最新 地学事典 「落下法」の解説
らっかほう
落下法
falling-body method
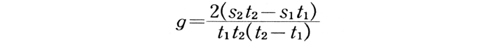
ガリレオ・ガリレイがかつて行った落体の実験は,今日,重力の絶対測定に応用されている。任意の位置から物体を落とし,落下距離s1,s2に対応する時刻をt1,t2とすると,重力
で与えられる。C.Volet(1952)は上式を応用するに当たり,目盛をした物差しの特定の目盛が,ある高さを通過する時刻を決定するような装置を工夫した。
執筆者:藤井 陽一郎
出典 平凡社「最新 地学事典」最新 地学事典について 情報

