normal gravity
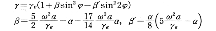
地球楕円体の表面上の重力。地球楕円体の長半径a,扁平率α,地球の全質量Mと万有引力定数Gとの積GM,地球自転角速度ωなどが与えられれば理論的に計算できる。α2の精度まで正しい緯度ϕの標準重力γの式は,赤道における重力値をγeとして,
である。逆に地球上の実測重力の分布からγを定めれば,地球の形を定めうる。今日まで数多くの標準重力の式が発表されている。
執筆者:藤井 陽一郎
出典 平凡社「最新 地学事典」最新 地学事典について 情報
1967年測地基準系では
である。ここで
は緯度である。
出典 ブリタニカ国際大百科事典 小項目事典ブリタニカ国際大百科事典 小項目事典について 情報
…従来,1930年国際式の名のもとに下の式が使用されてきた。 γ=978.049(1+0.0052884sin2φ -0.0000059sin22φ) (Gal) これらの式で表される重力値はしばしば標準重力とも呼ばれてきたが,現在では正規重力と呼ぶように推奨されている。 ところで,新旧の正規重力値を比較すると,新しい式の方が従来の式に比べ全体的に重力値が小さく表示されている。…
※「標準重力」について言及している用語解説の一部を掲載しています。
出典|株式会社平凡社「世界大百科事典(旧版)」
〘 名詞 〙 春の季節がもうすぐそこまで来ていること。《 季語・冬 》 〔俳諧・俳諧四季部類(1780)〕[初出の実例]「盆栽の橙黄なり春隣〈守水老〉」(出典:春夏秋冬‐冬(1903)〈河東碧梧桐・高...
1/28 日本大百科全書(ニッポニカ)を更新
1/16 デジタル大辞泉プラスを更新
1/16 デジタル大辞泉を更新
12/10 小学館の図鑑NEO[新版]魚を追加
10/17 ブリタニカ国際大百科事典 小項目事典を更新