最新 地学事典 「無限小歪」の解説
むげんしょうひずみ
無限小歪
infinitesimal strain
きわめて小さい変位による歪み。微小歪みとも。地質学的には1%以下の歪みに相当するといわれている。いま,変形前の座標系で表される点P(a1, a2, a3)および隣接点Q(a1+da1, a2+da2, a3+da3)が,変形後の座標系で表される点P′(x1, x2, x3)およびQ′(x1+dx1, x2+dx2, x3+dx3)に変位し,無限小線素PQが新しい線素P′Q′に移動したとする。このときの歪みテンソルは,変位ui=xi-aiを用いて,一つの項における同一指標の繰返しは1, 2, 3を代入して和をとるという総和規約を用いて表すと,
または
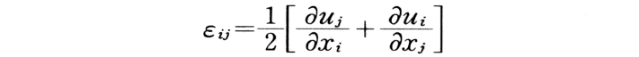
により定義される。EijはGreenまたはLagrangeの歪みテンソル,eijはAlmansiまたはEulerの歪みテンソルと呼ばれる。変位uiの成分の1階の導関数が十分小さく,uiの偏導関数の平方や積が無視できるという無限小歪みの仮定を導入すると,Eijとeijは一致し,コーシー(Cauchy)の無限小(微小)歪みテンソル
となる。εijはi=jのとき,xi軸に平行な方向の伸び(ex-tension)を表し,歪みi≠jのときはxi方向とxj方向のなす角の変化を表す。
執筆者:越谷 信
出典 平凡社「最新 地学事典」最新 地学事典について 情報

