最新 地学事典 「r-K選択説」の解説
アール━ケイせんたくせつ
r-K選択説
r/K selection theory
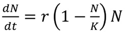
生物が環境変化と生物の繁殖力に関係して2つの戦略間で選択を迫られているという仮説。生物の個体数が増加するときは以下のS字のシグモイド曲線で表される。

Nは個体数,tは時間,rは内的自然増加率,Kは環境収容力を示す。
生存戦略の一つr戦略(r-strategy)は,Kに対してrを増加させることで子孫を残そうとする戦略。一般的に再生産率を高くし,より多くの子供を産むことで生き残ろうとするため,寿命が短く小型になりやすい。他方,K戦略(K-strategy)はrに対してKを増加させることで子孫を残そうとする戦略。K戦略者は確実に一定数の子供を生き残らせるために,一般的に成長に時間を要する。
執筆者:鈴木 拓馬
出典 平凡社「最新 地学事典」最新 地学事典について 情報

