電磁現象は波動として空間を伝わり十分遠方にまで到達する。これを電磁波という。電磁波はその波長によって,一般に波長がmm程度以上のものを電波,それより短く1μm程度までを赤外線,0.7μmから0.3μm程度までを可視光,さらに短く数nmまでを紫外線,若干重複して10nmから1pmの範囲をX線,10pmより波長の短い電磁波をγ線と呼んでいる。重複している部分は,電磁波を発生するメカニズムに応じて呼称を変えているのがふつうで,また電波を電磁波と同義に用いることも多い。
電気と磁気の間の関係を表すマクスウェルの方程式は,電流が0の場合,電場をE,磁場をH,電束密度をD,磁束密度をB,誘電率をε,透磁率をμとして,
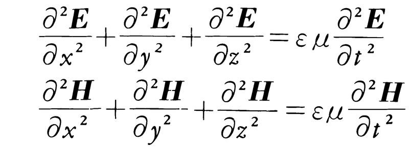
で表されるが,これからH,またはEを消去すると,波動方程式,
が得られる。E,またはHについて,
sin(kxx+kyy+kzz±ωt)
の形の平面波,または,
の形の球面波は,この式の解になっている。ここでk2=kx2+ky2+kz2=εμω2で,
はこの波の速度を表す。この値が光速度に等しくなることが,光の電磁波説の有力な根拠となった。この解を再びマクスウェルの方程式に代入すると,E・k=0,H・k=0,k×E=μωHなどの関係が得られる。すなわち,EとHは互いに直交しており,それぞれがまた波の進行方向kに直交している横波であることがわかる。電磁波は単位面積を通して単位時間に|S|=|E×H|のエネルギーと
の運動量を運ぶ(cは真空中の光速度)。
→電磁場
執筆者:清水 忠雄
出典 株式会社平凡社「改訂新版 世界大百科事典」改訂新版 世界大百科事典について 情報
電磁場の性質は、電磁場が時間的に変化する場合と、しない場合とで大きく異なる。時間的に変化しない電磁場は静電磁場とよばれる。電磁場が時間的に変化する場合には電磁波が発生する。電磁波は真空中を伝搬する物理的実体であって、エネルギー、運動量、角運動量などをもつ。それと同時に波動としての性格をもっているので、波長または周波数によって特徴づけることができる。電磁波は電波と磁波とから構成されているが、これらはともに横波であって、おのおのの振動の方向が電磁波の偏りの方向を定義する。もっとも簡単な形をした電磁波は、直線的に偏った平面電磁波であって、電波と磁波とは、それぞれ互いに直交する平面内で振動しており、電磁波はこれらの平面の交線方向に伝搬する。電磁波は波長によって分類されて、それぞれ異なる名称でよばれることが多い。光あるいは可視光とよばれるものは波長が400~800ナノメートル(1ナノメートルは10-9メートル)の間にある電磁波のことにほかならない。真空中では電磁波の伝搬速度は波長に関係なく一定で、その値は光速c=2.99792×108m/sである。
電磁波を発生する源は、運動する荷電粒子(たとえば電子や原子核)である。その運動がゼロでない加速度成分をもつときには、発生した電磁波はエネルギーや運動量を伝搬することができる。この現象を電磁波の放射という。放射された電磁波は真空中を直進する。
電磁波は物質と出会うと、物質中の電子や原子核のような荷電粒子と相互作用をする。相互作用の結果として、2種類の現象がおこりうる。その一つは物質による電磁波の吸収で、その際、電磁波のエネルギーは物質の内部エネルギーに変換される。他の一つは物質による電磁波の散乱である。相互作用によって物質中の荷電粒子は加速度運動をするようになるから、電磁波と相互作用した荷電粒子は電磁波を放射する。電磁波の散乱はこのようにしておこり、放射された電磁波が散乱波を形成する。吸収や散乱の性質の詳細は電磁波の波長や物質の性質によって大きく異なる。散乱波のうち物質の外部へ放射されたものが反射波を構成する。一方、物質の内部へ放射された散乱波は、同様の散乱を繰り返しながら物質中を進行する。繰り返される散乱過程のために、物質中での電磁波の伝搬速度は一般に真空中でのそれとは異なり、物質の性質を反映して決まる。このように、媒質の違いによって伝搬速度が違うために、電磁波の屈折が生ずる。電磁波はその伝搬方向にゼロでない運動量成分をもっているので、物質と相互作用する際、物質に対して圧力を及ぼす。これを光圧という。
以上のような電磁波の諸性質はすべてマクスウェルの方程式系を使って定量的に導くことができる。マクスウェルの方程式系、およびそれを使って得られる諸性質は、真空中での電磁波の挙動を記述するものとしてはほぼ完全である。物質との相互作用がある場合には、物質中のマクスウェルの方程式系を用いる。これは真空中におけるマクスウェルの方程式系の拡張解釈であって、適当な条件や仮定を付加することによって得られる。これらの仮定のなかにはかならずしも自明ではない事柄が含まれているけれども、ほとんどの巨視的現象に関する限り、重大な困難は存在しない。
[安岡弘志]
『徳丸仁著『基礎電磁波――マクスウェル方程式から幾何光学まで』(1992・森北出版)』▽『二間瀬敏史・麻生修著『図解雑学 電磁波』(1999・ナツメ社)』▽『電子情報通信学会編、鹿子嶋憲一著『光・電磁波工学』(2003・コロナ社)』
出典 株式会社平凡社百科事典マイペディアについて 情報
進行方向に対して電場と磁場がそれぞれ直交する横波で,伝搬速度はいわゆる光速
c = 2.9979 × 108 m s-1
である.粒子的にみれば,いずれも光子で,その1光子のエネルギーは振動数をν,hをプランク定数とするとhνで表される.波長をλとすれば
ν = c/λ
である.波長の短いほうからγ線(10-11 m 以下),X線(10-12~10-8 m),紫外線(10-8~4×10-7 m),可視光(4×10-7~8×10-7 m),赤外線(8×10-7~10-3 m),マイクロ波(10-3~10-1 m),電波(10-1~104 m)と名づけられているが,これらを総称して電磁波という.電波はさらに細かく分けて極超短波(3 × 102~3 × 105 MHz),超短波(30~300 MHz),短波(3~30 MHz),中波(300 kHz~3 MHz),長波( < 30 kHz)などとよばれている.( )内は周波数を表す.
出典 森北出版「化学辞典(第2版)」化学辞典 第2版について 情報
出典 ブリタニカ国際大百科事典 小項目事典ブリタニカ国際大百科事典 小項目事典について 情報
…電磁波を応用分野では主として電波と呼ぶ。電磁波は物理学の対象としての電波の呼称である。…
※「電磁波」について言及している用語解説の一部を掲載しています。
出典|株式会社平凡社「世界大百科事典(旧版)」
二十四節気の一つで,二至 (夏至,冬至) ,二分 (春分,秋分) として四季の中央におかれた中気。元来,春分は太陰太陽暦の2月中 (2月後半) のことで,太陽の黄経が0°に達した日 (太陽暦の3月 2...