのキャッチボール――新規重合反応および新構造・機能の開発を目指して』(2001・エヌ・ティー・エス)』▽『遠藤剛・三田文雄著『高分子化学』(2001・化学同人)』

付加重合の基本型

付加重合(環化重合)

付加重合(開環重合)

水素移動重合(カチオン的水素移動重合)

水素移動重合(アニオン的水素移動重合)

水素移動重合(水素移動共重合)

脱離重合(脱炭酸重合)

脱離重合(脱水素重合)

脱離重合(脱窒素重合)

脱離重合(重縮合)
出典 株式会社平凡社百科事典マイペディアについて 情報
出典 ブリタニカ国際大百科事典 小項目事典ブリタニカ国際大百科事典 小項目事典について 情報
高分子を生成する反応あるいは現象.もともとは,付加反応によって二つ以上の分子間に結合ができることを意味したが,近年,高分子化学の発展に伴い,高分子を生成する反応を重合反応とよぶのが一般化した.
出典 森北出版「化学辞典(第2版)」化学辞典 第2版について 情報
…一つは熱硬化性樹脂thermosetting resinであり,他は熱可塑性樹脂thermoplastic resinである。熱硬化性樹脂としては,ホルムアルデヒドで硬化するフェノール樹脂,メラミン樹脂などと,重合などによって硬化する不飽和ポリエステル樹脂,エポキシ樹脂,ポリウレタン樹脂,シリコーン樹脂などがある。熱可塑性樹脂には,比較的安価で,用途も多岐にわたって大量に使用されるポリエチレン,ポリプロピレン,ポリスチレン,ポリ塩化ビニル,ポリ酢酸ビニル樹脂,ABS樹脂などの汎用プラスチックと,それぞれの機能が活用されるナイロン(ポリアミド),ポリアセタール,ポリカーボネート,ポリエチレンテレフタレート,ポリブチレンテレフタレートなどのエンジニアリングプラスチック,さらに高機能で耐熱性にもすぐれた特殊エンジニアリングプラスチックといわれるポリフェニレンオキシド,ポリアリレート,ポリスルホン,ポリフェニレンスルフィド,ポリアミドイミド,ポリイミドなどがある。…
…
次に合成高分子の例をいくつかあげる。
これらの高分子化合物は,それぞれの構成単位に相当する低分子化合物が互いに結合する,重合反応によって生成したポリマー(重合体)であるとみることができる。その意味で高分子のことをポリマーpolymerと通称することも多い。…
※「重合」について言及している用語解説の一部を掲載しています。
出典|株式会社平凡社「世界大百科事典(旧版)」
二十四節気の一つで,二至 (夏至,冬至) ,二分 (春分,秋分) として四季の中央におかれた中気。元来,春分は太陰太陽暦の2月中 (2月後半) のことで,太陽の黄経が0°に達した日 (太陽暦の3月 2...