翻訳|maltose

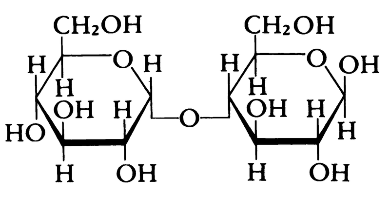
マルトースともいう。グルコースが2分子結合した二糖類の一種で,デンプンに麦芽を作用させて得たところからこの名称がついた。麦芽の中には,デンプンを麦芽糖の単位に切る酵素(β-アミラーゼ)が存在しており,デンプンを特異的に麦芽糖に分解する。麦芽糖の甘みは砂糖の30~40%といわれるが,おだやかな丸みのある甘みは,糖類の中で最も美味な甘みとされている。
麦芽糖は従来,麦芽水あめの主成分として良質の甘みをもつことが知られていたが,最近になり,工業的に純粋なものが大量生産されるようになり,その用途も拡大してきている。砂糖の甘みを減らすことを目的として用いられるほかに,麦芽糖自身のもつ利用物性で次のような分野で使われている。食品としては,マシュマロ,バタークリーム,マーマレード,ジャム,あん,だんご,ゼリー,魚肉練製品,パン,みりんなどと広く,味の改善,色の保持,食品物性の改良などの目的で使われている。このほか医薬では,インシュリンを必要とせずに吸収消化され,かつグルコースの2倍濃度の等張液が作れることから,糖尿病患者用,手術中・手術後の患者の静脈注射用補糖液としても使われている。麦芽糖は,還元して還元麦芽糖(マルチトール)として低甘味剤としても広く使われている。純粋な麦芽糖の工業生産は,日本において初めて行われたものである。
執筆者:貝沼 圭二
出典 株式会社平凡社「改訂新版 世界大百科事典」改訂新版 世界大百科事典について 情報
出典 株式会社平凡社百科事典マイペディアについて 情報
二糖類の一種で、マルトースともいう。小腸粘膜の微絨毛(びじゅうもう)上にあるマルターゼの作用で膜消化され、グルコースとなって吸収される。浸透圧がグルコースより低く、高濃度で使用できるので輸液に用いられる。デンプンにβ-アミラーゼとα-1・6結合を切る枝切り酵素の作用で、工業的に製造されている。
[不破英次]
[同義異語]マルトース
出典 森北出版「化学辞典(第2版)」化学辞典 第2版について 情報
「マルトース」のページをご覧ください。
出典 ブリタニカ国際大百科事典 小項目事典ブリタニカ国際大百科事典 小項目事典について 情報
…少糖は単糖が2~20個程度,多糖はさらにそれ以上結合したものである。単糖の例としてはブドウ糖(グルコース),ガラクトース,また少糖の例としてはグルコースが2分子結合した麦芽糖(マルトース),グルコースと果糖(フルクトース)が結合したショ糖(砂糖),グルコースとガラクトースが結合した乳糖(ラクトース)をあげることができる。多糖にはデンプン,グリコーゲン,セルロースなどがある。…
※「麦芽糖」について言及している用語解説の一部を掲載しています。
出典|株式会社平凡社「世界大百科事典(旧版)」
1 食肉目クマ科の哺乳類の総称。全般に大形で、がっしりした体格をし、足の裏をかかとまで地面につけて歩く。ヨーロッパ・アジア・北アメリカおよび南アメリカ北部に分布し、ホッキョクグマ・マレーグマなど7種が...