最新 地学事典 「タイスの公式」の解説
タイスのこうしき
タイスの公式
Theis equation
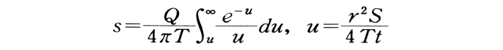
C.V.Theis(1935)が提唱した非平衡式で,揚水試験結果の解析に最もよく用いられる。等方・均質な被圧帯水層が水平・無限大に分布し,地下水流が井戸に向かう水平一様流だけであると仮定すると,ある観測点での任意の時刻の水位低下量sは,ダルシーの法則を前提として,次式で与えられる。
ここで,Q:揚水量,T:透水量係数,S:貯留係数,t:揚水継続時間,r:揚水井から観測点までの距離。本来,タイスの公式は被圧地下水の公式であるが,初期水深に対して無視できるほど水位低下量が小さい場合には,近似的に不圧地下水にも適用できる。
執筆者:岡本 正也
参照項目:井戸関数
出典 平凡社「最新 地学事典」最新 地学事典について 情報

