最新 地学事典 「地磁気ポテンシャル」の解説
ちじきポテンシャル
地磁気ポテンシャル
geomagnetic potential
地球磁場のスカラーポテンシャル。地表での球座標による位置(地球中心からの距離,余緯度,経度)を(r,θ,ϕ),地球の半径をaとすると,その点でのスカラーポテンシャルVは
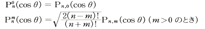
と表される。ガウスが1830年代に球関数を用いて地球磁場を展開して以来,この表現が頻繁に用いられている。上式でgmn, hmn, qmn, smnはガウス係数(Gauss coefficient)と呼ばれ磁場と同じ次元をもつ。ガウス係数のうち,qmn, smnは外部起原の磁場の強さを表し,gmn, hmnは内部起原の磁場の強さを表す。Pmnはn階m次のルジャンドル陪関数Pn,mにシュミットが定義した係数を次式のように掛けたもので,
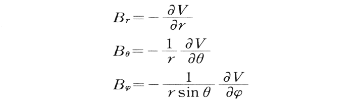
シュミット半正規化されたルジャンドル陪関数(Schmidt quasi-normalized Legendre function)と呼ばれる。ガウス係数は地球上の複数点で観測された磁場を適当な階数まで球関数展開することによって求められ,ガウス係数モデルとしては10階まで展開された国際標準地球磁場および確定国際標準地球磁場の係数が代表的である。磁場の成分Br, Bθ, βϕはスカラーポテンシャルを微分して
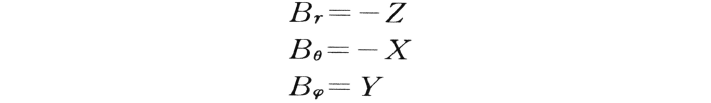
と求まる。地球を完全な球と考えればBの各成分は地磁気三成分X, Y, Zと
の関係をもつ。したがって,ガウス係数を用いて地球上の任意の点における地磁気三成分を計算することができる。また,ガウス係数を用いてn階の内部磁場強度の2乗平均Rn
を求めることもできる。横軸に階数n, 縦軸にRnをとった図を地球磁場のパワースペクトル(power spectrum of the Earth’s magnetic field, geomagnetic field spectrum)と呼ぶ。この図は地球磁場の空間波長への依存性を表し,主磁場と地殻起原の磁場の分離等に利用されている。
執筆者:横山 由紀子
参照項目:地球磁場
出典 平凡社「最新 地学事典」最新 地学事典について 情報

