最新 地学事典 「後方散乱係数」の解説
こうほうさんらんけいすう
後方散乱係数
Backscattering coefficient
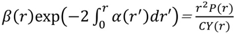
光散乱を用いたエアロゾルの計測において,粒子による後方散乱の強さを示す量。ライダーのように,エアロゾル中にパルスレーザーを照射し,後方散乱して戻ってくる信号を検知する装置によって求められる。装置から散乱が起こるまでの距離r(m)は,パルス送信から信号受信までの時間から得られる。受信された信号には,距離rにおける散乱強度と,レーザー光がそこまで往復する際に受ける減衰も含まれている。減衰付きの後方散乱係数β(r)(m−1sr−1)は,測定信号P(r)(W),ライダーの装置定数Cおよび幾何学的効率因子Y(r)から,

の式(αの積分が入った因子は減衰を表す)により求めることができる。参考文献:杉本伸夫ほか(2014) エアロゾル研究,29
執筆者:小島 知子
出典 平凡社「最新 地学事典」最新 地学事典について 情報

