最新 地学事典 「差フーリエ法」の解説
さフーリエほう
差フーリエ法
differential Fourier synthesis
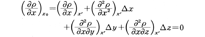
単位格子中の原子座標が近似的に求まっているとき正しい座標を求める方法の一つ。近似的な座標を(x′, y′, z′),正しい座標を(x0, y0, z0),電子密度をρ(xyz)で表すと,
∂ρ/∂xをx0-x′=Δx, y0-y′=Δy, z0-z′=Δzで展開し,Δx, Δy, Δzの2次以上の項を無視すると,
など三つの方程式を得る。これらの方程式を解くことによりΔx, Δy, Δzが求まる。
執筆者:丸茂 文幸
出典 平凡社「最新 地学事典」最新 地学事典について 情報

