最新 地学事典 「応力-時間曲線」の解説
おうりょくじかんきょくせん
応力-時間曲線
stress-time curve time-load curve
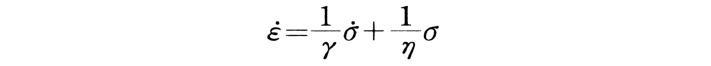
物体の変形特性を応力と時間との関係で示した曲線。この曲線が特に問題となるのは,いわゆる応力緩和(stress relaxation)の現象を示す物体の場合である。この現象はMaxwell物体,またはそれを含む複合体に一般にみられる。Maxwell物体のレオロジー方程式(Maxwellの方程式)は
(ε:歪み,σ:応力,γ:弾性率,η:粘性率)であるから,歪みを一定に保った場合,t=0のときσ=σ0とすると,
となり,応力は時間とともに減少する。これを応力緩和という。
執筆者:植村 武
出典 平凡社「最新 地学事典」最新 地学事典について 情報

