最新 地学事典 「ヤコブの方法」の解説
ヤコブのほうほう
ヤコブの方法
Jacob method
簡略化したタイスの公式を用いる揚水試験結果の解析法で,r(揚水井から観測井までの距離)が小さくt(揚水継続時間)が大きい(u<0.02)場合に適用できる。井戸関数をその展開式の最初の2項で近似すると,タイスの公式は次式のように簡略化される。
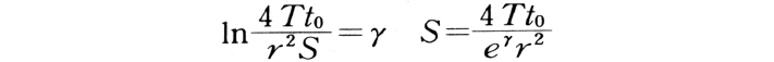
この式は,ある観測地点の水位低下量sが,揚水継続時間の対数関数であることを意味する。試験結果から得られるlntに対するsの勾配Δsを用いて,T=Q/(4π・Δs)と表すと,透水量係数Tが得られる。また,試験結果から得られた対数関数を外挿し,s=0となる時間t0を得てこの式に代入すると,
となって貯留係数Sが求まる。
執筆者:岡本 正也
参照項目:井戸関数
出典 平凡社「最新 地学事典」最新 地学事典について 情報

