電場と磁場の総称。二つの電荷q1,q2が距離rだけ離れて存在しているときに,その間には,
の力が働く(クーロンの法則)。ここでεは媒質によってきまる誘電率,r/rはq1とq2を結ぶ方向を表す単位ベクトルである。さてこの関係を次のように見直してみよう。q1はその周囲に,
で表される場をつくり,電荷q2は,この場から,
F=q2E
で表される力を受けると解釈する。すなわち,q1とq2は直接作用し合う(遠隔作用)のではなく,場を通して作用し合う(近接作用)と考えるのである。このEを電場という。電荷がρ(r′)の密度をもって空間に分布している場合は,電場は一般に,
のように体積積分で表現される。
同様にして空間にi(r′)の密度で電流が分布しているときには,
で表される磁束密度B(r)がrの位置に生じ(μは透磁率),このような空間を磁束密度B(r)をもつ場(あるいは単に磁場)と呼ぶ。電流間に働く力は,場を通して,
の形に表現される。
電荷や電流が時間的に変化しない場合は,電場,磁場も時間にはよらず,互いに独立に存在する。このような電場および磁場はそれぞれ静電場,静磁場と呼ばれる(磁石だけによる磁場を静磁場ということもある)。
しかし,静電気的現象や静磁気的現象などを除けば両者は必ず伴って存在し,電荷や電流が時間に依存する場合には,電場および磁場は,それぞれ電荷および電流からつくられるスカラーポテンシャルφ(r,t),ベクトルポテンシャルA(r,t)より,
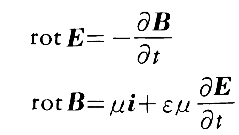
として導かれるように互いに独立ではなくなり,両者を一体とした電磁場として取り扱わなければならない。マクスウェルの方程式,
は電場と磁場との間の直接的な因果関係を表していると考えられる。
電磁的なエネルギーは電場や磁場,すなわち空間の中に蓄えられていると考えられる。そのエネルギー密度は空間の各点で,
の式で表される。場の量が時間に依存する場合,電磁的影響が場を通して遠方にまで伝搬すると考えたのが電磁波である。この場合,真空中の光速度をcとして単位時間,単位面積当り,
のエネルギーと運動量が運ばれる。Sをポインティングベクトルと呼ぶ。
→電磁ポテンシャル →場
執筆者:清水 忠雄
出典 株式会社平凡社「改訂新版 世界大百科事典」改訂新版 世界大百科事典について 情報
電場、電束密度、磁場、磁束密度の総称。電束密度や磁束密度が時間的に変化する場合には電場と磁場とは互いに他を誘起し、また互いに移り変わるので、もはや電場と磁場を別々のものと考えることはできなくなる。このような場合にとくに電磁場(または電磁界)という語を用いることが多い。他方、時間的に変化しない場合には電場と磁場はそれぞれ静電場、静磁場ともよばれ、別個に記述することができる。電磁場が波動として空間を伝播(でんぱ)する場合、これを電磁波とよぶ。電磁場はベクトル場であって、普通、電場をE、電束密度をD、磁場をH、磁束密度をBで表す。これらは空間の座標と時間の関数である。
電磁場はエネルギー、運動量、角運動量をもつ物理的実体であり、物質と相互作用する。この相互作用は電磁相互作用とよばれる。電磁相互作用は相対論からの要請を満たすためには近接作用であることが必要である。また電磁相互作用は自然界のもっとも基本的な四つの相互作用(他の三つは重力相互作用、強い相互作用、弱い相互作用)のうちの一つである。
電磁場の概念を初めて明確に把握したのはファラデーであり、それを数式化したのはマクスウェルであり、電磁場の諸性質はマクスウェルの電磁方程式に従う。
電磁場の概念の影響で重力相互作用(万有引力)にも重力場の概念が導入された。当時普及した場の概念は、場を物質間に及ぼされる力(物質間の相互作用)の担い手とする考え方である。こうして古典物理学における自然観として、物質と場の二元論が始まった。当初、電磁場を機械論的模型で解釈しようとする試みが盛んになって、エーテル概念が導入されたが、実体としてのエーテルは実験的に否定された。1905年アインシュタインの特殊相対性理論の出現は、古典物理学における場の概念に変更をもたらした。電磁場の存在や運動は空間(または真空)それ自体の属性の一部として解釈されるようになり、空間に物質的性質が賦与されることとなった。その後の量子力学の成立によって、物質や場の示す二重性、すなわち粒子性と波動性は合理的に定式化されるようになり、物質と場との二元論的対立は解消した。こうして、場の量子論に立脚して、量子化された電磁場を光子として解釈する場の一元論が成立するに至った。
[安岡弘志]
出典 株式会社平凡社百科事典マイペディアについて 情報
出典 ブリタニカ国際大百科事典 小項目事典ブリタニカ国際大百科事典 小項目事典について 情報
…しかも(1)式で見るとおり,熱または仕事というものは,単独で切り離してエネルギーという資格を与えることのできる量ではなく,両方合わせて初めてその資格の生ずるような量なのである。熱
[電磁場のエネルギー]
充電したコンデンサーの両極をつないで放電するとパチッと音がして火花が飛ぶ。これは電気を蓄えたコンデンサーにエネルギーが蓄えられていることを示す。…
※「電磁場」について言及している用語解説の一部を掲載しています。
出典|株式会社平凡社「世界大百科事典(旧版)」
二十四節気の一つで,二至 (夏至,冬至) ,二分 (春分,秋分) として四季の中央におかれた中気。元来,春分は太陰太陽暦の2月中 (2月後半) のことで,太陽の黄経が0°に達した日 (太陽暦の3月 2...