最新 地学事典 「加速度地震計」の解説
かそくどじしんけい
加速度地震計
acceleration seismograph
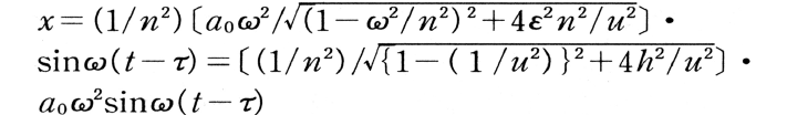
地震動により生ずる地面の加速度に関する波形を忠実に記録する目的で設計された地震計で,振子の周期は短く基本倍率が高い。建築物の耐震設計上,地震動の加速度を正確に知ることが大切なので,特に地震工学上利用価値が高い。原理は振子の支点に外部から,例えばa0sin ωtという振動が加わったときの振子の運動を解いて得られる解のなかで,強制振動の項は,
と書ける。この解で,a0ω2はちょうど外部からの振動の加速度振幅に相当しているから,振子はこのa0ω2に対して
倍の反応を示すことがわかる。この倍率中,振子の周期で決まる定数1/n2(感度)を除いた部分,
(感度係数)をグラフにしてみると,h2=0.4くらいの減衰定数hの値に対して,u≧1.5,つまり振子の固有周期の1.5倍以上の周期をもつ外部からの加速度振動に対しては,一定の倍率で反応することが知られる。このことは忠実な加速度記録を得るために必要な条件である。しかし一方,1/n2が小さくなるから,基本倍率Vを大きくして基本感度(V/n2)を高めることも併せて必要になる。また加速度地震計はuの大きな範囲で用いられるから,地震動に対する振子の運動の位相の遅れ,τ=tan-12hu/(u2-1)はほぼ0に近い。参考文献:萩原尊礼(1957) 振動測定,宝文館
執筆者:三東 哲夫
出典 平凡社「最新 地学事典」最新 地学事典について 情報

