最新 地学事典 「振子の振動」の解説
ふりこのしんどう
振子の振動
vibration of pendulum
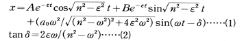
lという長さの糸でつられた質点振子の支点にa0sinωtのような簡単な単振動が加わった場合,この振子の質点についての運動方程式は,
ω2sinωtとなる。ここで,左辺の第2項は速度に比例した抵抗力を,第3項は変位に比例した復元力を示す。この項のnは
(
となる。(1)式の初めの2項は,この振子の自由振動を示す項で,固有の周期2π/nよりもやや大きな2π/
という周期で揺れながら,その振幅は時間tとともにe-εtで減衰していく。無次元量h=ε/nを減衰定数(damping coefficient)という。第3項は,外部からの振動a0sinωtによって強制的に振らされているための強制振動(forced oscillation)を示す項で,外部からの振動に対していつも(2)で示されただけの位相の遅れ(δ)をもつが,同じ周期2π/ωで揺れる。しかしその振幅は,もとの
倍になっている。この倍率を周期係数と呼ぶ。この式は,n/ω=uと書き直し,前述のhを使うと
となる。
執筆者:三東 哲夫
出典 平凡社「最新 地学事典」最新 地学事典について 情報

