最新 地学事典 「地図の歪み」の解説
ちずのひずみ
地図の歪み
distortion of map
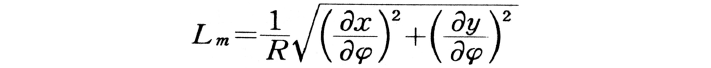
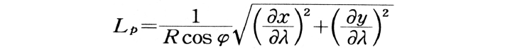
地図の各部分における関係と球面あるいは回転楕円面とみなされる地表の関係との差異。歪みは通常,1881年M.A.Tissortによって明らかにされた指示楕円(地球上の1点を中心とした微小円が地図上で表される楕円)を使って,距離,面積,角の三要素について考察される。いま図法が緯度ϕ,経度λの関数としてx=f(ϕ,λ),y=g(ϕ,λ)で表されると,図上任意の点における経線方向の距離の歪み(線拡大率)は,
緯線方向のそれは,
で表され,楕円の性質から同点における最大値La, 最小値Lbは両者の共役半径として求められる。また面積の歪みは同様に両者の積として,S=Lm・Lpsinφ=La・Lb(φ:経緯線の夾角)から求まる。正積図法ならばどこでもLa・Lb=1である。一方,角の歪みは地図上の1点において一つの方向を示す直線が指示楕円の長軸となす角と地球上でこれに対応する角との差で表され,その最大値ωはsinω=(La-Lb)/(La+Lb)から求まる。ちなみに任意の2方向を選ぶとき,両者の間の角が実際の角から隔たりうる最大値は2ωである。正角図法では常にLa=Lbとなる。
執筆者:羽田野 正隆
出典 平凡社「最新 地学事典」最新 地学事典について 情報

