最新 地学事典 「光学的方位」の解説
こうがくてきほうい
光学的方位
optical orientation
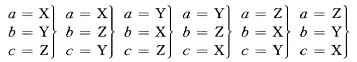
結晶の光学的諸方向(光学的弾性軸,光軸,光軸面など)と結晶軸との関係。光学的方位は光の波長ごとに決まっている。直方晶系では光学的弾性軸X, Y, Zが結晶軸a, b, cのいずれかと一致し,次の六つの場合がある。
単斜晶系では,X, Y, Zのいずれか一つがbと一致し,他の二つは一般にa, cと一致しない。三斜晶系では一般にX, Y, Zがa, b, cのいずれとも一致しない。正方・六方晶系では,光軸は常にcと一致するが,正号結晶ではX, Yが等価で,c=Z, 負号結晶ではY, Zが等価で,c=X。
執筆者:端山 好和
出典 平凡社「最新 地学事典」最新 地学事典について 情報

