最新 地学事典 「バリオグラム」の解説
バリオグラム
variogram
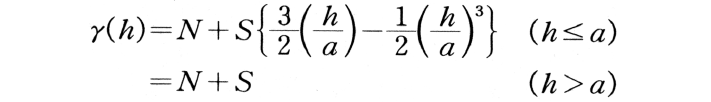
地球統計学の基本的概念の一つ。距離がh離れた2地点における値の差の平方和の平均。測点xiにおける値をw(xi)測点xi+hにおける値をw(xi+h)とし,測点対の数をn(h),バリオグラムをγ(h)と書くと,γ(h)=Σ{w(xi)-w(xi+h)}2/n(h)で定義される。この値の半分をセミバリオグラムという。また単にこれをバリオグラムということもある(以下はこの定義に従う)。全データの不偏分散をV, 測点間距離を変数とする自己相関係数をr(h)とすると,γ(h)=V{1-r(h)}という関係が成り立つ。バリオグラムの値は,通常距離の増加とともに増加する。距離がある値以上になると,バリオグラムの値はほぼ一定になる。この一定値をシル(sill:N+S),シルに達したときの距離をレンジ(range:a)という。測点間隔がレンジを越えると,データ間には相関がない。バリオグラムに適当な連続関数を当てはめたとき,関数が原点を通らず,距離0である値をとることがある。これをナゲット効果(Nugget effect : N)という。当てはめに最もよく利用される連続関数は,
で,球モデルと呼ばれる。空間的にデータの連続性がよいとレンジが大きく,連続性が悪いとレンジが小さい。二次元あるいは三次元のバリオグラムが描かれると,空間における連続性のよい方向と悪い方向を知ることができる。
執筆者:正路 徹也
出典 平凡社「最新 地学事典」最新 地学事典について 情報

