normal gravity
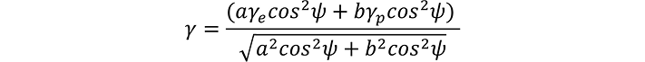
地球と同じ赤道半径,偏平率,質量をもち,地球と同じ角速度で自転する回転楕円体(地球楕円体)によって生じる重力。測地基準系に依存し,測地緯度ψにおける正規重力γは,赤道半径a,極半径b,赤道および極での正規重力をγa, γpとすると,Somiglianaの公式
で数学的に厳密に計算できる。ジオイド上での地球の重力と楕円体上での正規重力の差が重力異常で,重力異常からジオイド高が計算でき,また,地球内部の密度構造を推定することもできる。
執筆者:福田 洋一
出典 平凡社「最新 地学事典」最新 地学事典について 情報
…このことから,地球の形が球に近くfが小さいほど,βは大きくなる,すなわち赤道・両極間の重力差は(小さくなるのではなく)かえって大きくなくてはならないという有名なクレーローの逆説が帰結されるのである。
[正規重力]
上式で表されたγは地表の重力の平均的な分布を与えるものとして正規重力と呼ばれる。1979年キャンベラで開かれた国際測地学地球物理学連合は測地基準系1980を採択した。…
※「正規重力」について言及している用語解説の一部を掲載しています。
出典|株式会社平凡社「世界大百科事典(旧版)」
《モスクワに遠征したナポレオンが、冬の寒さと雪が原因で敗れたところから》冬の厳しい寒さをいう語。また、寒くて厳しい冬のこと。「冬将軍の訪れ」《季 冬》...
1/16 デジタル大辞泉プラスを更新
1/16 デジタル大辞泉を更新
12/10 小学館の図鑑NEO[新版]魚を追加
10/17 ブリタニカ国際大百科事典 小項目事典を更新
8/22 日本大百科全書(ニッポニカ)を更新